时间:2022-08-05 15:28
人气:
作者:admin
电感选型中,我们主要考究8个基本的要素:感值、耐温、额定电流、品质因数、直流电阻、自谐频率、尺寸、价格。
额定电流的考究有两个方向——
1. 基于电感值的变化率的额定电流,磁介质达到达到最大值所对应的DC电流,即:饱和电流(Isat);
2. 基于电感温度上升的额定电流,即产品应用时,表面达到一定温度时所对应的DC电流,也称:温升电流(Irms);
实际选型中,我们会取该两个电流中的较小值作为电感的额定电流。

然而,这里面有个点需要留意:当我们在谈论电感饱和时,实际上是在谈论铁芯饱和,比如功率电感。对于没有铁芯的空心电感,如射频电感,并没有饱和电流的说法。

磁饱和特性可以在其磁化曲线(也叫:BH曲线或磁滞曲线)中看出,曲线中磁场强度H增加时,磁感应强度B逐渐趋于一个最大值,在磁饱和之后,B值增加但其增长速率却比饱和前小了几个数量级。

磁饱和特性中,具体到铁磁性材料上是由一个个磁畴构成,在未进行磁化前,磁畴的磁场随机排列,磁场相互抵消,整体上的磁场足以忽略。但外部的磁场强度H施加到材料后,磁畴重新排列且小磁场的方向与外磁场平行,相加后形成更大的磁场。磁场强度H越大,磁畴转变方向,形成的磁导率μ越大,从而形成的磁感应强度B也越大。当外部磁场强度大于某定值后,磁导率磁导率到达一个最大值,磁场强度再加大所产生的磁感应强度变化已可忽略,此时磁化强度接近定值,此时即为磁饱和。
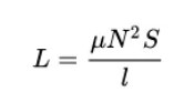
电感的感量取决于磁导率μ,绕组等效匝数N,磁路等效截面积S,电感线圈等效磁路长度ɭ

空气的磁导率几乎等于真空中磁导率μ0,而性能优异的磁性材料μ可达2000μ0。对于功率电感,感值范围一般从0.1uH到几mH,而射频电感通常是nH级别,少数可达uH。

在受限于匝数、体积的情况下,功率电感含铁芯以提高感量,而射频电感则没这个必要。随着电感电流的增加,磁导率μ随磁场强度H增加到一个最大值,直至达到饱和时减小,最后变为1,此时相应的电感L也趋于空心电感。因此,对于功率电感,我们会管控饱和电流、温升电流,而射频电感则不管控,而且规格书上通常也不描述出来。
审核编辑:刘清