时间:2010-03-06 15:10
人气:
作者:admin
采用TOPSwitCh的电磁兼容性原理设计
本文运用TOP224Y构成一款30W反激变换电路,对其进行了电磁兼容分析,并在多个方面实施EMC优化设计,实验结果表明文中分析的有效性,为反激变换电路的EMC设汁提供了一定的理论根据。
随着现代逆变技术的发展.开关电源正向着高频化、小型化的方向发展:在此基础上开发出的三端隔离、脉宽调制型反激式单片开关电源,集成了高压M0SFET、振荡器、脉宽调制器、闭环控制电路以及限流、过热保护功能的集成芯片。以其为核心构成的单片开关电源外围电路简单,输入电压范围宽,达到85~265V,电能转换效率达到90%,已被广泛应用于中小功率开关电源中。
TOPSwitch单片电源应用频率一般在20kHz以上,这样对前级电路(通常是电网)带来很大的电磁干扰问题,危及其他电气设备的正常运行;而且其本身产生的干扰直接危害到电子设备的正常工作。为此必须对电路进行电磁兼容(EMC)设计,使电磁干扰问题限制在允许的范围内。
1 电磁兼容分析
根据国际电工委员会(IEC)定义,电磁兼容性是电子设备的一种功能,电子设备在电磁环境中能完成其功能,而不产生不能容忍的干扰。解决EMC问题,主要考虑3个要素,即噪声源、耦合途径、噪声接收机。因此,电磁兼容没计的任务就是消弱千扰源的能量,隔离或减弱噪声耦合途径及提高设备对电磁干扰的抵抗能力。
1.1 共模、差模电路模型分析
单片开关电源的集成度很高,已经通过合理的设计将引线电感和寄生电容参数减小到比较小的水平。电路的共模电磁干扰主要是漏一源电压和输出整流管反向恢复过程产生的,由于高频变压器的分布电容以及芯片对地分布电容的影响,高频电流不能完全抵消,形成共模干扰,其电路模型如图1所示。这种共模干扰可以通过EMI滤波器的共扼电感和Y电容提供高频电流对地泄放通道进行抑制。差模干扰电路模型如图2所示,也可以通过EMI滤波器的X电容进行抑制。


1.2 高频变压器噪声
高频变压器是开关电源中实现能量储存、隔离输出、电压变换的重要元件,同时它的漏感和分布电容对电路的性能带来不可忽略的影响。其等效电路模型如图3所示。

当不考虑变压器的漏感以及开关动作时间时,高频工作下的MOSFET产生的波形是一个标准的方波,如图4所示。

而实际变压器制作中,绕组漏感是不可避免的,由于漏感的存在,当开关闭合时(ton)原边漏感储存了一定的能量(与漏感大小和开关频率有关),当开关关断时(从ton到toff)储存在原边漏感中的能量释放,使得开关器件的两端出现电压关断尖峰,叠加在直流高压V1和感应反射电压VOR上,可使MOSFET的漏极电压超过700V,影响开关工作的可靠性甚至损坏TOPSwitch。考虑变压器漏感时实际电路的波形如图5所示。

1.3 输出整流二极管的尖峰干扰
二极管导通时,在P区和N区分别有少数载流子电子和空穴导电,当突然加反向电压时,存储电荷在反向电场作用下被复合,形成反向恢复电流。由于变压器次级漏感、引线电感及二极管的结电容,在关断电压上叠加了一个衰减振荡电压,形成了关断电压尖峰,如图5所示。对此可以通过外接RC吸收电路抑制二极管电荷存储效应所产生的浪涌电流。
电磁干扰有一定的标准,目前被世界广泛采用的是欧洲的EMC标准,对于开关电源电路可以应用EN55022标准曲线,如图6中虚线所示。图6中上面一条曲线是为考虑EMC设计时的传导E-MI测试曲线,可以看到干扰强度严重超过标准,必须对电路进行相应的抗干扰设计。图7是参加传导EMI测试的反激变换电路,图7中虚线部分是考虑EMC问题而添加的电路部分。


2 优化EMC设计
2.1 输入侧EMC设计
一般开关电源与电网直接相连,高频开关的两端产生浪涌电压,流过一定的浪涌电流,这个电流通过高频变压器原边、直流电容和开关器件形成回路,产生高频辐射干扰;同时高频电流流过一次侧整流电路,产生的脉冲电压叠加在电网电压上,形成差模干扰,对同一线路上的其他设备带来干扰。如图8所示,在开关电源的电源输入端安装电源滤波器可以起到抑制共模和差模干扰的作用。

从滤除电磁干扰的角度,EMI滤波器实质是一个低通滤波器,对直流至截止频率(工频)的信号以最小衰减通过,而对电磁干扰的频带给以尽可能高的衰减,通带与阻带之间的过渡带应尽量地陡。
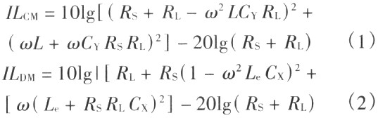
由图8推导分别得到共模、差模的插入损耗为

按前文的分析,理想EMI滤波器应使共模插入损耗(ILCM)最大,而差模插入损耗(ILDM)最小,从图6可以看出,EMI滤波器在10MHz时噪声超出标准最大,达到35dB左右,所以,共模噪声的衰减必须达到40dB,设计时令Rs/RL=50Ω/50Ω,衰减损耗按60dB设计,则有
而且根据开关电源产生共模、差模干扰的特点,将整个频率范围划分为3个部分,即
0.15~0.5MHz 差模干扰为主;
0.5~5MHz 差、共模干扰共存;
5~30MHz 共模干扰为主。
对照图6,发现原电路差模、共模干扰全面超标,但可以看出5~30MHz,频率范围内,出现两个尖峰,应由共模干扰引起,所以,在优化设计EMC时必须加强共模的抑制,即可增加CY的容量来实现。
考虑以上各点因素,取Cx=0.47μF,CY=0.22μF,L=22mH,加入EMI滤波器后电路经过传导测试符合EN55022标准,如图6中下方一条曲线所示。
2.2 变压器原边关断尖峰电压抑制
单片开关电源内部集成的MOSFET的高速开断,使得高频变压器原边漏感中储存的能量释放,在变压器原边叠加一个电压尖峰,使高频方波波形畸变,甚至由于尖峰电压全部加在TOPSwitch的D端(漏极)上,可能使芯片损坏。为抑制尖峰电压,在变压器原边绕组并联由瞬态电压抑制器(TVS)和超快恢复二极管(SRD)相串联组成的吸收电路。当MOSFET关断时,TVS反向击穿,SRD导通,漏感中的能量沿并联回路释放,使得MOS-FET两端的电压限定在TVS的击穿电压之内。结合图5的波形可以看出,在开关管关断瞬间,关断尖峰电压叠加在TOPswitch的D端上,使VD达到600V左右(直流高压450V加上TVS的击穿电压200V),TVS钳位电路导通,漏感能量沿并联通路释放,而且由于杂散电容和初级电感形成了谐振电路,产生衰减振荡,之后,VD回落并稳定在直流高压水平上。
2.3 输出二极管关断尖峰电压抑制
反激变换电路+5V主输出电路整流二极管选用SRl640超快恢复二极管(共阴对管),其反向恢复时间trr=35ns,平均整流电流Id=10A,反向峰值电压VRM=200V。电路工作频率在100kHz(周期10μs),选用超快恢复二极管可有效降低由于反向恢复电流而形成的关断电压尖峰。
另外,并联RC电路吸收高频纹波,100Ω的电阻同时作为假负载避免空载时输出电压升高。同时电路增加了一阶滤波器,其传递函数为
在转折频率后以-40dB衰减高频谐波分量,如图9所示。

由于实际应用中一阶LC滤波会在截止频率附近产生振荡,所以,要合理选取L及C的参数,使其截止频率fc小于输出纹波的最低次谐波分量频率。
如果输出电压纹波达不到要求,可以在输出侧加一级共扼扼流圈以抑制共模干扰传导至输出端。
2.4 其他改进措施
1)采用变压器屏蔽技术,尽量减少其漏感引起的对外辐射噪声;
2)开关管两端并接RC网络,减缓漏源电压的上升斜率,以减小dv/dt对控制端的影响;
3)对PCB工艺进行改进,使其主电路与控制电路分开,对电磁辐射源和电磁敏感器件要注意隔离,以及合理的接地。
3 实验结果
经过以上EMC优化设计,基于TOP224Y设计的的反激变换电路实现输出电压调整率△Vo/Vo=0.1/5=2%(主输出+5V,满载20W,连续72h带载),达到了预期设计的要求。图10是输出电压直流分量与其交流分量波形。

4 结语
由于电磁兼容已经成为开关电源产业必须考虑的问题,所以,考虑EMC问题要有一定的设计理论依据。本文就噪声干扰产生的不同途径,给出抑制差模、共模干扰的滤波器模型,并结合原电路传导EMI测试曲线存在的问题推算出电路的参数,改进后的电路再次进行传导EMI测试,证实了插入滤波器的有效性。
在此基础上,本文还提出了一些改进噪声干扰的措施,对输出电压的纹波幅值和开关漏源电压峰值起到一定的限制作用。