时间:2017-09-28 18:41
人气:
作者:admin
WSN其实是一种分布式的传感网络,它是可以感知外部和检查外部世界的传感器,它是物联网的关键技术。
在无线传感器网络中定位技术是运用广泛的重要技术,在基于距离的定位技术中,测距精度在很大程度上决定了定位精度。传统的RSSI测距法存在路径损失模型复杂、环境变化引起信号严重震荡而产生测距误差等不足。针对以上问题,本文提出利用锚节点测距信号衰减因子的RSSI测距法,该测距法无需建立路径损失模型,同时,信号衰减因子与RSSI测距有很强的关联性,减少了因其他因素引起的信号强度值震荡而带来的测距误差,具有很好的环境适应能力。
无线传感器网络(Wireless Sensor Networks, WSN)是现代一种有大量微型传感器节点部署的无线检测区域网络。在无线传感器网络实际工程应用中,节点需要提供自身的位置信息及检测信息,才能提供有效的监测服务[2-3]。无线传感器网络中目标的定位、跟踪和轨迹预测都需要节点的位置信息。
WSN的定位问题一般指对于一组未知位置信息的网络节点,依靠已知的锚节点的位置信息,通过测量未知节点至其余节点的距离或跳数,或者通过估计节点可能处于的区域范围,结合节点间交换的信息和锚节点的已知位置,来确定每个节点的位置[5]。
基于接收信号强度指示测距法(Received Signal Strength Indicator,RSSI)的测距方式是指,信号在传播过程中遇到障碍物时会被反射、折射以及吸收,在障碍物周围的信号存在较大的路径损失,造成测距的不准确性,最大测距误差可达±50%[2]。本文针对RSSI测距法中存在的不足,提出利用锚节点测距信号的RSSI测距法解决测距误差。
1 节点定位技术基本理论
1.1 基于距离(Range-Based)的定位
在Range-Based的定位中,节点之间测距精度决定定位的精度,介绍分析以下几种常见的测距法。
到达时间(Time of Arrival,TOA)测距法是一种基于方向链路的定位方法,通过测量节点信号到达多个信标节点的传播时间来确定节点的位置。但它对所有节点相同的误差没有进行处理,误差较大。

到达时间差(Time Different of Arrival,TDOA)测距法是另一种基于反向链路的定位方法,通过检测不同信号到达的时间差来确定节点的位置。但由于节点功率控制会造成相邻节点接收到的功率小,因此会导致比较大的测量误差。
到达角(Angle of arrival,AOA)定位由两个或更多锚节点通过测量接收信号的到达角来估计节点的位置。而当节点距离协调器较远时,节点定位角度的微小偏差会导致测位线距离的较大误差。
接收信号强度指示(RSSI)测距法通过接收节点测量接收功率,计算传播损耗,使用理论或经验的信号路径损失模型将传播损耗转化为距离。其不需添加任何额外硬件降低投入成本,但其路径损失模型建立复杂,射频信号易受多径衰落、非视距等环境影响导致接收信号强度值严重震荡,难以准确测距。
1.2 影响定位精度的主要因素
由于无线传感器网络的通信环境复杂多变,因此,各种依赖于通信信号测量的定位技术都受到各种因素的影响,如多径传播问题及NLOS传播。
2 RSSI测距法
RSSI测距法定位的算法中,用已知节点之间距离测量的准确度来决定定位的精度。RSSI测距法的基本思想是:在传播过程中由于信号的衰减,通过特定环境下的信号传播路径损失模型,运用到所求信号传播环境下,计算出信号衰减量对应的节点之间信号的传输距离。
2.1 RSSI测距原理
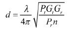
RSSI的定位算法中,传播信号在自由空间中传播,其能量没有介质损耗,传播路径损耗是指自由空间中发射节点的发射信号在传播过程中,随着距离的增加,由于信号被反射、吸收使节点接收到信号的功率密度减少,计算出信号的传播损耗,建立路径损失模型将传输损耗量转化为对应距离[2-3,6]。路径损失是距离的二次函数,表达式如下:
(1)
上式中Pt为节点发射功率,Pt(d)为接收功率;Gr、 Gt分别是发射天线和接收天线的增益;d是发射节点到接收节点的距离;n是取决于环境的平均路径损耗指数;λ是波长。
由(1)式可得:
(2)
由此,接收信号功率变化与发射节点及接收节点距离的平方成反比,通过测量接收信号的强度利用式(2)可计算出发射与接收两节点间的距离。
2.2 RSSI测距法优缺点及误差分析
但RSSI测距法在实际使用中,由于环境因素易产生多径传播、反射、天线增益、非视距等现象,即使布置在固定场合的无线传感器网络,当环境因素改变时,信号衰减速度也会变化,造成相同距离产生不同环境平均路径损耗指数的传播损耗,所以RSSI的定位技术在基于距离的定位技术范畴中通常属于粗略定位。

3 基于测距信号的RSSI测距法
3.1 改进思路
对于RSSI测距法中信号传播路径损失,提出利用锚节点测距信号衰减因子进行改进。其基本思路是借助两个锚节点间的信号传播损耗计算出信号衰减因子,再将信号衰减因子用于已知节点与未知节点的测距中,计算距离。
测距布局思路如图1所示,在无线传感器网络中已知两节点位置信息,N2为所需求的节点。N0和N2为相同环境下,两节点可进行通信,由已知节点N0到N2的位置信息,测出N0到N2的距离,确定节点N2的定位信息。利用锚节点测距信号衰减因子的思想,若在节点N0的通信范围内存在一锚节点N1,则N0、N1、N2为邻居节点,在节点N0通信小范围内存在环境噪声系数引起信号无规律的衰减时,环境噪声系数对于N0到N2与N0到N1之间的信号通信质量的影响是一样的。同状态下,信号从N0到N2与从N0到N1的衰减规律一致。因此,通过锚节点N1和N0得出同状态下信号衰减速率与距离的数值关系,进而通过该衰减因子计算N0到N2的距离。在此改进思路上结合信号随距离增加而衰减变快的情况,推导出信号衰减因子。
在基于RSSI测距法的定位过程中,均需在未知节点的通信范围内有至少三个锚节点对其定位,因此当计算衰减因子时即可利用这些锚节点,不需额外增加节点。
3.2 信号随机衰减系数
在相同环境下有两个锚节点N0、N1和一个未知节点N2,N0与N1和N0与N2均可相互通信。N0、N1间距为d1,且已知N0发出的信号强度为PN0,传输到N1时,信号强度降为PN1;从N0 传输到N2时,信号强度降为PN2。需测N0到N2的距离d(其示意图如图2所示)。
推导如下:
无线传感器网络传输信号的能量损耗E与距离d的关系:

可见,基于锚节点辅助测距信号随机衰减系数的RSSI测距法利用锚节点辅助定位。该测距法无需建立复杂的路径损失模型,而利用锚节点辅助信号衰减因子用于测距。
4 算法仿真分析
为了检验基于锚节点辅助信号的RSSI测距算法的性能,在NS2平台上对WSN算法运用数据收集,利用仿真角度进行算法的分析,即在PN0、PN1、d1取一定值的情况下得出PN2与d的关系。
算法
,其中,
即为信号衰减因子,它是由两个锚节点N0、N1求得,环境变化时,n随之变化。

图3所示为在固定节点N0和节点N2时,不同的环境衰减因子对改进RSSI曲线的影响示意图。可以看出,环境衰减因子n对传播模型影响很大,n值越小,其对应的改进RSSI曲线越平缓,节点信号衰减得越慢,节点N2定位误差越小。反之,n值越大,信号衰减得越快,定位误差越大。
现给定一组值:
,当
时,在Matlab2016a上经过算法仿真分析,绘制出d与PN2的关系图,如图4所示。

仿真图中曲线显示了利用信号衰减因子法所得的节点N2的接收信号强度与距离的关系,信号强度随距离的增加而衰减变快,且衰减速度较均匀,未出现信号强度震荡现象。
5 结论
在基于距离的定位技术中,定位精度取决于测距精度。本文提出了利用锚节点测距信号衰减因子的思想和方法,并阐述其测距原理,推导出信号衰减因子。与传统的RSSI测距法相比,该测距法无需建立复杂的路径损失模型,而是计算同时刻的信号衰减因子用于测距,衰减因子现求现用能有效减少因其他因素引起的信号强度震荡带来的测距误差,提高无线传感器网络中RSSI定位精度。