时间:2020-12-11 17:35
人气:
作者:admin
使用传输线时,组件的负载电容会对接收器处的信号行为产生重要影响,因此了解如何影响PCB中的负载电容也很重要。
当您需要分析给定负载分量在传输线上的信号行为时,负载电容会影响S参数和传输线的传递函数,因此需要将其包含在高速/高频信号分析中。此外,负载处的实际输入阻抗由频率足够高时的负载电容确定。通过这种方法,您可以更好地了解负载电容,并确定负载电容如何影响PCB上传输线中的信号。
什么是负载电容?
集成电路上的负载电容是输入引线和最近的参考平面之间的寄生元件。换句话说,连接到组件和传输线的输入焊盘将看到一个与公共接地基准点并联的电容(假设传输线和IC共享同一接地层)。
发生这种情况的原因是,当信号到达接收器时,连接到传输线的焊盘被施加一定的电压,但是它通过PCB基板和集成电路管芯与接地层分开。请注意,目前暂时省略了引脚封装电感,该电感将作为传输线和焊盘之间的串联元件。焊盘/接地层与引线/管芯接地层平行的寄生电容给出了总负载电容。如下电路图所示:

传输线在IC的输入焊盘上带有负载电容。
终止
在上面的示例中,解决固有阻抗失配的自然解决方案是施加端接。考虑在特性阻抗处并联电阻端接(集成在IC中或与外部电阻一起使用)。在低频下,负载阻抗似乎是终端阻抗。但是,在高频下,负载阻抗似乎完全归因于负载电容。这里的要点是:由于负载电容,您只能在有限的带宽上进行阻抗匹配。
源端电容
人们自然会问,传输线源侧的电容如何?确实,由于焊盘的存在,有一些源电容决定了驱动器的输出阻抗。建模时通常会忽略这一点,因为从(驱动器+传输线)系统获得的信号仅在驱动器外部进行测量。因此,我们基本上不必担心信号如何到达那里,而只是可以测量它是什么。我们只需要担心(传输线+负载)系统的输入阻抗。
负载阻抗传递函数
无论将任何信号发射到传输线中,都会受到负载电容的影响。然后用传递函数对其进行量化。直观地看一下上图,电容就像是接地的并联元件,用于信号的高频分量。因此,即使在信号到达负载之前,连接到真实IC的传输线也起着低通滤波器的作用!
直觉很好,但是我们如何量化呢?幸运的是,您可以使用传递函数检查传输线的频率响应。这向您展示了在拉普拉斯域或频域中,负载阻抗和传输线的特性阻抗如何影响频域中的信号。然后,您可以使用傅立叶变换将其转换回时域,以比较初始启动信号和负载处接收到的信号。
为此,将ABCD参数用于传输线是最容易的。这些与单端线的S参数(插入损耗和回波损耗)有关。单端线路的ABCD矩阵是根据线路的特性阻抗定义的,其含义与S参数相似:

用ABCD参数表示传递函数的一般公式。
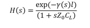
现在,将这些值插入具有定义的源阻抗和负载阻抗的两端口网络的传递函数的以下通用公式中(注意,负载阻抗如上所示):

用ABCD参数表示传递函数的一般公式。
如果我们假设源与传输线匹配,则传输线具有以下传递函数。目前,我已经在Laplace域中编写了此代码:

拉普拉斯域中的传输线传递函数。
请注意,有关电气长线(即,比临界长度长)的集成电路设计的文献中给出了一个非常相似的方程式。该方程式准确地告诉您传输线的阻抗和负载电容如何影响信号。注意,通常,此等式中的量很复杂(包括传播常数),并且适用于线路有任何损耗水平的情况。
对于要用于分析的方程式,您需要包括所有可能在系统中造成失真和损耗的影响。这些包括:
以了解有关传输线中这些失真和损耗源的更多信息,以及如何进行分析建模。
分析负载电容的影响
使用传递函数可以很容易地分析负载电容对传输线和任何传播信号的影响。最好将其汇总在图表中。下图显示了特征阻抗为50欧姆的FR4(10 cm带状线,0.48 mm平面间距/0.198 mm宽度,无色散,Dk = 4.4,损耗角正切= 0.02)上的传输线的传递函数幅度和相位与并行端接。在顶部图中可以清楚地看到高达1-10 GHz的低通行为。

传输线的频率响应衰减与负载电容
从该图可以看出,随着负载电容的减小,直到更高的频率才会出现低通滚降。仅通过使用具有较小负载电容的组件,我们就能获得几个额外的GHz余量。在中频处(低于第一个相位反转),由于相位曲线在约10 GHz以下更平坦,因此失真较小。两条曲线都应说明在信号带宽中阻抗匹配高达高频的难度。在这里,我们甚至没有在这些计算中包括铜的粗糙度,纤维编织效应或集肤效应。
在高速/高频设计上工作时,您只能控制从PCB一侧在传输线上看到的寄生负载电容。您选择的集成电路将具有无法更改的定义输入电容。但是,您可以拉动3个杠杆来控制传输线看到的总负载电容:
表面层层压板的厚度。PCB对负载电容的寄生影响与层的厚度成正比,因此,在表面层与相邻的接地层之间使用较薄的层压板有助于将滚降推到更高的频率。
层压板介电常数。PCB对总负载电容的贡献与层压板的Dk值成正比,因此在表面层使用低Dk层压板可提供较低的总负载电容。
组件。引线尺寸较小的组件将趋向于具有较小的负载电容。如果需要将信号完整性保持在非常高的频率(约10 GHz)下,则在选择组件时请记住这一点。
传输线短?使用电路模拟器
当线路很小时,我们无需采用行波方法,而只需使用电路理论来描述传输线。这有效地形成了一个不匹配的Pi网络,该网络在高频下也表现出低通行为。区别在于,可能会发生谐振和瞬变,就像在标准RLC电路中看到的那样。要检查这种类型的系统,可以使用原理图设计软件中的电路仿真工具来了解信号行为以及需要严格阻尼的设计信号行为。
编辑:hfy