时间:2023-07-28 15:00
人气:
作者:admin
一、背景
集成学习Boosting一族将多个弱学习器(或称基学习器)提升为强学习器,像AdaBoost, GBDT等都属于“加性模型”(Additive Model),即基学习器的线性组合。1997年Freund和Schapire提出的AdaBoost,它是先从初始训练集训练出一个基学习器,然后基于基学习器的在这一轮的表现,在下一轮训练中给预测错的训练样本更大权重值,以达到逐步减少在训练集的预测错误率。这种训练机制像不像做一套卷子,有些重难点题做不出来,那下次又给你做同样的卷子,但不同的是:之前你做错的重难点题占有很大的分值比重,这样你会将更多重心放在了这些难题上,从而提高你的学习表现。那除了这种方式,还有没有其他方法攻克考题上的重难点?有,就是死磕到底,找到这题错在哪?基于此错误继续去做这道题,直到做对为止。这跟GBDT [1] 的工作机制就很像了,它是先产生一个弱学习器(CART回归树模型),训练后得到输入样本的残差,然后再产生一个弱学习器,基于上一轮残差进行训练。不断迭代,最后加权结合所有弱学习器得到强学习器。GBDT的一个应用示意图如下(某样本预测值 = 它在不同弱学习器所在叶子节点输出值的累加值):

图1:GBDT应用示意图
二、GBDT
第二部分目录如下:
1.背景知识
2.GBDT回归
3.GBDT分类
1. 背景知识
GBDT可用于回归和分类任务。在深入了解它在回归或分类任务上的训练细节之前,我们先了解一些相关的背景知识。
(1)GBDT弱学习器
决策树是IF-THEN结构,它学习的关键在于如何选择最优划分属性。西瓜书 [2] 提到:“随着划分过程不断进行,我们希望决策树的分支结点所包含的样本尽可能属于同一类别,即结点的“纯度”(Purity)越来越高”。衡量纯度的指标有多种,因此对应有不同类型的决策树算法,例如ID3决策树 (以信息增益Information Gain作为属性划分标准),C4.5决策树 (以增益率Gain Ratio选择最优划分属性),CART决策树 (使用基尼指数Gini Index)来选择划分属性。
决策树那么多种,为什么GBDT的弱学习器就限定使用CART决策树?
A: 原因如下所示 (具体细节不展开):
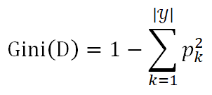
CART决策树是怎么计算基尼值呢?
A: 假设当前数据集D中第k类样本所占比例为
(k=1,2,…,
),则基尼值为:

反映了从数据集D随机抽取两个样本,其类别标记不一致的概念,因此越小,数据集D的纯度越高。基于此,属性a的基尼指数定义为:

假设属性a有V个可能的取值{
},则
是指第v个分支结点包含D中所有在属性a上取值为
的样本。
是给分支结点赋予权重,获得样本数更多的结点,影响更大。
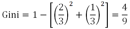
举个具体计算基尼指数的例子,假如按照“芯片为高通骁龙865和非高通骁龙865进行机型档位划分”:

表1:基尼指数计算样例集
当芯片为高通骁龙865时,有旗舰机2个,中端机1个:

当芯片非高通骁龙865时,有中端机1个,低端机1个:

最后,特征”芯片”下数据集的基尼指数是:

为什么GBDT用回归树,不用分类树?
A: 因为GBDT要计算残差,且预测结果是通过累加所有树结果得到的。因此分类树没法产生连续型结果满足GBDT的需求。
(2)GBDT模型框架

图2:GBDT算法实现流程图及伪代码 [3]
GBDT的伪代码如图2所示,假设我们有个样本集
,想用M个弱学习器加性组合成GBDT强学习器,我们得按以下步骤进行实现 (详情参考 [4]):
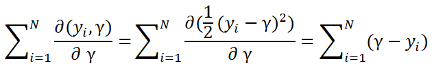
1)初始化一个弱学习器
。它使损失函数
最小化,具体如下:

这里
是什么呢?请接着看下去,假设这里损失函数为平方损失,则对
求导:

由于这里的损失函数为凸函数,所以只要令上面这个导数为0即可,那么可以求得:

因此,
是所有训练样本标签值的均值,它是一个常数,所以弱学习器
就只有一个根节点。

注意:
因损失函数不同而不同。
2)迭代训练m = 1, 2, … , M棵树。
(a)对每个样本i = 1, 2, …, N,计算负梯度:

(b)将上步(a)得到的负梯度
作为新样本值,将新数据
, I = 1, 2, …, N作为下颗树的训练数据,拟合得到新树,新树上的叶子节点区域为
(j = 1, 2, …,
,其中
为叶子结点的个数)。
(c)对每个叶子节点j = 1, 2, …,
,计算最佳拟合(即使损失函数最小,拟合叶子节点最好的输出值):

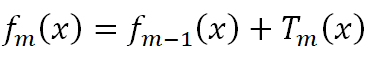
(d)更新强学习器:

是CART回归树模型的表达式,其中J是指数据集被划分为J个单元(即叶子节点),
是第m轮迭代训练下,CART树第j个单元的输出值。而
是指示函数,若
,则I=1,否则I=0。这里第m轮下的强学习器 = 第m-1轮下的强学习器 + 第m轮的弱学习器。
3)输出最终学习器GBDT:

上述公式展示的就是一系列弱学习器累加后得到强学习器的结果。
负梯度和残差的关系是什么?
A: 负梯度是函数下降最快的方向,也是GBDT目标函数下降最快的方向,所以,我们用负梯度去拟合模型。而残差只是一个负梯度的特例,当损失函数为均方损失时,负梯度刚好是残差(这点在上面 "对
求导" 处有做假设展示)。
2. GBDT回归
上面”GBDT通用框架”就是以平方损失为损失函数的一种GBDT回归模型学习过程,不同损失函数导致使用的负梯度不同,因此也就产生了不同的GBDT回归算法,总结了下GBDT回归模型所用的损失和负梯度如下:

表2:GBDT回归树常用损失函数及负梯度 [5]
这里特别说下Huber损失,它对于中间附近的点 (
)采用均方误差,对远离中心的异常点 (
),采用绝对损失。边界点δ的值受绝对损失函数而不是平方误差损失控制,定义了这些被认为是“离群点”的残差值。总的来说,Huber结合了均方差和绝对损失,在抵抗长尾误差分布和异常值的同时,还保持了对正态分布误差的高效率。它和分位数损失一样,适用于稳健回归,用于减少异常点对损失函数的影响。
3. GBDT分类
由于分类有二分类和多分类任务,所以GBDT分类有所区别,这里分开对它们进行展开解释:
** (1) GBDT二分类**
我们上面也讲到了,GBDT本质上就是一系列弱学习器之和:

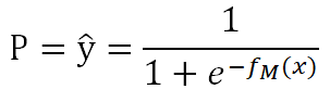
而GBDT分类跟逻辑回归的思路是类似的,将
的作为下列函数的输入,便可以得到类别概率值:

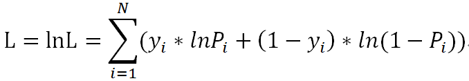
假设样本独立且同分布,极大似然估计(即选取合适的参数使被选取的样本在总体中出现的可能性最大)的损失函数为:

为了方便对损失函数求导,会加入对数,求最大对数似然估计:

上面的损失函数并非最终的函数,而是最大似然估计函数(数值越大越好),由于损失函数应该使越小越好,所以要对上面的L取相反数,同时为了得到平均到每个样本的损失值,要除以样本数N,这样得到了最终的损失函数:

对损失函数计算负梯度:

由此看来,GBDT负梯度即为残差,表示真实概率和预测概率的差值。接下来计算过程跟着GBDT通用框架进行就好了。
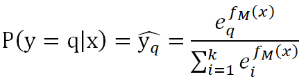
** (2) GBDT多分类**
GBDT多分类原理跟Softmax一样的,假设我们有k个类别,将
作为以下函数的输入,便可以类别q对应的概率值:

其损失函数为:

多类别任务下,只有一个类别是1,其余为0,假设这不为0的一类为q,我们对它Softmax的损失函数求负梯度得:

跟二分类一样,本质上负梯度就是真实概率和预测概率的插值。
三、其它
第三部分讲下GBDT的其它内容:
1. 正则化
2. 优缺点
3. 与RF的对比
1. 正则化
GBDT采用了三种正则化手段:
(1)学习率v和树数量M的平衡
我们前面得到,第m轮下的强学习器 = 第m-1轮下的强学习器 + 第m轮的弱学习器,如下:

GBDT原论文提到,树数量越多,越容易过拟合,所以限制树数量可以避免过拟合,但历史研究又给出:通过收缩 (即学习率v减少) 实现的正则化比通过限制项 (即树数量M减少) 实现的正则化效果更好。这是什么意思呢?请先看下面的公式:

该公式加入了学习率v,这里跟神经网络的学习率相反,如果我们学习率下降,每个树的贡献就会减低,反而还实现了正则化,但如果我们放开训练(即不固定树数量),只减低学习率的话,GBDT还是会过拟合,因为产生了更多的树。因此,GBDT作者建议,我们要实现v-M之间的权衡,理想的应该是在正则效果合适下,学习率降低的同时,也能尽可能保证树数量少些。这里当然也有出于对计算资源的考虑,增加M会带来计算开销。
(2)子采样比例
子采样是将原数据集中抽样一定的样本去拟合GBDT。与随机森林不同的是,GBDT采样不放回抽样,因为GBDT串行训练要求所有弱学习器使用同一套样本集,不然在不同抽样样本空间计算的残差,缺乏一致性。
(3)决策树常用正则化手段
这块的参数都涉及到弱学习器树本身的正则化,例如:决策树最大深度、划分所需最少样本数、叶子节点最少样本数、叶子节点最小样本权重、最大叶子节点数、节点划分最小不纯度等。
2. 优缺点
优点:
缺点:
3. 与RF的对比
[4] 总结的很好,我就不重复造轮子了:

图3:GBDT与RF的区别 [4]
四、代码参考
scikit-learn已提供封装好的库直接调用就好了,受限于篇幅,这里不详细展开,详见官方文档 [6]。
from sklearn.datasets import make_regression
from sklearn.ensemble import GradientBoostingRegressor
from sklearn.model_selection import train_test_split
X, y = make_regression(random_state=0)
X_train, X_test, y_train, y_test = train_test_split(X, y, random_state=0)
reg = GradientBoostingRegressor(random_state=0)
reg.fit(X_train, y_train)
reg.predict(X_test[1:2])
reg.score(X_test, y_test)