时间:2023-07-25 11:36
人气:
作者:admin
0 1引言
水煤气变换反应(WGSR,CO+H2O→ CO2+H2, ΔH298=−41.2kJ/mol)是除去CO和产生H2的最有效方法之一。研究表明,Cu,Au, Pt是该反应的有效催化剂。同时,碱金属助剂如K可以大大提高该反应的催化活性。尽管碱金属助剂在Cu(或Ni,Pt)催化的WGSR已在理论上得到了证实,但对于K影响Au催化的WGSR反应性能的影响的理论研究还不多见。
此外,以前的理论工作多集中在电子结构方法(静态的第一性原理计算),但它无法预测反应的宏观动力学性质,如表观反应活化能、反应级数等。因此在本工作中,我们拟通过密度泛函理论(鸿之微DS-PAW等软件及DFT)并结合平均场微观动力学模拟,研究Au(211)和K/Au(211)催化的WGSR,探究K的作用机制。
0 2成果简介
如何从本质上阐明碱金属促进剂对金催化水煤气变换反应的影响仍然是一个挑战,因为负载型金属催化剂的强金属-载体相互作用、界面效应和电荷转移等复杂的协同效应使人们难以理解自然界中的碱促进现象。在此,我们报道了基于第一性原理的微观动力学模型,系统地研究了纯Au和K改性缺陷Au(211)上的全水煤气变换反应机理(即从完美Au(211)中去除一个表面Au原子,建立一个Au-Au配位数为6的模型, 标记为D-Au(211))。我们的结果表明,K的存在可以通过吸引库仑相互作用提高含氧物种的吸附能力,对H物种的吸附没有显著影响,但由于空间效应抑制了CO的吸附。碱金属K助剂使H2O吸附稳定约0.3 eV,从而使整个反应速率提高约一个数量级。
有趣的是,K的强促进作用可以归因于K和吸附质H2O*之间通过感应电场的显著直接空间相互作用,这可以通过在的D-Au(211)上施加的负电场得到进一步证实,既外加负电场可以增加H2O*的吸附强度,起到与K助剂类似的作用。微观动力学模拟结果表明,羧基机理最容易发生,氧化还原机理其次,甲酸根机理最不可能发生。对于不同种类的碱金属助剂,水分子的吸附强度从Li到Cs逐渐减弱,但Na表现出最好的低温水煤气变换反应的促进作用,原因在于其对H2O的稳定作用既不太强也不太弱。通过考虑K含量对水煤气变换反应活性的影响,我们发现覆盖度范围(~0.2~0.3ML)的K具有最强的促进作用。期望本工作的结论可以推广到其它WGSR催化体系如Cu(或Pt)。
0 3图文导读

Figure 1. Adsorption configuration of species on D-Au(211)

Figure 2. Adsorption configuration of species on K/D-Au(211)

Figure 3. (a) Adsorption energy trends of key species in WGSR, (b) Gibbs free energy digrams of WGSR via OH-assisted carboxyl mechanism over D-Au(211) and K/D-Au(211) at 523 K.

Figure 4.Temperature dependence of TOF (a) and apparent activation energy (b) over D-Au(211) and K/D-Au(211);TOF for different WGSR mechanisms(c) and the effect of O* and OH* on TOF (d).
Note: p=1bar, feed composition= 30% CO, 30% H2O (balance inert).

Figure 5.Bader charge (a) and PDOS (b) of Au atom with different K-Au distances, and adsorption configuration together with change density difference plot of H2O on K/D-Au(211)(c). *The isosurface level of charge density difference plot is 0.0005 e/Bohr3. The yellow or blue areas represent the gain or loss of electrons.

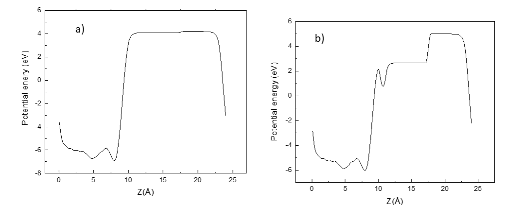
Figure 6. Potential energy along the Z direction of D-Au(211) (a) and K/D-Au(211)(b)
0 4小结
本文基于第一性原理的微观动力学模拟研究了K对缺陷Au(211)催化的水煤气变换反应活性的影响,研究结果表明,添加K金属助剂可以通过直接的空间相互作用促进水的吸附和进一步解离,这将有利于WGSR。该文研究结果有望推广至其它金属催化的水煤气变换反应,或其它碱金属助剂的作用机制。
审核编辑:刘清