时间:2023-07-07 09:01
人气:
作者:admin
今天来看看,RF System Design of Transceivers for wireless Communication这本书中关于三阶互调截点的级联公式的推导。
还是两步走。
第一步,三阶互调截点的推导。
以前,在互调公式----大一统也讲过。今天再简单来回顾一下。
一个弱非线性无记忆的系统,可以用下面的公式来模拟:

这是一个新的公式,在射频微电子一书中,是用下面的公式来模拟的。

但是,我想不明白,这两个公式怎么样,才能是一致的。如果把射频微电子中的公式都平方的话,功率项倒是能对上,但是其他的项呢,怎么忽略掉的呢?
暂时先不管,先继续往下看。

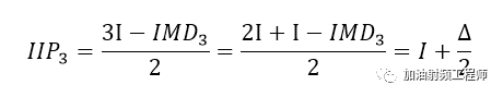
下图中的左图,和射频微电子中的图形一致,都是表示基波和互调分量的关系的。右图,是对三阶互调截点的推导。

而:

完成IIP3公式的推导。
第二步,IIP3级联公式的推导
在顾老师这本书中,没有像razavi一样,先是推导出两级的,然后再推广到多级的。而是一步到位,直接推导出多级的。
假设有n级级联电路,并从其中的第k级开始推导,这个k可以是1~n中的任意值。

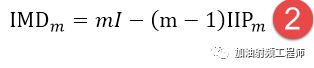
因为在第一步中,已经推导出IIPm与IMDm(等效到输入端),以及输入端干扰信号I之间的关系。
即:

做一点变化,把IMDm写在左边,则可得:

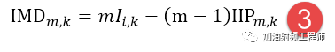
上面这个公式是针对某一器件的,所以对于链路中的第k级也适用,但是为了表示代表是k极的,在下标上标注出k,所以:

上式的单位是dB,把这个转换成线性形式,则:


而且,

结合4,5,6式,就可以得到:


每级的三阶互调分量,在负载RL上产生的电压,叠加后,对应的功率为:

所以,整个链路的等效输入三阶互调分量为:

由式子4,可以得到

把式子9代入式子10,则可以得到:

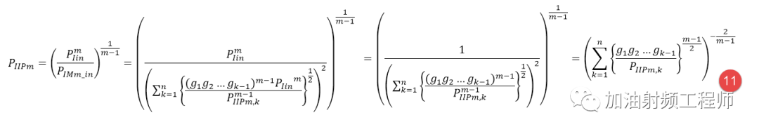
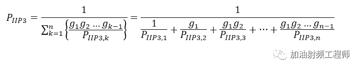
对于三阶互调截点,可以得到:

苍天,这个推导过程,着实不太友好。
像射频微电子中的推导过程,感觉让我自己想,可能也是那个思路,但是我想不到,怎样把中间那一项给忽略掉。
但是顾老师这个思路,我估计想破脑袋,也不会想到这个推导思路,而且上标下标的,太容易搞混了,这还是对照着书来推导。相当费脑子。
总的来说,顾老师的推导思路是这样的:
(1)推导出三阶互调产物,与干扰信号和三阶互调截点之间的关系
(2)然后把每级产生的三阶互调产物,转换成线性表示,并计算出在最终负载RL上的电压
(3)每级都会产生这样的三阶互调产物,算出叠加后的电压,再转换成功率,算出总的三阶互调产物
(4)然后再用式(1)的关系,推导出三阶互调截点的级联公式
审核编辑:刘清