时间:2016-03-30 10:41
人气:
作者:admin
1. 介绍
虽然无线能量传输的技术原理已经有超过120年的历史, 为什么到现在才显现重要性? 在过去的两年中,智能手机与平板电脑的使用者行为已经显著改变。人们不断地发送邮件,短消息,发布信息至社交网络以及进行在线游戏。很少能有普通用户使用一块电池板坚持一天,这是由于巨大的显示屏,快速处理器以及高清图像消耗大量的电量。公共无线充电基站则是这一问题的实用解决方案。 例如,用户只要将智能手机放置于配置无线充电器的餐厅桌面上,就可轻松充电。为了达到成功的用户体验,充电器必须方便实用、快速高效,然而更重要的是其性能必须可与传统的有线充电器媲美。
一旦由消费产品的设计和需求所推动的技术成熟确立, 在其他领域将会显现许多新的不同应用。 例如,在医疗领域,充电器接头,如插头或者插座很容易受到液体消毒剂的腐蚀。然而使用整体无线充电技术,医疗器械可以完全被密封以防止污染和腐蚀。 此外,在灰尘、粉尘或者易燃材料的工业环境中,无线电源可以消除与充电接触相关的许多风险和质量控制问题。
2. 三大主流标准
这些解决方案的成功无疑是取决于无论是发射器还是接收器都遵循标准兼容协议。因此,无论制造商是哪一家,一旦确定装备可以在所有兼容站得到充电,那么这项技术就会变得流行。所以,理解市场上标准协议以及支持技术至关重要。
2.1. 无线充电联盟 (WPC)发布紧密耦合的Qi标准
• 通过感性耦合器进行短距离能量传输—通常是在毫米范围距离内
• 发射器(Tx) 和接收器 (Rx) 是通过磁场耦合的线圈。
• 磁场聚集在发射器和接收器线圈之间的小区域范围之内
• 单一发射器每次只能向一个接收器提供能量
• 接收到的不同功率水平可达5至15W,计划发展到2.5KW高功率
• 频率范围在100 到 205 千赫之间
• 线圈的形状规格由铁氧体绕线或者电路板上印刷线圈组成
• Qi是目前市场上最成熟的解决方案,在超过230种设备上得以批准使用
• 获批设备的销售数量在全球范围内已达一千六百万台
2.2. 无线电力联盟(A4WP)推出的松散耦合(LC)无线电力传输标准(磁共振) • 发射线圈在与接受线圈相同的振动频率下传输能量。接收器被调整到共振频率以高效接收能量。这种现象称之为磁共振。
• 可远距离工作 – 通常50毫米范围
• 接收器无需精确对位 – 垂直或者水平放置不重要。
• 单一发射器可以对多个接收器同时充电。
• 可为智能手机和平板电脑提供电力,目前电力为最大22W
• 充电频率范围为6.78 兆赫(ISM 频率范围), 2.4 吉赫通信 (低功耗蓝牙)
• 数据传输频率范围为2.4 吉赫 (低功耗蓝牙)
• 标准还未通过,市场上还无商业化产品。
• 与WPC或者PMA不兼容
2.3. 电力事业联盟 (PMA)
• 与WPC相似的解决方案 – 短距离感应耦合
• 某些充电器或者充电适配器可与PMA和WPC装置相兼容 – 如智能手机,但是这并不意味着标准使用完全相同的技术。
• PMA 解决方案使用不同的协议,并且传输频率范围超过WPC。
• 协议属性与频率范围仅对PMA 成员有效
• 与WPC或者A4WP不直接兼容
诸如IDT和TI等一些半导体制造商都尝试提供可与WPC(Qi)和PMA标准兼容的芯片解决方案。 这些芯片可以识别线圈种类以及发射器或者接收器旁的收发器,并且传输能量可以在Qi或者PMA频率之间进行调整。
目前,这些标准由消费市场主导,并且局限于20W的解决方案。只有WPC提出过最大达到2.4kW,适用于例如无线厨房装置的应用。一旦200W,800W以及2.4kW建议规格得以明确,这些解决方案就不仅仅局限于厨房装置,还可用工业、医疗和消费市场的广泛应用。
除此之外,还有大量具有特定额定功率的定制化解决方案。主要的应用领域在于工业设备以及大型蓄电池充电。这些大多是小批量或中等生产量的感应解决方案,他们之间不可兼容,并且还需要他们自己独特的批准和认证。该文件没有探讨于专门用于汽车工业的电动汽车充电解决方案。
3. Qi 系统
WPC Qi标准是怎样的体系?小功率解决方案由发射器向接收线圈提供5W的电力。发射器与接收器之间通过特别的电力管理协议(图1)进行通信。在线圈间传递的电力频率范围为100至205千赫。接收器向发射器要求需要的能量,而发射器根据需求进行调整。电力管理系统监控和改变能量传输。如果接收器不再需要能量,系统会进入待机模式。半导体制造商提供设计者评估工具以及参考设计。比如说,这张图德州仪器提供的bq500211AEVM-210发射器电路板上有Würth Elektronik (760 308 111)的发射器线圈。

图1: WPC Qi 标准的原理
来源: 2012无线电力联盟
发射器与接收器线圈的属性对于达成低功率传输损耗至关重要。发射器与接收器线圈正确的选择与对齐是影响能量传输效率的主要因素。
图 2: 德州仪器(TI)提供的发射器电路板 bq500211AEVM-210
来源: Würth Elektronik 照片
图3: 根据WPC Qi 标准选择的发射器和接收器线圈
来源: Würth Elektronik
4. 线圈的主要因素
决定低能量传输损耗最佳解决方案的系列关键因素。
4.1. 线圈的放置
发射器与接收器线圈需要准确地对准以最小化损耗。侧面,倾斜和竖直错位尤为不利于能量传输。 (图。 4).

图4: 发射器与接收器线圈错位的类型
来源: 无线资源控制(RRC)电力解决方案的陈述
良好的耦合与最大能量传输取决于在发射器线圈磁场中接收器线圈有效范围的大小。另外,它还取决于z距离。如果接收器线圈与发射器线圈中心对位,并且没有倾斜、Z距离尽可能的小,那么传输损耗就有可能是最小的。 图一的耦合因素是最理想化的。这就意味着接收和发射线圈的传输的有效区域是相等的。
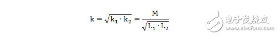
4.2. 耦合系数
为了补救错位损耗,设计具有高品质因素和耦合系数的线圈非常重要。 在传输和接收线圈间的耦合系数由以下参数组成:

L1 和L2是线圈的自感系数。M为线圈间的互感系数。 线圈的品质因素取决于电阻损失RL和电抗XL

铁氧体板上的空心线圈具有100到300间的典型品质因素。线圈电阻和导线欧姆电阻受多种因素影响。
4.3. 趋肤效应
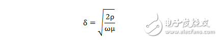
导体内部电流分布从中心到表面流动的现象称为趋肤效应。这种现象发生于带有交流电的导体中。趋肤效应取决于交流电的频率。当交流电的频率上升,则聚集在导体表面的电流密度增加。因此,高频交流电转移或者“迫使”电流靠近表面处。在这种情况下,导体中心的电流密度比表面低。趋肤深度δ可通过下列公式描述:

ρ 电阻系数
ω 角频率
µ 磁导率 (e.g.: 100)
趋肤深度测量方法是由导体表面到达的径向深度,50赫兹频率的穿透深度大约在10.4 毫米, 10 千赫在 0.73 毫米 , 100 千赫在 0.23毫米。 从这些计算中可以证明趋肤效应使导体中通过电流时有效截面积减小,从而使有效电阻变大。高电阻意味着高功率损耗。
在传输和接收器线圈中通过使用高频导线,趋肤效应能耗损失可显著减少。高频率导线由两股或者多股小截面导线组成的导线束构成。导线束中的每根导线都负责总电流的一部分。这可以帮助趋肤效应最小化,因而更多能量可以得到有效使用。
4.4. 邻近效应
另一个影响线圈能耗损失的因素是邻近效应。邻近效应导致导体在相邻侧电流集中或者转移电流,从而使导体都产生漏磁。多股线结构、绕线技术以及导线绝缘结构可以减少线圈中无用的涡流。
4.5. 损耗系数
无线能量传输受限于系统中的功率损耗系数。损耗系数公式为:

这个系数体现了所转化能量相关的所有损耗总合与传输能量数量之比值。 主要目的是尽可能的最小化系统的损耗系数。一旦发射器和接收器线圈配置得以优化,就可取得最小的损耗系数。然而,一般来说,损耗系数从本质上还是受系统品质因素和耦合系数的影响。

方程式显示产品的品质因素与耦合因素可作为判断系统品质系数(优值系数, FOM)的指标。较低的损耗因素,如因为低的耦合系数而造成,可以通过提高线圈的品质因素实现线性补偿。 (图5)

图5: 损耗系数与优值系数的关系图
来源: 无线充电联盟2012年
4.6. 磁场分布
另外一个对线圈效率产生影响的要素是磁场特性。磁场特性决定了对周围的不必要辐射。而对周围的不必要辐射又对系统效率有显著影响。
图6 显示在最佳耦合状态之下,传输和接收线圈的磁场强度与磁通密度

图6: 特氧体电感耦合线圈磁场强度和磁通密度的模拟图
来源: Würth Elektronik
显而易见,磁场被选择性地限制在线圈间的空间。实际上对周围并无影响。磁通密度的模拟图显示了铁氧体平板的影响。磁通量集中在铁氧体内。图7显示了传输线圈和接收线圈侧面错位(28%)情况下,磁场强度和磁通密度

图7:
来源: Würth Elektronik
由于这个错位,磁场以及磁通量主要被限制在两个线圈的整体结构中。Z方向上没有磁场的增加。可以推断出通过使用合适的铁氧体屏蔽,电感耦合中的磁场被限制在线圈间的区域,因此,不需要额外的屏蔽装置。
除此之外,Qi 标准的规则避免线圈错位所产生的巨大损耗。例如,当连接的能量传输效率将至低于70%,电力管理系统就会中止传输。只有在能量传输效率大于70%的线圈对位情况下,才能开始能量传输。
另外, WPC Qi标准还详细规定了传输线圈的几何形状以及材料。由于诸如传输线圈,电力管理系统和芯片等组件必须遵守标准,因此整个系统的协同工作能力得以保障。装置的Qi认证包括了独立测试实验室核查新产品与之前认证装备的协同工作能力。
目前Qi标准对于传输线圈有22个不同的设计规定。这些设计被分为两种规格。一种是包含有铁氧体缠绕线圈的设计。另外一种规格则由印刷有线圈的电路板或者混合解决方案。在每个规格中,线圈的分类取决于线圈数量(单一、排列)、尺寸、形状、电压和控制机制的种类(电压、负载、频率)。还有具有中心永久磁铁的线圈设计。永久磁铁意图将轻薄型的接收器自动与传输线圈中心对位。这种对位方式的缺点在于:线圈磁场中的永久磁铁严重影响系统的品质因素,这是由于在磁铁内部有涡流产生。而这些电流消耗有用的能量。
4.7. 标准线圈的改进和优化
可以通过使用高质量材料,设计高效的绝缘线束并且优化绕线技术以最小化线圈的寄生电阻。 这些方面的改进从根本上提升了系统的品质因素。 如此有效的线圈为工业或者医疗应用带来更好的性能。Würth Elektronik 提供的各类传输和接收线圈满足Qi要求,具有低直流电阻(RDC)和高品质因素。
5. 总结
当遵守明确定义的标准时,无线能量传输是最有效的。特别是在Qi标准里有对线圈能量传输产生积极影响的多种方法。 最佳线圈的选择,谨慎的系统设计以及清晰指导用户怎样在传输站放置装备的使用指南可赋予设备制造商的竞争优势。 从标准化主体来看, 更好的优化组合定义正在进行中,这将引领下一代系统性能改善。
然而, 传输和接收线圈在无线传输中还是关键组件,是整个系统效率的根本。
6. 文献
无线电力联盟: http://www.a4wp.org/technology.html
Elektroniknet.de: Peter Wambsganß and Prof. Dr.-Ing. Nejila Parspour HF Feld的电源 (德国) http://www.elektroniknet.de/power/power-management/artikel/1644/1/
电力事业联盟: http://www.powermatters.org/
RRC 电力解决方案: 研讨会: 电感能量传输的基础原理, Qi 标准和系统解决方案2012
德州仪器评估工具: http://www.ti.com/ww/en/analog/wireless_power_solutions/tools.htm
无线电力联盟: www.wirelesspowerconsortium.com/technology
Würth Elektronik: 电感远见的三部曲,2008
Würth Elektronik: 数据表760308111, 760308201, 760308106
Würth Elektronik: 无线电力线圈: http://katalog.we-online.de/de/pbs/WE-WPCC