时间:2017-12-11 02:41
人气:
作者:admin
对于任何功率放大器(功率放大器)设计,输出匹配电路的性能都是个关键。但是,在设计过程中,有一个问题常常为人们所忽视,那就是输出匹配电路的功率损耗。这些功率损耗出现在匹配网络的电容器、电感器,以及其他耗能元件中。功率损耗会降低功率放大器的工作效率及功率输出能力。
因为输出匹配电路并不是一个50Ω的元件,所以耗散损失与传感器增益有很大的区别。输出匹配的具体电路不同,损耗也不一样。对于设计者而言,即使他没有选择不同技术的余地,在带宽和耗散损失之间,在设计方面仍然可以做很多折衷。
匹配网络是用来实现阻抗变化的,就像是功率从一个系统或子系统传送另一个系统或者子系统,RF设计者们在这上面下了很大的功夫。对于功率放大器,阻抗控制着传送到输出端的功率大小,它的增益,还有它产生的噪声。因此,功率放大器匹配网络的设计是性能达到最优的关键。
损耗有不同的定义,但是这里我们关心的是在匹配网络中,RF功率以热量的形式耗散掉的损耗。这些损耗掉的功率是没有任何用途。依据匹配电路功能的不同,损耗的可接受范围也不同。对功率放大器来讲,输出匹配损耗一直是人们关注的问题,因为这牵涉到很大的功率。效率低不仅会缩短通话时间,而且还会在散热和可靠性方面带来很大的问题。
例如,一个GSM功率放大器工作在3.5V电压时,效率是55%,能够输出34dBm的功率。在输出功率为最大时,功率放大器的电流为1.3A。匹配的损耗在0.5dB到 1dB的数量级,这与输出匹配的具体电路有关。在没有耗散损失时,功率放大器的效率为62%到69%。尽管损耗是无法完全避免的,但是这个例子告诉我们,在功率放大器匹配网络中,损耗是首要问题。
现在我们来看一个网络,研究一个匹配网络(图1a)中的耗散损失。电源通过无源匹配网络向无源负载传输功率。在电源和负载阻抗之间没有任何其他的限制。把匹配网络和负载合在一起考虑,电源输出一个固定量的功率Pdel到这个网络(图1b)。输出功率的一部分以热量的形式耗散在匹配网络中。而其余的则传输到负载。Pdel是传输到匹配网络和负载(图 1c)上的总功率,PL是传输到负载的那部分功率。

图1 为计算求匹配网络的耗散损失而构造的网络(a)。把匹配网络和负载一起考虑,电源输出一定数值的功率到这个复合网络(b)中。当电源输出Pdel到匹配网络和负载的复合网络时,PL是传输到负载的那部分功率(c)。
了解了这两个量,我们就可以知道,实际上到底有多大的一部分功率是作为有用功率从电源传输到了负载,其比例等于PL/Pdel。
这是对功率放大器输出匹配的耗散损失的正确测量,因为它只考虑了实际传输功率以及耗散功率。反射功率没有计算进去。
由此可知,这个比例就等于匹配网络工作时的功率增益GP。而工作时的功率增益完整表达式为:

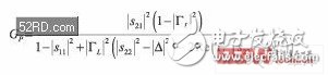
这里,是负载反射系数,是匹配网络的s参数,而。注意,在这个表达式里,没有包含任何有关源阻抗的信息。
损失就是增益的倒数。因此,耗散损失可以定义为:
Ldiss = 1/GP。
对于功率放大器而言,我们为它设计的负载一般是50Ω。通常,我们用来测量s参数的系统阻抗也是50Ω。如果系统阻抗和负载都是50Ω,那么就为0,于是,上面的表达式就可以简化为:

在计算一个匹配网络的耗散损失时,只需要知道它的传输值和反射散射参数的大小,这些可以很容易地从s参数的计算过程中得到,因为网络分析仪通常都会采用线性的方式来显示s参数的值。在*估输入和级间耗散损失时,负载的阻抗不是50Ω,但是上述的规律依然适用。
因为反射和耗散损失很容易混淆,射频工程师有时就会采用错误的方法来计算耗散损失。而最糟糕的方法就是采用未经处理的s21来进行计算。一个典型的匹配网络在1GHz(图 2)时,对功率放大器而言,是数值为4+j0Ω的负载阻抗。匹配网络采用的是无损耗元件来进行模拟的,所以在匹配网络中不存在功率的耗散问题。然而,s21却是-6dB,因为在 50Ω的源阻抗和4Ω的负载之间存在着巨大的不匹配问题。作为一个无损耗网络,除了一些数字噪音外,模拟的耗散损失为0dB。

图2 一个典型的匹配网络在1GHz时,对功率放大器来讲,是一个数值为4+ j0Ω的的负载阻抗。匹配网络采用的是无损耗元件来进行模拟,所以在匹配网络中,没有功率的耗散出现。
在电路的模拟当中,我们可能可以采用s21来求出正确的耗散损失。这一过程包括采用复杂模拟负载线的共轭阻抗来作为源阻抗。由于耗散损失和源阻抗并没有关系,所以,这是一个正确的方法,但是不便于使用。
另一种通用的方法就是采用电路模拟器中的最大增益来计算。由于这一测量采用了ADS,所以它用起来比较方便。但是,它有可能会得到错误的答案。在一 个只有50Ω串联电阻的简单电路里,显然,负载也是50Ω,50Ω串联电阻的耗散损失是3dB,因为传输功率是均分给了串联电阻和负载(表1)。在这个例 子当中,模拟器可以选择1GΩ的负载阻抗。当50Ω的电阻和1GΩ负载串联在一起时,它上面的电压降非常低,而功率的耗散也非常的少。
表 1 50Ω串联电阻的耗散损失
模拟结果 -3.5 dB
最大增益 0.0 dB
Gp -3.0 dB
正确的计算方法应该是采用工作功率增益。用其他方法可能也能得到相同的结果,但是不能保证一定可以得到结果。当负载为50Ω时,要得到工作功率增益,是非常简单的,我们没有理由不用它。
输出匹配的具体电路不同,最终的损失也不同。在微波频谱的低端,传输线占据了太多的空间,所以采用了集总元件的方法。在一个功率放大器模块的典型输出匹配电路中,使用大容量的隔直电容器来防止直流电流从功率放大器电源流到负载中去(图2)。用表面贴装电容器和印制电感器以及表面贴装电感器组成的两节低通匹配网络,可以将50Ω的名义负载阻抗转化成合适的负载线。而负载线的设置是根据指定的功率放大器输出功率和可用的电源电压。手机放大器的负载线变化范围为1Ω到5Ω。
我们可以采用标准的或高Q值电容器。还有另一个正在逐渐流行起来的做法就是采用集成电容。在许多工艺技术(包括GaAs 和CMOS)中,高品质的金属-高介电质-金属结构的储存电容器都是可以用的。有一家供应商提供不使用任何表面贴装元件的完整的GSM功率放大器模块,所有的匹配网络使用的都是引脚框架走线和集成电容。除了可以减小尺寸外,采用集成电容在成本方面有它的优势,这点可以通过采用更好的生产线、降低装配的复杂性、节省物流工作,以及缩短交货时间来实现。
即使设计者无法选择不同的技术,在带宽和耗散损失之间,他们仍然可以有很大空间可以在设计方面进行折衷。要想了解一个输出匹配的损耗机制,有一个办法,就是采用无损耗元件来模拟匹配,然后每次在一个元件上引入损耗机制(表2)。
表 2 输出匹配的机械损耗
有损失的元件 在1GHz时耗散损失
L1 0.17 dB
C1 0.66 dB
L2 0.15 dB
C2 0.11 dB
Cout 0.03 dB
总计 1.11 dB
电容器的品质因数与它的电容量是成反比的。要想使输出匹配的耗散损失达到最小,那么在输出匹配中,Cl的值就必须尽可能地小。折衷是在带宽和耗散损失之间做出的。
对于一个功率放大器的效率而言,耗散损失是非常关键的。耗散损失的值就等于匹配网络工作功率增益的倒数,而与源阻抗的任何特性都没有关系。当负载阻抗为50Ω时,耗散损失的计算公式非常简单,且很容易应用在设计上。
也有其他的方式可以测量输出匹配的损耗,但是这些测量方法有时会得到错误的结果。在输出匹配电路上,采用不同的电容器技术会带来不同的损失。集成电容非常适合用在低损失输出匹配上。即使已经选定了电容器技术,在带宽和耗散损失之间还是存在着很大的空间在设计方面进行折衷。