时间:2023-07-03 09:16
人气:
作者:admin
BER,全称是,Bit error Rate,即误码率。
一个比特,0或者1,通过某种调制方式调制到射频载波后,经过空间传播,然后被接收机接收,再经过解调,最后再变成一个比特。
如下图所示。

在传输过程中,信号会受到噪声的影响,因此发射的比特a和接收到的比特b,可能会不相同。
而这个不相同的概率,就称为误码率,即BER。
举个例子,假设总共传输了N个比特,然后a和b不相同的次数是ne,则BER即为ne/N,通常这个N取得要很大,至少为100,最好是∞。
比特,使用某个调制方式调制,在经过加性高斯白噪声(AWGN)信道后,其被误判的概率,即BER,是可以推导出理论公式的。
加性高斯白噪声信道,具有加性,高斯,白噪声这三种特征。
加性,即噪声是叠加到接收信号上的,即r(t)=s(t)+n(t)。
高斯,即噪声n(t)满足高斯概率分布函数:

白噪声,即噪声频谱在所有频率处都是平坦的,处处相等。
比如BPSK。
在BPSK调制方式中,二进制数字1和0,可以分别用模拟电平来表示,假设分别为:

简化的BPSK收发模型,如下图所示。

当传输比特为0时,y=s0+n,对应的条件概率分布函数为:

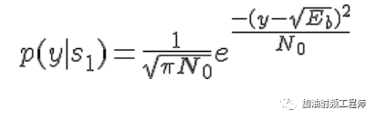
当传输比特为1时,y=s1+n,对应的条件概率分布函数为:

如下图所示。

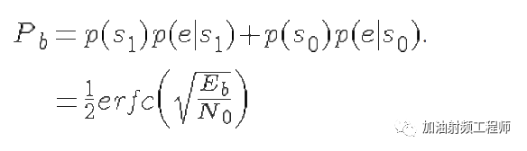
假设,传输s1和s2的概率是均等的,即p(s1)=p(s0)=1/2,且0是判决门限。
即,如果接收到的y大于0,则接收机判定传输的是1,不管实际传输的是多少;如果接收到的y小于0,则接收机判定传输的是0。
因此,当传输s1时,发生错误的概率为(对应上述的蓝色部分,即接收到的y小于0的时候):

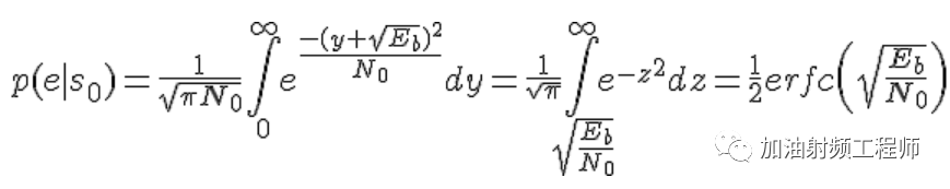
当传输s0时,发生错误的概率为(对应上述的绿色部分,即接收到的y大于0的时候):

因此,当传输s1和2的概率均等时,BPSK总的误差率为:

也就是说,BER与Eb/N0有关系,其中,Eb是指每个比特的信号能量,N0是噪声谱密度。
下图是不同的调制方式,其BER与Eb/N0的关系。

而平时我们所关注的SNR也与Eb/N0有关系。

因此,当知道BER后,可以计算出Eb/N0,进而可以得到我们设计链路时关注的SNR。
审核编辑:刘清