时间:2016-05-12 09:53
人气:
作者:admin
工作人员以及资产的管理一直是办公场景中避不开的问题。看看市面上款式众多指纹打卡机就知道这个需求有多强烈。
不管员工乐意不乐意,管理者总是有强烈意愿想要了解其在工作时间内所处的位置。传统打卡或者指纹打卡的方式依靠员工主动行为,收集到的数据量小,仅能检测上下班的时间,分析价值低。另外由于行为数据少,数据也就容易造假。需要有一种综合的办法,简单可靠又数据详尽,甚至可以根据位置和时间数据来进行数据分析,评估员工一天的工作状态。
在某些特定环境中监测资产位置的需求同样强烈!比如说一些病房或实验室,经常会出现找某件仪器设备的情况。其实跟上一个场景很像,如果抽象一下,核心其实都是电子标签+传感器+云端定位的模式。电子标签佩戴在被监控物上,传感器感知标签后通过互联网上报具体数据至云端,云端完成定位及其后续业务逻辑。
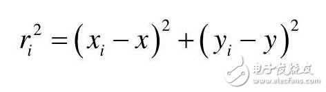
定位的基本过程
一般情况下,根据无线技术完成测距,就可以根据已知点BS1,BS2,BS3的坐标以及测距完成后确定的r1,r2,r3值求得被测试点E点的位置。这种过程叫三角计算。
对于RSSI(Received Signal Strength Indication)和TOA(Time of Arrival)两种测距原理的三角计算过程都是一样的,都是基于平面解析几何的公式:


(三角定位原理图)
不一样的地方就是测距的的技术原理:
RSSI方式字面上是指根据测试信号场强确定距离的定位方式, TOA方式指的是根据传输时延计算距离的定位方式。
1)由于无线信号传输符合衰减公式:

所以已知传感器接收到的信号强度P0和蓝牙标签发射的信号强度Pd,就可以根据公司计算出r。可以直观的看到下图

2)TOA方式字面上就是说时间抵达,也就是说根据传输时延计算距离的方法,公式如下:
ri=(ti-t0)c 根据被测试点E到3个基站的时间信号延时,乘以光速就可以得到距离r。
众所周知,由于传输或器件原因,信号频率越高传输中信号强度越不稳定, RSSI值的测量结果经常会无端变化,可以解释为噪声,这个噪声会影响测距的精度。所以相对于测量RSSI来说,TOA方式回避了射频信号的稳定性问题,不会因为遮挡而变化。比如戴上耳罩,你听到的声音音量会减小,但是只要在一个范围内,说话的内容都能正确解码。所以采用TOA方式的UWB技术定位精度高,时延(从标签移动到系统定位完成的时间)小。当前技术条件下定位时延蓝牙方式能做到500ms以内,UWB可以做到几个ms。
下一篇:基于低能耗蓝牙的半双工语音通信