时间:2019-03-14 15:17
人气:
作者:admin
1 引言
随着功放技术、基带处理技术与射频拉远等技术的重大突破,基站性能大幅度提高,现已经进入了新一代3G 基站时代。移动网络在实际使用过程中,由于地形环境的影响很多基站并未达到预期的效果。为了改善网络覆盖,通常有三种方法:①添加基站,覆盖盲区;②增设直放站,延伸并扩大原基站信号,以增强信号覆盖;③在原有的网络设备基础上,通过提高基站的发射功率扩大覆盖范围。基站功放就是一种通过提升基站发射功率来优化网络覆盖的解决方案。加装基站功放后,基站输出功率、有效覆盖面积增加,因此覆盖一定区域的基站数量可以减少。
文中就是在这种背景要求下,以飞思卡尔半导体的LDMOS 晶体管- MRF6S19060N 为例,在ADS 环境下仿真设计了一个应用在1930 ~ 1990MHz 基站的功率放大器。基站功放属于大信号放大器,输入功率和可控衰减范围大、三阶交调抑制比要求高等都是基站功放设计的难点。文中针对以上问题提出了单双音信号分别输入的仿真方法并给出了设计步骤,最后和测试结果进行了比较。仿真结果与测试结果的一致性说明了仿真的有效性。
2 基站功率放大器的技术要求
作为优化网络信号覆盖的一种解决方案,基站功率放大器(加塔顶放大器) 具有较高的实用价值。
基站功放作为基站射频信号的输出必须保证其输出信号满足移动通信系统的技术规范对空中射频信号的所有技术要求。主要有以下几个方面的要求:
(1) 输出功率。
输出功率应符合通信系统基站发射功率等级要求。鉴于目前国内大部分GSM 系统基站输出功率等级为5 级,且塔顶放大器能将噪声系数改善6dB,因此基站功放一般也按6dB 增益提高,把以前5 级提高到3 级,这样输出功率也有一定的改善。
(2) 增益。
基站功率放大器的增益应能满足不同基站功率等级需要,根据上行链路中塔顶放大器的增益进行调整,以达到上下行链路的平衡。一般要求大于6dB.
(3) 互调失真。
根据TS GSM05. 05 要求,GSM 系统单载波信号满功率输出时,IMD 小于- 26dBc, 用双音测试法测试,当峰值包络功率等于最大输出功率时,IMD<- 26dBc.
(4) 杂散发射。
GSM 系统基站功率放大器的杂散发射按GSM05. 05 技术规范要求,应满足:0. 9kHz ~1GHz 范围内≤- 36dBm; 1GHz~ 12. 75GHz 范围内≤- 30dBm. 因此,基站功率放大器必须具备一定的滤波功能,一方面滤除上行频带内的噪声,另一方面抑制因功率放大器非线性而产生的谐波失真分量。
(5) 端口驻波。
基站功率放大器插入BTS 后,必须不影响原系统的匹配,一般要求功率放大器输入、输出端口驻波系数小于1. 2。
3 设计功放主要特性及仿真步骤
下面是主要仿真基站功放性能参数:
(1) 转换功率增益G T : 当放大器的输入阻抗和信号源的内阻共扼匹配时,信号源到放大器之间有最大的功率传输,此时有下式成立:
其中,PL 为负载吸收的功率,PA 为信号源的资用功率。用放大器的S 参数和反射系数可表示为:

其中,POU T 为射频输出功率,PIN 为射频输入功率,P INQ 为直流输入功率。它既反应了直流功率转化为射频功率的能力,又反应了放大射频功率的能力。
(3) 三阶互调失真(IMD3) : 输出功率的三阶互调分量与基波分量之比,单位为dBc 时表示为:
同时还仿真了理想输出功率和增益压缩输出功率与输入功率的关系曲线。
在对功率放大器进行仿真之前,需要做的准备工作主要包括:确定仿真工具软件、用于仿真的功放晶体管模型、采用的电路结构和设计方法等。主要仿真步骤为:①将晶体管模型库导入到ADS 模型库中; ②根据放大器的要求和晶体管特性确定静态工作点;③ 进行功率放大器的电路设计,包括阻抗匹配、偏置电路和直流厄流等;④确定仿真类型和仿真参数以及ADS 环境下的所需的一些变量;⑤对所设计电路进行仿真,然后分析这些曲线并得出结论。
4 仿真实例
本次设计实例中采用了飞思卡尔公司的MRF6S19060N 晶体管测试板作为功率放大器,对本放大器的一些特性进行仿真,其频率范围为1930MHz~ 1990MHz, 工作电压为DC28V, 输出平均功率为12W(31. 08dBm) , 增益为16dB. 该晶体管是LDMOS 功率管,具有增益高、输出功率大以及良好的线性度、较高的性价比和高可靠性等特点,非常适合用于设计基站功率放大器。
4. 1 静态工作点的确定
静态工作点仿真主要是选择放大器的工作状态,确定静态工作点。根据仿真步骤首先在ADS 中导入飞思卡尔的LDMOS 模型库,并调出MRF6S19060N 模型。建立如图1 所示的直流仿真电路图。

图1 确定静态工作点电路图
在晶体管的技术参数中,需要通过仿真和实际测试获得栅极电压。图2 为MRF6S19060N 晶体管的静态工作点特性曲线。在特性曲线中,可以发现静态工作点即图2 中m1 点,V DD= 28V, I DQ = 0.606A, 从而得到栅极电压VGS = 2. 7V, 这样静态工作点就确定了。

图2 晶体管直流特性曲线和静态工作点
4. 2 器件的稳定性分析及增益仿真结果
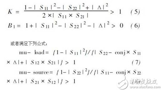
放大器电路必须满足的首要条件之一是其在工作频段内的稳定性。因为射频电路在某些工作频率和终端条件下有产生振荡的趋势。它一般取决于晶体管的S 参数和置端条件。功率放大器的稳定性可以根据稳定因子来判定,计算公式如下:

如果因不稳定在输入或输出端口出现负阻时,就可能发生振荡,则需要采用在输入或输出端串联或并联负反馈的方法使晶体管稳定。仿真实例中采用ADS 自带mu- load 和mu- source 公式满足的条件来判定功率放大器稳定性,通过仿真可以得到器件的稳定性曲线如图3 所示。由下图仿真结果可见在工作频率范围内mu- load 和mu- source 都大于1 满足绝对稳定的条件。

图3 稳定性分析结果
基站功率放大器的增益应能满足不同基站功率等级需要,根据上行链路中塔顶放大器的增益进行调整,以达到上下行链路的平衡。在高增益方案中,信号增益可用S 参数仿真dB(S (2, 1) ) 来衡量。图4为放大器的增益仿真结果,能够看到在整个工作频率范围内都符合增益大于16dB 的要求。

图4 S21(增益) 仿真结果
4. 3 单音信号仿真电路与仿真曲线
单音信号仿真是扫描功率的谐波平衡仿真,主要是得到ldB 压缩点和放大器的功率附加效率曲线。图5 是单音信号仿真电路图,这里频率设定为中心频率1960MHz.

图5 单音信号仿真电路图
图6 和图7 为由以上电路原理图仿真得到的输入输出功率关系和功率附加效率仿真结果,能够看到当输入功率为31dBm 时,P1dB即图6 中的m2 输出为45. 686dBm. 图7 给出了功率附加效率在10%~ 50%范围内随着输入功率的变化曲线。由此可知输出功率及效率达到了基站功放的要求。

图6 理想输出功率和增益压缩输出功率曲线

图7 功率附加效率仿真结果
4. 4 双音信号仿真结果
双音信号仿真是测试放大器线性度的重要手段,它是将频率相近的射频信号输入到放大器,利用谐波平衡法,得出放大器输出信号中的三阶互调失真分量与基波信号的相对关系。将输入的双音信号频率分别设置为1958. 75MHz. 和1961. 25MHz的正弦信号,则三阶互调失真的频率分别为1953.75MHz 和1966. 25MHz. 图8 为双音信号的仿真结果。由仿真结果可以计算出IMD3 为- 32. 68dBc.

图8 双音互调仿真结果
通过对比有关晶体管MRF19060N 的特性曲线和仿真结果可知,仿真结果和测量结果是一致的,但也存在一些微小差别。这主要是由于实际的器件和仿真模型不完全相同造成的。
5 结束语
文中针对基站功率放大器的输出功率大以及良好的线性度、较高的性价比和高可靠性等要求,通过采用ADS 软件的仿真和设计实现了基站功率放大器的性能要求。这不但能够扩大基站覆盖范围,提高通信质量,同时也节省了开发的成本。文中给出了仿真特性的电路图和仿真后的特性曲线,同时对仿真曲线和实际测试的特性曲线进行了比较,比较结果表明得到的仿真曲线和实际测试曲线是一致的,表明这种设计方法和步骤是可行的。可以有效地应用于基站系统来提高基站的发射功率,使原有盲区范围变小甚至实现无盲区覆盖,达到改善通话质量、提高经济效益的目的。