时间:2023-07-26 10:41
人气:
作者:admin
分贝简介
dB应该是无线通信中最基本、最习以为常的一个概念了。我们常说“传播损耗是xx dB”、“发射功率是xx dBm”、“天线增益是xx dBi”……
天线增益的定义方式可以有多种,以下是两种常见的定义方式:
● 相对于半波偶极子天线(或同等参考天线)的增益(dBi):
这种定义方式将天线的增益与一个理想的半波长偶极子天线相比较。偶极子天线在各个方向上的辐射或接收功率均匀分布,被视为一种参考天线。因此,天线增益以dBi为单位,表示相对于半波偶极子天线的增益。正数表示天线比偶极子天线具有更高的增益,负数表示天线比偶极子天线具有较低的增益。
● 相对于无方向性(理想点源)天线的增益(dBd):
这种定义方式将天线的增益与一个理想的无方向性(点源)天线相比较。无方向性天线在各个方向上辐射或接收功率均匀分布,被视为一种参考天线。天线增益以dBd为单位,表示相对于无方向性天线的增益。正数表示天线比无方向性天线具有更高的增益,负数表示天线比无方向性天线具有较低的增益。
dB的意义其实再简单不过了,就是把一个很大(后面跟一长串0的)或者很小(前面有一长串0的)的数比较简短地表示出来。
如:

分贝是一种对数单位,用于比较两个物理量的大小或相对变化。它基于对数比例的概念,通过将物理量的比值取对数,并乘以一个常数因子,将其转换为分贝单位。

分贝是相对单位,它表示的是两个物理量之间的比例关系,而不是一个纯粹的计数。因此,不能简单地说某个物理量的数值是多少分贝,而需要将其与一个参考值进行比较,才能得出具体的分贝值。
分贝在EMC测试中
在EMC(电磁兼容性)测试中,分贝(dB)被用于表示信号的衰减或增益。EMC测试是评估电子设备在电磁环境中的性能,以确保其不会产生或受到不良的电磁干扰。以下是在EMC测试中常见的几种情况,其中分贝用于表示信号的衰减或增益:
1. 信号衰减:在EMC测试中,可以使用分贝来表示电磁屏蔽材料或隔离设备对信号的衰减程度。例如,一个屏蔽箱可以被评估为在特定频率范围内提供多少分贝的信号衰减。
2. 信号增益:在EMC测试中,也可以使用分贝来表示放大器或信号处理设备对信号的增益。例如,一个放大器可以被评估为在特定频率范围内提供多少分贝的信号增益。
3. 信号传输损耗:分贝还可用于表示信号在传输过程中的衰减情况。例如,在电缆或传输线路中,可以测量信号的输入功率和输出功率,并计算传输过程中的损耗,用分贝表示。
通过使用分贝单位,可以量化信号的衰减、增益或传输损耗,帮助评估电子设备在电磁环境中的性能和对其他设备的干扰程度。这有助于确定是否需要采取进一步的措施来改善设备的电磁兼容性。
电磁兼容常用测量单位
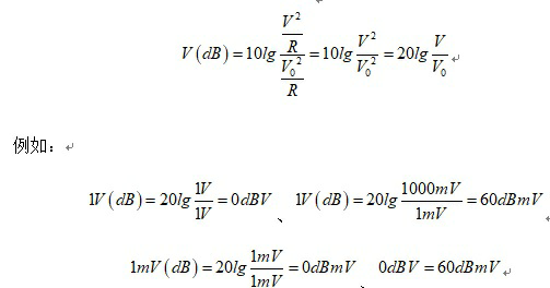
1. 功率单位:
dBW(分贝瓦):以瓦(W)为参考,表示功率的对数比值。
dBm(分贝毫瓦):以毫瓦(mW)为参考,表示功率的对数比值。
dBpW(分贝皮瓦):以皮瓦(pW)为参考,表示功率的对数比值。
2. 电压单位:
dBV(分贝伏):以伏特(V)为参考,表示电压的对数比值。
dBmV(分贝毫伏):以毫伏(mV)为参考,表示电压的对数比值。
dBμV(分贝微伏):以微伏(μV)为参考,表示电压的对数比值。
3. 电流单位:
dBA(分贝安):以安培(A)为参考,表示电流的对数比值。
dBmA(分贝毫安):以毫安培(mA)为参考,表示电流的对数比值。
dBμA(分贝微安):以微安培(μA)为参考,表示电流的对数比值。
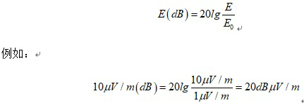
4. 电场强度单位:
dBμV/m(分贝微伏每米):以微伏每米(μV/m)为参考,表示电场强度的对数比值。
V/m(伏特每米):表示电场强度的绝对值。
mV/m(毫伏每米):表示电场强度的绝对值。
μV/m(微伏每米):表示电场强度的绝对值。
5. 磁场强度单位:
dBpT(分贝皮特斯拉):以皮特斯拉(pT)为参考,表示磁场强度的对数比值。
A/m(安培每米):表示磁场强度的绝对值。
dBuA/m(分贝微安培每米):以微安培每米(μA/m)为参考,表示磁场强度的对数比值。
补充:
1瓦(W)=1000毫瓦(mW)
1毫瓦(mW)=1000微瓦(μW)
1微瓦(μW)=1000纳瓦(nW)
1纳瓦(nW)=1000皮瓦(pW)
1伏特(V)=1000毫伏(mV)
1毫伏(mV)=1000微伏(μV)
1安培(A)=1000毫安培(mA)
1毫安培(mA)=1000微安培(μA)
1伏特每米(V/m)=1000毫伏每米(mV/m)
1毫伏每米(mV/m)=1000微伏每米(μV/m)
1安培每米(A/m)=1000毫安培每米(mA/m)
1毫安培每米(mA/m)=1000微安培每米(μA/m)
1特斯拉(T)=1000毫特斯拉(mT)
1特斯拉(T)=1,000,000微特斯拉(μT)
1特斯拉(T)=1,000,000,000,000皮特斯拉(pT)
常用线性单位的对数转换
电参量单位的对数转换是借助功率比来定义的:
1. 功率:

2. 电压:

3. 电流:

4. 电场强度:

5. 磁场强度:

单位间转换
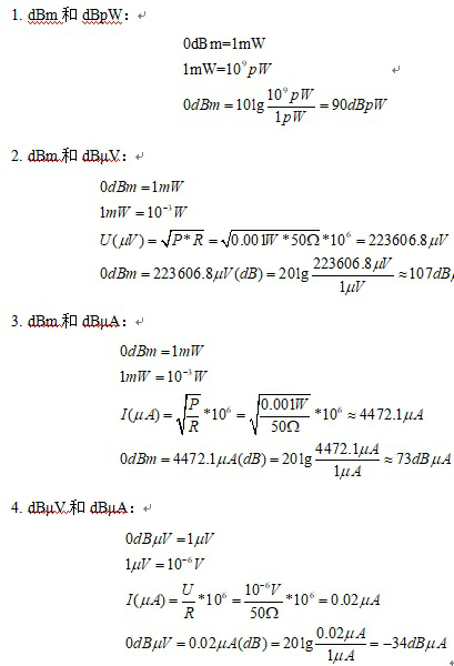
基于50Ω额定阻抗的电压、电流和功率单位间的换算

表 1 换算表
| 基于50Ω额定阻抗的电压、电流和功率单位间的换算 | ||||
| 原 新 | dBm | dBpW | dBμV | dBμA |
| dBm | ±0 | +90 | +107 | +73 |
| dBpW | -90 | ±0 | +17 | -17 |
| dBμV | -107 | -17 | ±0 | -34 |
| dBμA | -73 | +17 | +34 | ±0 |
补充:
基于50Ω额定阻抗的场强单位间的换算

表 2 换算表
| 基于50Ω额定阻抗的电场强度、磁场强度、磁通量密度单位间的换算 | |||
| dBμV/m | dBμA/m | dBpT | |
| dBμV/m | 0 | +51.5 | -53.5 |
| dBμA/m | -51.5 | 0 | -2 |
| dBpT | +53.5 | +2 | 0 |
单位换算的应用
1. 骚扰电压测试系统:系统初始测试结果为,在线路中增加40dB衰减后测试结

口诀:30是基准,等于1W整;加3乘2,加10乘10;减3除2,减10除10;
这里需要注意,等式右侧除了30dBm,其余的拆分项都要用dB表示。也就是说,用一个dBx减另一个dBx时,得到的结果用dB表示。
[例]如果A的功率为46dBm,B的功率为40dBm,可以说A比B大6dB。
[例]如果A天线为12dBd,B天线为14dBd,可以说A比B小2dB。
dB是相对值,dBm…是绝对值:

编辑:黄飞