时间:2017-08-30 16:00
人气:
作者:admin
如果系统精度、效率和可靠性至关重要,那么设计传感器节点无线数据传输以用于远程监控就会是一个相当大的挑战。
而溶液的pH值是许多行业需要考虑的一种测量,今天我们分享的参考设计的目的是评估pH玻璃探针的特性,从而解决硬件和软件设计的不同挑战,并提出一种利用射频收发器模块从探针无线传输数据的解决方案。
第一部分:pH探针
水溶液可分为酸性、碱性和中性三类。在化学中,酸碱度通过一种数值尺度来衡量,称为pH值。依据嘉士伯基金会的定义,pH值代表氢离子浓度。此尺度是一个对数尺度,范围为1到14。pH值的数学表达式为:
pH = –log(H+)
因此,如果氢离子浓度为1.0 × 10–2摩尔/升,则
pH = –log(1.0 × 10–2) = 2
蒸馏水等水溶液的pH值为7,这是一个中性值。pH值小于7的溶液为酸性溶液,大于7的溶液为碱性溶液。对数尺度反映了一种溶液相对于另一种溶液的酸性程度。
例如,pH值为5的溶液,其酸度是pH值为6的溶液的10倍,是pH值为8的溶液的1000倍。
有很多办法可测量水溶液的pH值,包括通过石蕊试纸指示器或使用玻璃探针。
石蕊试纸指示器通常由从地衣提取的染液制成,可用来指示pH水平。一旦与溶液接触,试纸就会发生化学反应,导致其颜色改变,由此指示pH水平。这一类大体上包括两种方法:
将已知pH值对应的标准颜色与利用缓冲溶液浸入测试液体的指示器颜色进行比对;
将pH试纸先浸没在指示器中,然后浸入测试液体中,将其颜色与标准颜色进行比对。虽然上述两种方法很容易实现,但是温度和测试溶液中的杂质很容易引起误差。
最常用的pH指示器是pH探针。它由一个玻璃测量电极和一个参比电极构成。典型玻璃探针由玻璃薄膜及其中封入的盐酸(HCl) 溶液组成。外壳内部有一根镀AgCl的银线,其充当参比电极并与 HCL溶液接触。玻璃膜外部的氢离子扩散通过玻璃膜,置换相应数量的钠离子(Na+),多数玻璃中一般都存在钠离子。这种正离子很敏锐,大部分限定在玻璃表面上浓度较低的一侧薄膜上。Na+的多余电荷在传感器输出端产生一个电压。
探针类似于一块电池。当把探针置于溶液中时,测量电极产生一个电压,其大小取决于溶液中氢的活性,然后将该电压与参比电极的电位进行比较。随着溶液酸性的增强(pH值变低),玻璃电极电位相对于参比电极阳性增强(+mV);随着溶液碱性的增强(pH值变高),玻璃电极电位相对于参比电极阴性增强(-mV)。这两个电极之差即为测得电位。在理想情况下,典型的pH探针在 25°C下会产生59.154 mV/pH单位,通常用能斯脱方程表示如下:

其中:
E = 氢电极电压,活性未知
a = ±30 mV,零点容差
T = 环境温度(25°C) n = 1(25°C),价(离子上的电荷数)
F = 96485库仑/摩尔,法拉第常数
R = 8.314 伏特-库仑/°K摩尔,阿伏加德罗氏数
pH = 未知溶液的氢离子浓度
pHISO= 7,参比氢离子浓度
方程表明,产生的电压取决于溶液的酸度和碱度,并以已知方式随氢离子活性而变化。溶液温度的变化会改变其氢离子的活性。当溶液被加热时,氢离子运动速度加快,结果导致两个电极间电位差的增加。另外,当溶液冷却时,氢活性降低,导致电位差下降。根据设计,在理想情况下,当置于pH值为7的缓冲溶液中时,电极会产生零伏特电位。典型pH探针的规格如下表所示。

表1. pH玻璃探针的典型规格
pH探针在本研究中起着重要作用,因为数据可靠性取决于传感器的精度和可靠性。选择pH探针时,有两个重要因素需要考虑:
缓冲溶液温度改变之后的稳定时间
pH值改变之后的稳定时间
作为例子,下面的数据摘自Jenway的应用笔记“Jenway高性能pH电极评估”,显示了探针在给定测试条件下发生温度变化后的稳定性能。制备一种溶液,其缓冲液在20°C时的pH值为7,在60°C时的pH值为4。让各电极在以200 rpm转速搅拌的pH 7缓冲液中稳定。然后用去离子水清洗电极,并将其转移到pH 4缓冲液的等分试样中放置4分钟。再次用去离子水清洗电极,然后将其放回到pH 7缓冲液中。评估读数持续10秒保持稳定所需的时间。对每个探针重复测试三次。

表2. 缓冲溶液温度改变之后的稳定时间

表3. 缓冲溶液pH值改变之后的稳定时间
在所示给定条件下,Jenway探针的性能与通用pH探针相比,响应时间要快最多50%。使用类似这样的仪表会非常有利,因为其样本吞吐速率很高,分析数据所需的时间会大大缩短。
为了理解信号调理电路,必须知道传感器探针的等效电路图。如上一节所述,pH探针由玻璃制成,可形成极高的电阻,范围从1MΩ到1 GΩ不等,充当与pH电压源串联的电阻,如图1所示。

图1. pH探针等效电路配置
即使非常小的电路电流流经电路中各器件的高电阻(尤其是测量电极的玻璃膜),这些电阻上也会产生相对较大的压降,严重降低仪表测得的电压。更糟糕的是,测量电极产生的电压差非常小,处于毫伏范围(理想情况下,室温时每pH单位对应59.16 mV)。用于此任务的仪表必须非常灵敏,并且有超高输入电阻。
对于此类应用,给定传感器的响应时间时,数据采样速率将是一个问题。假设传感器分辨率为0.001 V rms,ADC满量程电压范围 1 V,则实现9.96位的有效分辨率无需高分辨率ADC。无噪声分辨率单位为位,用下式定义:
无噪声分辨率 = log2[满量程输入电范围/传感器峰峰值电压输出噪声]
ADC采样速率对低功耗应用可能是一个重要因素,因为ADC的采样速率与功耗直接相关。在传感器的响应时间一定时,典型ADC采样速率可设置为其最低吞吐速率。可采用集成ADC的微控制器以减少器件数量。
传输pH和温度数据需要收发器,控制收发器需要微控制器。收发器和微控制器的选择涉及到一些重要考量。选择收发器必须考虑如下因素:
工作频率
设计RF传输必须确定工作频率(OF),sub-GHz或2.4 GHz频率能否满足应用要求。在需要高数据速率和使用蓝牙等宽带宽的应用中,2.4 GHz频率是最佳选择。但工业应用通常使用sub-GHz频率,因为可用的专有协议能方便地提供网络链路层。专有系统主要使用sub-GHz范围内的ISM频率,即433 MHz、868 MHz和915 MHz。
最大距离范围Sub-1 GHz频率支持25 km以上的长距离、大功率传输。当用于点对点或星形拓扑时,这些频率可有效穿透墙壁和其他障碍物。
数据速率也需要确定,它会影响收发器的传输距离能力和功耗。数据速率较高时,功耗较低,可以用于短距离传输;而数据速率较低时,功耗较高,可以用于长距离传输。要降低功耗,提高数据速率是一个好办法,因为它只在很短的时间内以突发方式消耗电流,但这样做也会缩短无线电覆盖距离。
收发器功耗对电池供电应用非常重要。这在许多无线应用中也是一个考虑因素,因为它决定了数据速率和距离范围。收发器有两个功率放大器(PA)选项以提供更大的使用灵活性。单端PA可以输出最多13 dBm的RF功率,差分PA可以输出最多10 dBm的功率。
表4总结了一些PA输出功率与收发器IDD电流消耗的关系。为完整起见,表中同时给出了接收模式的电流消耗。

表4. PA输出功率与收发器IDD电流消耗小结
Sub-GHz包括433 MHz、868 MHz和915 MHz的免许可ISM频段。它广泛用于工业中,非常适合各种无线应用。它可以用在世界上的不同地区,因为它符合欧洲ETSI EN300-220法规、北美FCC Part 15法规及其他类似监管标准。

图2. 无线传感器数据采集和传输框图
选择微控制器必须考虑如下因素:
外设
微控制器应集成SPI总线之类的外设。收发器和pH参考设计板均通过SPI连接,因此需要两个SPI外设。
存储器
借助适当大小的存储器,微控制器执行协议处理和传感器接口任务。Flash和RAM是微控制器的两个极重要组成部分。为确保系统不会用尽存储空间,使用128 kB内存。这必定会让应用和软件算法流畅运行,并且为可能的升级和功能增加(以便消除系统问题)留有余地。
架构和处理能力
微处理器必须足够快,以便处理复杂的计算和流程。该系统使用32位微处理器。虽然位数较低的处理器可能也可行,但本系统选择使用32位以支持潜在更高的应用和算法需求。
功耗
微处理器的功耗应非常低。对于那些依赖电池供电且必须在无维保的情况下运行数年的应用,功耗至关重要。
通信处理器在发射模式下将CRC附加于有效载荷,在接收模式下检测CRC。有效载荷数据加上16位CRC可以利用曼彻斯特编码技术进行编码/解码。
系统应当使用最少的器件和最小的板尺寸,因为当成本是关键要求之一时,这些常常是决定性因素。不要使用分立器件,必须考虑由MCU和无线器件组成的集成解决方案。这样可消除无线电和MCU之间互连的设计难题,简化电路板设计,使设计流程更直接了当,并缩短焊线,使其更不易受干扰影响。利用集ARM® Cortex®-M MCU和无线电收发器于一体的单个芯片,可以减少电路板器件数量,简化电路板布局布线,降低总成本。
执行校准例程是实现高精度的关键环节之一。能斯脱方程所描述的pH溶液的一个特征是其高度依赖于温度。传感器探针仅给出一个恒定的失调,可认为该失调在所有温度水平都是恒定的。由于其高度依赖于温度,本系统必须有一个确定溶液温度的传感器。
可以使用直接代入能斯脱方程之类的方法,但由于溶液的非理想特性,可能会产生某种程度的误差。这种方法仅需测量系统的失调和未知溶液的温度。为确定该传感器引入的失调,需要一种pH 值为7的缓冲溶液。理想情况下,传感器应产生0 V输出。ADC读数将是系统失调电压。典型pH探针传感器的失调可能高达±30 mV。
实践中常常使用另一种方法,即利用多种缓冲溶液来设置一些点以构建一般的线性或非线性方程。在此例程中,需要两种经NIST 认证并可追溯的额外pH缓冲溶液。这两种额外缓冲溶液的pH值至少应相差。
通过缓冲溶液执行校准的方法如下:
?第1步:从第一种缓冲溶液中移出电极组件并用去离子水或蒸馏水清洗之后,将带温度传感器的pH探针浸入所选的第二种缓冲溶液中。
?第2步:重复第2步,但使用第三种缓冲溶液。
?第3步:根据利用所选缓冲溶液测得的值建立方程。
可利用多个数学方程导出校准方程。常用公式之一是点斜式直线方程。此方程使用校准期间获得的两点:
P1 (Vm1, pH1)和P2 (Vm2,pH2)
其中P1和P2是利用所选缓冲溶液测得的点。为了确定未知溶液的pH值,对于给定点Px (Vmx, pHx),可以利用方程进行简单的线性插值:
(pHx – pH1)/(Vmx – Vm1)
= (pH1 – pH2)/(Vm1 – Vm2)
或简单写为
pHx=
(Vmx – Vm1) × (pH1 – pH2)/(Vm1 – Vm2) + pH1
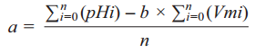
若有多组点,为提高精度,可使用一阶线性回归。给定n个数据点P0 (Vm0, pH0)、P1 (Vm1, pH1)、P2 (Vm2, pH2)、P3 (Vm3, pH3)、…、Pn (Vmn, pHn),可以利用最小二乘法建立一般方程pHx = a + b ×Vmx,其中b为直线的斜率,a为截距,其值如下:

以及

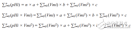
最小二乘逼近法可扩展到更高阶,例如二阶非线性方程。一般二阶方程可以表示为:
pHx = a + b × Vmx + c × Vmx2
a、b和c的值可计算如下:

这个方程组可通过代入、消元或矩阵方法来求解,从而获得未知变量a、b、c的值。
在此给定条件下,为使电路与该高源电阻隔离开来,需要一个高输入阻抗、超低输入偏置电流的缓冲放大器。低噪声运算放大器AD8603可用作该应用的缓冲放大器。AD8603的低输入电流可以最大限度地减少流过电极电阻的偏置电流所产生的电压误差。
就25°C下串联电阻为1 G?的pH探针来说,对于200 fA典型输入偏置电流,失调误差为0.2 mV (0.0037 pH)。即使在1 pA的最大输入偏置电流下,误差也只有1 mV。虽然不一定需要,但可以利用防护、屏蔽、高绝缘电阻支柱以及其他此类标准皮安方法来最大限度地减少所选缓冲器高阻抗输入端的泄漏。
低功耗ADC适合这种应用。16位∑-Δ型ADC AD7792支持精密测量应用。它有一个低噪声3通道输入,当更新速率为4.17 Hz时,噪声仅有40 nV rms。该器件采用2.7 V至5.25 V电源供电,典型功耗为400μA,采用16引脚TSSOP封装。其他特性包括4 ppm/°C温漂(典型值)的内置带隙基准电压源、最大1 μA的关断功耗以及内置时钟振动器,因此所需器件数量和PCB空间得以减少。
基于前述要求,ADuCRF101最适合这种应用。
ADuCRF101是一款针对低功耗无线应用而设计的完全集成式数据采集解决方案,工作频率范围为431 MHz至464 MHz和862 MHz至928 MHz。它集成了通信外设,例如应用所需的两条SPI总线。片内提供128 kB非易失性Flash/EE存储器和16 kB SRAM。它是集成微控制器和收发器的单芯片解决方案,这使得器件数量和电路板尺寸减至最小。
ADuCRF101直接采用2.2 V至3.3 V电压范围的电池供电,功耗如下: ? 280 nA(关断模式,非保留状态) ? 1.9 µA(关断模式,处理器存储器和RF收发器存储器保留) ? 210 µA/MHz(Cortex-M3处理器处于激活模式) ? 12.8 mA(RF收发器处于接收模式,Cortex-M3处理器处于关断模式) ? 9 mA至32 mA(RF收发器处于发射模式,Cortex-M3处理器处于关断模式)
软件是无线传输系统的关键部分之一。它决定了系统如何工作,对系统功耗也有影响。该系统有两个软件部分,分别是协议堆栈和应用程序堆栈。使用的协议堆栈为ADRadioNet—一种用于ISM 频段的无线网络协议。它采用IPv6地址,集合了此类解决方案需要的大部分特性,例如低功耗、多跳、端对端应答、自愈等。应用程序堆栈是一个通过SPI访问pH参考设计板的软件。
为了高效运行这两个软件堆栈,使用了一个简单的调度程序。一个非抢占式调度程序处理协议堆栈任务,为其功能分配一定的时间和资源。然而,系统中定义的任务数量是有限的。为了高效工作,非抢占式调度程序必须在其时间消逝之前完成已定义任务的执行。对于系统中的两个堆栈,非抢占式调度程序正合适,因为分配给它的已定义任务数量是有限的。
本文介绍了pH无线传感器监控设计方面的不同挑战和解决方案。已经证明,ADI数据采集产品可用来应对pH测量的各种挑战。
AD8603运算放大器或任何具有高输入阻抗的同等ADI放大器,可用来抵消传感器的高输出阻抗,从而提供足够的屏蔽,防止系统加载。ADuCRF101数据采集系统IC可提供完整的RF数据传输解决方案。数据采集的高精度既可利用精密放大器和ADC硬件实现,也可通过软件校准实现,即利用数学统计建立一个一般方程,例如各种曲线拟合法。