时间:2023-06-26 10:20
人气:
作者:admin
现代雷达对接收信号都进行了一些形式的采样,而对信号序列x(n)的截短也是不可避免,通常使用乘积来实现。为了减少频谱能量泄漏,可采用不同的截取函数w(n)对信号进行截断,通常称为加窗序列,简称为窗。

不同的窗函数对信号频谱的影响是不一样的,这主要是因为不同的窗函数产生泄漏的大小不一样,频率分辨能力也不一样。为了不影响截短序列的相位响应,通常需要窗函数保持线性相位。
典型窗函数
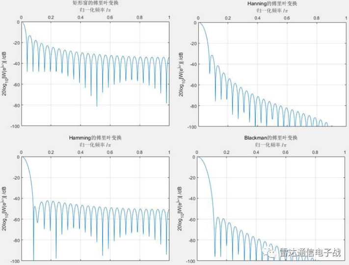
常用的窗有:矩形窗、汉明窗(Hamming)、汉宁窗(Hanning)、布莱克曼(Blackman)等。我们可以通过Matlab很容易的对序列进行加窗,也可以简单的看到窗函数的频率响应。

矩形窗的优点是主瓣比较集中,缺点是旁瓣较高,并有负旁瓣,导致加窗过程中带进了高频干扰和频谱泄漏 汉宁窗又称升余弦窗,汉宁窗使主瓣加宽并降低,旁瓣则显著减小,从减小泄漏观点出发,汉宁窗优于矩形窗。但汉宁窗使主瓣加宽,相当于分析带宽加宽,频率分辨力下降。汉宁窗函数的最大旁瓣值衰减-31dB,但是主瓣宽度比矩形窗函数的主瓣宽度增加了1倍。 汉明窗也是余弦窗的一种,又称改进的升余弦窗,与汉宁窗的加权系数不同。汉明窗加权的系数能使旁瓣达到更小。汉明窗的第一旁瓣衰减为-42dB,其旁瓣衰减速度比汉宁窗衰减速度慢。汉明窗与汉宁窗都是很有用的窗函数。

为什么要加窗?
在时域上看,加窗其实就是将窗函数作为调制波,输入信号作为载波进行振幅调制。矩形窗对截取的时间窗内的波形未做任何改变,即只是截断信号原样输出。 更普遍地,绝大部分窗函数形状都具有类似从中间到两边逐渐下降的形状,只是下降的速度等细节上有所区别。降低截断引起的泄漏,所有窗函数都是通过降低起始和结束处的信号幅度,来减小截断边沿处信号突变产生的额外频谱。 不同的窗函数,产生泄漏的大小不一样,频率分辨能力也不一样。信号的截断产生了能量泄漏,而用FFT算法计算频谱又产生了栅栏效应,从原理上讲这两种误差都是不能消除的,但是我们可以通过选择不同的窗函数对它们的影响进行抑制。
时域加窗
通常时域上加窗更为普遍,时域截断效应带来了频谱的泄漏,窗函数是为了减小这个截断效应,被设计成一组加权系数w(n)。 域加窗在时域上表现的是点乘,因此在频域上则表现为卷积。卷积可以被看成是一个平滑的过程,相当于一组具有特定函数形状的滤波器,因此,原始信号中在某一频率点上的能量会结合滤波器的形状表现出来,从而减小泄漏。

从上图可以看出对线性调频信号(LFM)的时域加窗会导致主瓣变宽而旁瓣得到明显降低,并且最大幅值也有所降低。
频域加窗
频域加窗在频域上表现为点乘,这是为了减小脉冲压缩后时域的距离向旁瓣,而对匹配滤波器的频率响应加窗。我们知道线性调频脉冲的频率响应近似为矩形,对其乘以窗函数可得到修正后的频率响应。

修正后的频率响应不再与发射的LFM信号匹配,因此输出峰值和信噪比都会有一定减小。 从下图可以看出频域加窗对脉冲压缩结果的影响,导致主瓣变宽而旁瓣得到明显降低,并且最大幅值也有所降低。

从下图可以对比发现时域加窗和频域加窗有一些共同的效果,也有一些不同的区别,例如旁瓣大小不同,旁瓣结构也有所不同等。其中蓝色是频域加窗后脉冲压缩后的结果,绿色是时域加窗后的结果。
加窗对频率和幅值的影响
傅里叶变换后主要的特征有频率、幅值和相位,而加窗对相位的影响是线性的,所以一般不用考虑,下面主要讨论加窗对频率和幅值的影响。 加窗对频率和幅值的影响是关联的,对于时域的单个频率信号,加窗之后的频谱就是将窗谱的谱峰位置平移到信号的频率处,然后进行垂直缩放。说明加窗的影响取决于窗的功率谱,也就容易理解为什么总常看到对窗特征主瓣、旁瓣等的描述。 主瓣变宽就可能与附近的频率的谱相叠加,意味着更难找到叠加后功率谱中最大的频率点,即降低了频率分辨率,较难定位中心频率。旁瓣多意味着信号功率泄露多,主瓣被削弱了,即幅值精度降低了。由于加窗计算中衰减了原始信号的部分能量,因此对于最后的结果还需要加上修正系数。
如何选择“窗函数”?
对于一次过程时间小于窗口的暂态信号或冲击波形,信号开始和结束处本身就是零,不存在截断引起的泄露,不需要加窗抑制,因此只需要用矩形窗即可。 在需要频率分辨率高时,使用旁瓣少的窗口,如汉宁窗,而矩形窗旁瓣太高,泄漏太大;在需要幅值准确时,还可以使用平顶窗。对于连续的周期性波形,可以结合不同的窗口获得所关注的结果。
编辑:黄飞