时间:2023-08-10 17:35
人气:
作者:admin
本案例设计了一种单层风车型单元,以拓宽反射阵列天线的带宽。为了获得足够的相位范围,利用风车环贴片和圆环贴片来实现多谐振状态。所提出的单元在HFSS仿真获得了473.6°相位范围的线性相移曲线。在此基础上,所提出的单元在27.5GHz到42.5GHz范围内,大部分相移曲线保持平行,这表明所提出的单元具有宽带特性。为此,我们设计、仿真、加工和测试了由400个单元组成的方形孔径80mm×80mm的单层偏馈天线原型。通过详细测量,在37 GHz下,主波束的峰值增益为27.86 dBi,孔径效率为51.7%。此外,3-dB增益为35.71%(27.5GHz-40GHz)。
对于高增益天线,反射阵列天线(RA)结合了抛物面天线和相控阵的优点,是5G系统的良好候选者。由于大孔径和空间馈电方式,反射阵列可以通过调整表面单元的结构辐射高增益笔形波束。然而,限制RA在通信系统中的应用的主要是带宽窄。为了拓宽RA的带宽,已经做出了许多努力,其中使用最多的是多层和单层多谐振技术。对于多层多谐振技术,使用两个或多层电介质来形成多个谐振点。可以通过优化多层贴片的相应参数来调整相移曲线的线性和范围。虽然可以增加带宽但却增加了制造难度和成本,而且容易引入对准误差。对于单层多谐振技术,使用具有低剖面和低成本的单层介质基板可以获得类似的结果。为此,本案例利用单层多谐振技术构建了一个宽带反射阵列。
对于一个RA天线,一般包含以下3个基本步骤:

单元设计
本案例了提出了一个基于尺寸变化型和旋转型单元的混合调相单元,图1所示。风车环贴片的尺寸和方向随着θ的变化而同时变化。当圆环贴片和风车环贴片达到谐振尺寸时,可以产生双谐振振以扩大相位范围。这意味着所提出的单元是一种混合相变结构,它使用了谐振和几何相位调制。当θ从57.6°变化到309.6°时,所提出的单元可以在35GHz下获得473.6°的相移范围,且损耗低,证明所提出的原子可以产生全相位覆盖,如图2所示。这意味着所提出的单元在反射相位曲线的线性方面具有显著的优势,这是宽带特性的重要因素。
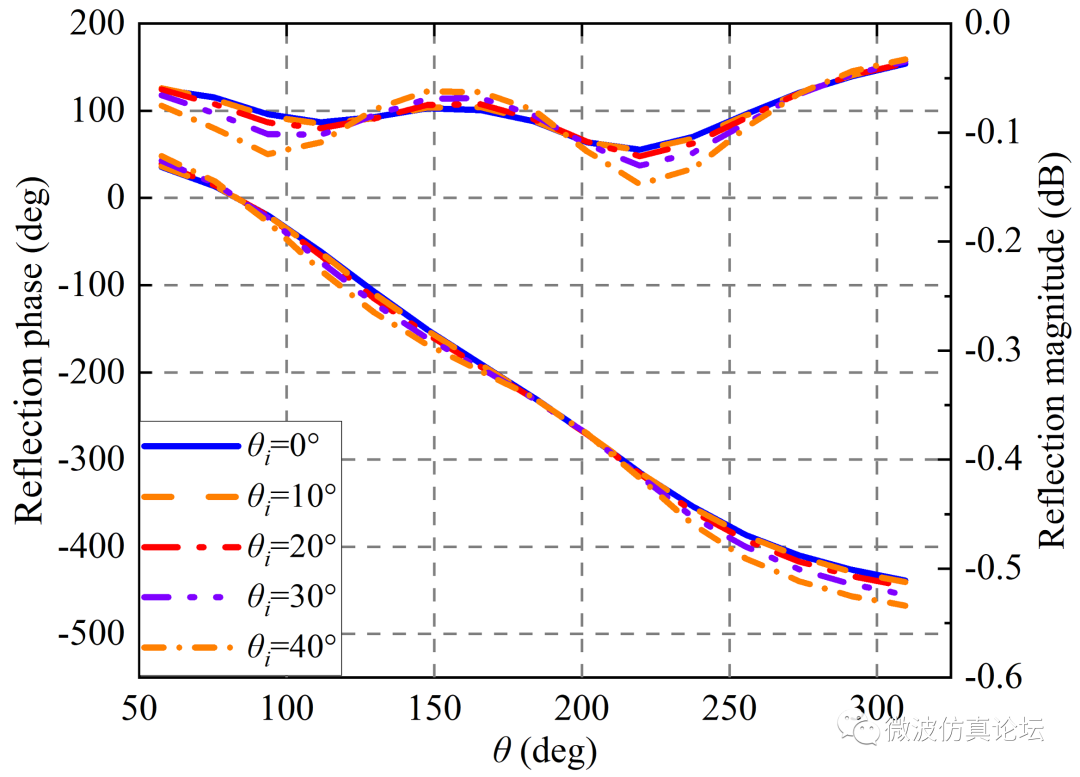
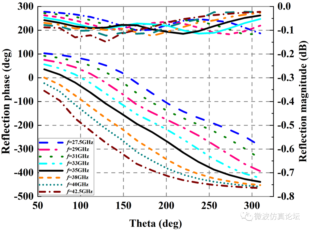
为了实现后续RA的良好辐射性能,必须考虑入射角对单元反射特性的影响,如图3所示。当θi从0°变化到40°时,反射相位和幅度变化不大。这表明,反射相位和幅度对入射角的改变不敏感。根据图4显示,在整个27.5 GHz至40 GHz范围内,相位偏转的变化量同样很小,这意味着相移曲线在宽频带上保持稳定的趋势。

图1 单元结构示意图

图2 35GHz时单元反射相位与幅度

图3 不同入射角的反射特性

图4 不同频率下的反射特性
馈源设计
本案例使用KA频段的线极化角锥喇叭。首先使用HFSS确定好喇叭的相位中心。为了保证阵面的照射效率且减小馈源和RA之间的遮挡影响,馈源的相位中心与RA的垂直距离为80mm(F/D=1),入射角与反射角和RA中心的夹角设为15°。
阵面组装
准备好单元和馈源,紧接着就是计算阵面单元需要补偿的相位,以便是入射波束经过RA后能形成指定方向的反射波束。计算公式如下:

其中k0是自由空间中的传播常数。馈电相位中心与第n个单元中心之间的距离表示为dmn,r0表示主波束的单位矢量。rmn是第mn个元素的位置矢量。同时,结合单元相移曲线,利用matlab程序得出单元大小。
最后,利用上文求出的单元大小,使用matlab和hfss联合仿真自动化建模(github代码库参考 https://github.com/YuJie2020/MATLAB-HFSS-API),天线整体结构如图5所示。为了验证HFSS的仿真结果,我们加工了天线实物进行测试,实物图见图6。测试结果和仿真接近,如图7所示。可以看到,模拟结果与测量结果具有相同的趋势。测得的峰值增益为27.86dBi,频率为37GHz,相应的孔径效率为51.7%。此外,在模拟结果中观察到27.5GHz-42.5GHz(相对带宽为42.86%)频率上的增益变化小于3dB。然而,由于VNA的频率限制,RA增益测量的最大频率只能达到40GHz。因此,测得的3dB增益带宽为35.71%(27.5GHz-40GHz)。

图5 天线结构示意图

图6 天线加工模型

(a)

(b)
图7 (a)35Ghz时仿真与测试归一化方向图; (b) 仿真与测量的增益和口径效率与频率的关系
总之,本案例提出了一种由圆环贴片和风车环贴片组成的新型风车单元。所提出的单元具有混合调相机制。通过HFSS优化参数,获得了覆盖473.6°相移范围的线性相移曲线。基于该单元,先在HFSS进行仿真计算,取得满意的效果后,加工了孔径尺寸为80mm×80mm的单层Ka波段偏置馈电样品,并在宽频率范围内进行了测试。测量的峰值增益为27.86dBi,孔径效率为51.7%,测量结果与仿真结果吻合较好。
审核编辑:汤梓红
下一篇:RF调谐电路中Q值是什么意思