时间:2021-05-17 14:36
人气:
作者:admin
今天我们一起来学习一下,最基本的电感电容电路——LC谐振电路。LC电路是各种电子设备中的基本电子组件,尤其是在诸如调谐器,滤波器,混频器和振荡器之类的电路中使用的无线电设备中。
在学习之前,我们再复习一下电感和电容的原理。电容就是储存电荷的容器,最基本构成是如下图所示的一个平板电容器,电容器里面存储的是电场能。

电感呢?就是由于电磁感应效应,在线圈中储存的感应磁场能。

这就有意思了,当我们把这两种元器件放到一起时,电场能和磁场能就碰面了,会产生什么效果呢?

电场能和磁场能LC电路里面就不老实了,开始互相转化起来,随着电荷的流动,一会儿由电容里面的电场能转变为了线圈里面的磁场能,一会儿又由线圈里面的磁场能转换为了电容里面的电场能,此赠彼减,玩的不亦乐乎。当磁场能和电场能达到一个平衡时,场能和磁场能的总和时刻保持不变,电源不必与电容或电感往返转换能量。但是由于LC电路中不可能存在完全理想无耗的电感和电容,那么,电磁能量就会在LC谐振回路中做阻尼振荡,这个阻尼值就是消耗在电阻上的电磁能量。所以在一个LC谐振回路中,电源只需要提供电阻所消耗的能量就可以了。

这样理解起来是不是超级简单。言归正传,我们回到LC谐振回路的本质。根据电感和电容的连接方式,LC电路可分为LC并联谐振电路和LC串联谐振电路。
串联谐振电路
我们先来看一下LC串联谐振电路。电感和电容串联在一起,如下图所示。电容器和电感器两端的电压之和就是开路端子两端的总电压之和v = v L + v C。LC电路+ Ve端子中的电流等于通过电感器(L)和电容器(C)的电流 i = i L = i C 。

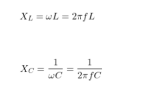
电感的感抗和频率成正比,电容的容抗与频率成反比。因此当频率f增加时,电感的感抗XL增加,但是电容的容抗XC减小。

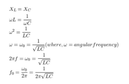
当频率f达到某个特定值时,LC串联电路的感抗和容抗相等,谐振就产生了。

那么我们回到串联谐振回路的阻抗Z。看一下谐振时候的Z是多少。

当电路工作在谐振频率f0时,根据上面f0的公式,带入阻抗Z,可以得到Z=0.也就是说,LC串联谐振电路,感抗和容抗相互抵消,对外呈现短路特性,电路中的电流最大。因此,串联LC电路在与负载串联连接时将充当在谐振频率下具有零阻抗的带通滤波器。

当频率低于谐振频率f0时,XC远大于XL,电路呈容性;当工作频率高于谐振频率f0时,XL远大于XC,电路呈感性。当在工作频率等于谐振频率f0时,电流最大,电路只有电阻在工作。
并联谐振电路
我们接着再来看一下LC谐振电路的另一种形式——并联谐振电路。在并联LC电路中,电感器和电容器都并联连接,如图所示。

LC并联电路电感和电容两端的电压相同 v = v L = v C。流经并联LC电路的总电流等于流经电感器的电流与流经电容器的电流之和I = I L + I C。在谐振条件下,当感抗(XL)等于容抗(XC)时,无功支路电流相等且相反。因此,它们彼此抵消,以使电路中的电流最小,在这种状态下,总阻抗最大。LC并联谐振电路的谐振频率如下:

把谐振频率f0带入到上面阻抗公式可以得到,阻抗呈无穷大,电路呈开路状态。因此,并联LC电路在与负载串联时,将充当在谐振频率处具有无限阻抗的带阻滤波器。与负载并联的并联LC电路将用作带通滤波器。

当频率低于谐振频率f0时,XL远大于XC,电路呈感性;当工作频率高于谐振频率f0时,XC远大于XL,电路呈容性。当在工作频率等于谐振频率f0时,电流最小,阻抗最大。不知道讲到这里,你找到当初学LC谐振的感觉了没。
编辑:hfy
下一篇:浅谈RF设备的可靠性