时间:2021-05-10 17:10
人气:
作者:admin
由于通信已成为我们生活中的重要组成部分,因此电话和其他无线设备的可靠性已变得至关重要。军事和航空航天设备一直采用这种方式,但是它们不再垄断高可靠性。
工程师负责设计和测试RF设备的可靠性,这是通信和电力工业(CPI)Beverly Microwave Division的高级工程项目经理Chandra Gupta博士提出的要点。古普塔博士于2017年9月13日在麻省理工学院林肯实验室与IEEE可靠性学会波士顿分会的工程师进行了交谈。
Chandra Gupta博士(左二)与MIT Lincoln Labs的IEEE可靠性学会成员一起。
尺寸,重量,功率和成本(SwaP-C)使设计可靠零件的工作变得更加困难。“一切都变得越来越小,”古普塔指出。“您一无所获。较小的尺寸导致较高的电流密度。”
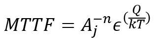
他继续说:“由于设备物理的原因,一切都失败了。”故障来自电迁移,热载流子注入效应,电效应,过高的工作温度,晶须生长,静电放电(ESD)和电超负荷(EOS)。“我们希望设备能够持续使用很长时间,” Gupta说。 。这与电迁移的平均失效时间(MTTF)有关,在此处通过布莱克方程表示:

焊接也会导致缺点。在焊接过程中,金属会扩散,从中可以扩散出空隙(材料中的空隙)。越来越细的引线键合也会产生空隙。这些问题在导线与焊盘的连接处发生,从而导致断路。它是线宽的函数,现在已降至60万密耳。Gupta指出:“当引线键合的厚度为2密耳时,我们看不到这些空洞的问题。”
2.5D和3D IC封装设计以及低间距球栅也带来了其他问题。Gupta指出,3D IC使用硅过孔进行连接,这会产生潜在的薄弱点。

ESD是一个特别困难的可靠性问题,因为它的影响并不总是立即发生的。通过ESD在设备中流动的电流可能不足以烧毁设备,但可能会使设备变弱。仅在使用设备后,有时很长一段时间,此类问题才会变得明显。
EOS问题取决于干扰的脉冲宽度。Gupta建议在测试设备时,将EOS脉冲的持续时间限制为10 ms。例如,100 ms或更长时间的脉冲可能会导致设备烧坏。

除了零件的可靠性外,古普塔还警告零件修订和过时。他列举了“升级”或降低成本影响组件可靠性的示例。“注意零件并管理您的供应链。”
编辑:hfy