时间:2015-08-18 09:17
人气:
作者:admin
0、引言
近年来,在高清电视的多屏合一,客厅娱乐中心等应用场景中,iPad、智能电视、OTT 机顶盒等越来越多地被消费者接受,虽然其业务形式还在不断发生变革和发展,而用户的最终接入方式无一例外均偏向于使用无线技术,一般目前比较常见的无线家庭接入技术采用的是WiFi,即IEEE802.11n,如歌华飞视、小米盒子、乐视电视等。最新的Apple MacBook Air 则采用了更先进的IEEE 802.11ac 使之吞吐量达到1Gbps 以上,接入点Airport Time Capsule 更使用了波束赋形技术,以Apple 这两个本年度力作为代表的下一代无线通讯方案均指向了多入多出多天线技术[1]。在下一代移动通信技术LTE 中,已经明确了多天线MIMO 技术作为其必选项,无独有偶的是,在广播电视无线覆盖中,由于高清、4K等高质量视频格式所要求的高的传输速率,在下一代地面数字电视广播标准中,也将MIMO 列为重要的技术方案。
MIMO 通过空时编码等技术,利用传播信道中非相关性,可以在不额外消耗频谱与时域资源的同时,成倍地提高通信系统的信道容量,即吞吐量。在传统的单天线通信系统中,尤其在移动通信系统中,信道中的多径被看做影响通信质量而需要用特别的技术进行处理,但在MIMO 系统中,这些具有非相关性的子径则可以在数学算法的帮助下,得以提高整个系统的性能,换句话说,MIMO 技术利用了传播环境中的空域、时域、频域等维度,将高速无线通信推向了一个新的级别。由于MIMO 终端其算法依赖于信道环境,也即智能地根据信道环境优化通信系统的性能,这使得信道模型成为其理论研究与实现的重要参考依据。
随之而来,对于最终的MIMO 终端性能测试与评估,无论是研发阶段,还是认证阶段,都强烈地依赖信道模型。传统无线终端一般利用空口测试(OTA,Over-The-Air)进行最终性能评估,OTA 是利用电波暗室建立一个无反射的自由空间,以便评估该无线终端的射频及天线的整体性能;然而,正如前文所述,为了评估多天线终端而提出的所谓 MIMOOTA 技术,则必须将信道模型在实验室中进行真实的复现,使MIMO 终端测试变得真正的可重复、可控制,由于这项技术的实现涉及到电波传播、信道建模、数字信号处理、优化算法、电磁场与微波等理论,这大大加深了其复杂性和专业性。
广播电视规划院从2011 年开始介入多天线测试方法的研究,在HWATECH公司的协助下,于2012 年至2013 年利用搭建的单簇法环境参加了国际比对测试,由于这个测试系统从软件到硬件的思路和理论都是由我们自己提出并组织实施的[39][40],因此对于多天线测试方法原理与实践的探索,广播电视规划院已深入到了底层。目前,我们所提出的一些验证方法和测试用例已被国际标准组织部分地采纳到其测试方案当中[41][42][14],结合我们两年多对多天线终端测试方法的实际经验及参与国际标准化进程的理解,本文将详细介绍MIMO OTA 相关的技术背景、测试方法和验证方法,以及广播电视规划院在此领域的研究进展等内容。
1、信道模型
1.1、信道建模
如前文所述,MIMO 终端的性能,最终被归结为基带算法与射频天线作为一个整体,在终端经历不同信道时,对时延、多普勒频移、空间相关性、极化信息的处理能力。这决定了MIMO OTA 的一个核心内容是对现实信道的重建工作。
信道建模是一个由来已久的科研领域,出于不同的目的,人们建立了各种各样的信道模型。图1 引用了[2] 中对信道模型的归类,比较全面地概括了信道模型的种类。在MIMO OTA 当中我们一般需要使用基于几何的随机信道模型(GSCM,Geometry based Stochastic Channel Model), 在大量的实际信道测量工作的基础上而建立的基于几何的信道模型,如SCM(E)[3][4], WINNER [5],及IMT-Advanced [6],经过试验和理论的验证,得到了广泛的认可和使用。

图1、信道模型的分类
GSCM 类信道模型的重要特点是可以将天线与传播环境分离[8],与此相反基于相关性矩阵的信道模型则无法将信道与天线特性分离,所以原则上无法用于重建测试终端性能的信道模型——但TGn 模型[7]虽然基于相关性矩阵,其中含有几何信息的描述,这使得在MIMO OTA 中复现TGn 变为可能。换句话说,在MIMO OTA 多探头方法当中,信道的重建是基于各来波特性进行合成,这些来波可以具有各自的时延、多普勒频移,到达角(AoA)、离开角(AoD)等,合成后将在终端天线单元阵列上体现出信道的空域相关性,及与信道几何特性相关的多普勒谱——芯片对这些信道特性的辨析与优化,最终将影响到终端性能。[3][4][5] [6] 均属于此类信道模型。
1.2、SCM 与SCME 模型
提到现代MIMO 信道建模,尤其是GSCM 信道模型,我们不得不提到3GPP SCM(Spatial Channel Model)模型[3]及欧洲WINNER(Wireless World INitiative NEw Radio)项目[5]。在2003 年3GPP TR25.996 描述的SCM 模型当中,传统的TDL(Tap Delay Line)模型被进一步解析为以簇来描述的CDL(Cluster Delay Line)模型。SCM 中定义了6 束来波,每一束被称为一个簇(Cluster),每一簇来波由20 个子径(sub-path)构成,每个簇除了定义了各自的AoD 和AoA 以外,还根据实际信道测试的结论,定义了水平面上的能量分布,如拉普拉斯分布,即角度功率谱(PAS,Power Azimuth Spectral),其方差被定义为角度扩展(AS,Angular Spread);同时,每一簇模型具有各自的AoA,AoD,时延,多普勒谱等特性。SCM 比较好地贴近了实测数据,并且能够从时域、频域、空间域及极化域反映MIMO 信道的特点,图2 中对SCM 模型的参数进行了简介[3]。

图2、3GPP TR 25.996 中信道模型及其参数
在3GPP TR 25.996 中的参数说明:
ΩBS:基站天线阵列的方向, 以地理北为参考方向,定义为其天线阵列的法线与北向的夹角。
θBS:基站与移动台之间的直射径(LOS,Line Of Sight)出发角(AoD,Angular of Departure),定义为直射径到基站天线阵列法线的夹角。
δn,AoD:第n(n = 1 …N) 径出发角AoD ,定义为与其与LOS AoD 的夹角。
Δn,m,AoD:第n 径的第m(m = 1 …M) 条子径相对δn,AoD的偏移量。
θn,m,AoD:第n 径的第m 条子径的绝对AoD,定义为其与基站天线阵列法线夹角。
ΩMS:移动台天线阵列的方向, 以地理北为参考方向,定义为其天线阵列的法线与北向的夹角。
θMS:基站与移动台LOS 与移动台天线阵列法线方向的夹角。
δn,AoA:第n(n = 1 …N) 径到达角AoA (Angular ofArrival),定义为与其与LOS AoA 的夹角 。
Δn,m,AoA:第n 径的第m(m = 1 …M) 条子径相对δn,AoA的偏移量。
θn,m,AoA:第n 径的第m 条子径的绝对AoA,定义为其与移动台天线阵列法线夹角。
v :移动台的移动速度矢量。
θν :速度矢量角,定义为移动台运动方向与天线阵列法线方向的夹角:θν=arg(v)。
随着通信技术的不断发展,带宽的增大提升了系统对信道时延的解析度,从而引起频域相关性的变化,原3GPP SCM模型中针对5MHz 带宽的CDMA 系统在2GHz 工作频率建立的信道模型显得有所不足,也就是说,对于带宽的提升,需要进行一些改进使得在信道模型中能够体现出带宽变化对信道相关性的影响。2005 年,由来自瑞士、德国、芬兰的信道研究者在[9] 中提出了向前兼容SCM 模型的扩展模型SCME,比较好地适应了新技术带来的对信道模型的要求。一般来说,系统的带宽越宽,可以看做其可辨识的时延径数越多,即信道模型中默认同一径所经历的是平衰落(Flat Fading),因此,对于SCM 模型定义的5MHz带宽下的6 径模型,SCME 模型通过将每一径扩展为三个径(Mid-Path),使得更宽带宽系统的信道模型能够体现出频率选择性衰落,或者说,增大了每根径的时延扩展。SCM、 SCME 及WINNER 信道模型之间的比较,可以参考文献[10]。
参考图2 的参数定义,SCM 模型信道冲击响应(CIR,Channel Impulse Response)在数学上可以如下推导,类似MIT老教授R.G. Gallager 在参考文献[11] 及David Tse 在参考文献[12] 中的阐述,一般来说,一个线性时变系统MIMO 信道的传输矩阵(冲击响应)可以描述为l 条径的冲击响应之和,即:
(1)
它是由收发天线阵列的响应矩阵Frx(RX),Ftx(TX) 及冲击响应矩阵hl 组成:
(2)
考虑到双极化,第l 径的信道冲击响应是一个2 ×2 的极化矩阵:
(3)
当我们使用到CDL 模型时,(3)式中的第l 径会以第n 簇中第m 条子径替代[8],进一步地,将第n 簇第m 条子径的发射天线单元s 到接收天线单元u 之间的信道建模表述为(4)式:
(4)
1963 年Bello 在[20] 中, 针对广义平稳非相关环境(WSSUS)前提下的时变冲击响应及传输函数、信道相关性函数之间的转换关系进行了研究,成为信道测量与验证的理论基础。
1.3、MIMO 信道参数
在本节中我们基于几何的随机信道模型的概念,介绍用于描述MIMO 信道特点的主要参数,它们是时延特性(PDP,Power Delay Profile),多普勒谱,空间相关性(Spatial Correlation),及信道的交叉极化比(XPR,Cross-Polarization Ratio)。由于这四个参数刻画了MIMO 系统在信道的频域、时域、空域及极化域的重要特性,被认为代表或涵盖了MIMO信道的主要特征,因此它们也被CTIA 及3GPP 采纳作为MIMO OTA 系统验证的四个主要参数[13][14][15]。
1.3.1、时延特性(PDP,Power Delay Profile)
对于一个线性时变的信道来说,信道的冲击响应虽然可以由其自相关函数来描述,但出于简化的目的,在大量的MIMO 信道测量过程中,常以时延功率谱来描述信号不同时延的能量分布,图3 是一个标准的SCM 城市宏小区(UMa, Urban Macro)信道模型的PDP谱。

图3、3GPP SCM UMa 时延特性
PDP 体现了信号经过不同传播路径后到达接收机端时,接收机能辨析出的不同时延情况,同时其时延扩展反映了信道的频率选择性衰落带宽,或者说决定了信道的相关性带宽。
1.3.2、多普勒谱
多普勒频移反映了因接收机相对于来波的移动方向与速度对所接收信号在时域衰落过程中受到的影响。1968 年R.H.Clarke 在参考文献[16] 对此有详细的阐述。所谓经典多普勒谱,即指Clarke 模型的“U”型谱。而在MIMO 信道模型中,由于每一径是由多根子径(Sub-Path)构成,每根子径都会对接收机信号的多普勒谱有所贡献,最终信道的多普勒谱将与各径到达角及其角度扩展有关。
信道模型中的多普勒谱实际上还反映了信道衰落的快慢,即快衰落或慢衰落,描述了信道的在时域的演进特性,同时决定了信道的相关性时间。
1.3.3 空间相关性
空间相关性集中体现了接收端天线单元之间的相关性,这种空域相关性在CDL 中描述的更为具体。在大多数基于簇的CDL 信道模型当中,每根径实际上已被簇替代,每一簇都具有独立统一的到达角(AoA),而每一簇中各子径具有细微不同的到达角偏移,如前文所述,子径在统计上的不同到达角的概率分布效应由信道模型中的角度功率谱PAS 来体现,依据实际测试的结果,PAS 的形状一般是靠近该簇AoA 时的能量(或说概率)大,远离AoA 时则小,SCM 模型中一种广为使用的分布模型是拉普拉斯分布,意味着各子径到达角在统计上的能量分布是以AoA 为中心对称的双边指数衰落。
参考[17] 基于PAS 与子径的到达角,Spirent 的Doug Reed 在参考文献[18] 中给出了一个关于两个虚拟接收天线单元之间空间相关性的数学表达式是:
(5)
而出于不同的描述目的,参考[19],Anite 的Pekka 在参考文献[8] 中也给出了空间相关性的数学表达式:
(6)
MIMO 多天线技术突出地利用空域非相关性以提高系统性能,因此,要评估MIMO 终端的性能,空间相关性的验证对于信道模型和MIMO OTA 来说都显得尤为重要。
1.3.4、信道交叉极化比
交叉极化比有很多种定义,比如有发射天线的XPR,也有接收天线的XPR,但目前在信道模型中使用的XPR 主要指的是纯信道的参数,也即3GPP37.977 中描述的:

其中:
SVV 是因信道的散射或反射得到的V 极化功率与入射时V极化功率之间的系数;
SVH 是因信道的散射或反射得到的V 极化功率与入射时H极化功率之间的系数;
SHV 是因信道的散射或反射得到的H 极化功率与入射时V极化功率之间的系数;
SHH 是因信道的散射或反射得到的H 极化功率与入射时H极化功率之间的系数。
XPR 与信道特性直接相关,同时也会受到信道模型中离开角AoD 的影响而不同,一般来说不会为1。在不同的信道模型下通常XPR 也不一样,如SCM UMa 中XPR 为8.31dB,而SCM UMi 中XPR 则为0.83dB,在WINNERII 不同场景的XPR 都不一样,反映了各种信道环境的特性。在终端的天线设计和基带算法设计当中,需要利用XPR 的不同做一些系统性能的优化。
在终端的狭小空间下要设计出非相关性较好的天线单元对,利用极化比是主要手段之一,从这个意义上说,用于MIMO OTA 的信道模型和测试方法应能控制信道的XPR,否则对于评估终端的性能将缺失重要的考量依据。Tommi 在参考文献[21] 中阐述了作为多探头MIMO OTA 测试方案,如何在测试区域中产生信道模型中需要的XPR。
2、MIMO OTA测试方法简介
2.1、MIMO OTA 各测试方案简介
在3GPP 37.977[15] 当中,有许多备选的MIMO OTA 测试方案,这些备选方案可以归结为4 类,分别由不同的公司主导或支持,本小节简要介绍37.977 中提到的这些方案的构建方法,并引用了其中的部分图例(在2013 年11 月3GPP 的一次会议当中,由R&S 主导的分解法暂时未被列入37.977 正文)。
2.1.1、基于多探头(Multi-Probes)的测试方案
这种测试方法利用暗室(AC,Anechoic Chamber)消除电波的无用反射,基站模拟器(BaseStation Emulator)的信号通过信道仿真器(CE,Channel Emulator,有时也被称为衰落模拟器Fading Emulator)经历预定义的信道模型后,通过若干对准被测物(DUT,Device Under Test)中心的双极化天线(即多探头),经空间辐射传播到DUT,使之经历所需要的信道衰落,观察并记录其吞吐量表现。其中一个典型的实现方式如图4 所示。
图4、暗室中基于多探头的测试方案
目前,虽然有很多公司都生产、设计信道仿真器,但全球只有英国Anite 及美国Spirent 公司提供的信道仿真器可以支持本方法描述的MIMO OTA 测试,他们完成了信道模型的重建及暗室内通过多探头系统进行的空间域信息的重构,因此可以说,在这个方法当中,信道仿真器成为了整个测试系统的核心。而诸如法国SATIMO 及美国ETS-Lingen 公司则对整个测试系统提供了软件支持及系统集成服务——他们依靠在传统OTA 认证测试中建立的技术及系统经验,很早就预见并启动了MIMO OTA 的研发工作,但只有当信道仿真器在技术上取得突破之后,整个系统构建才变得清晰起来;同时,在各国也有一些支持该方案的本地系统集成商,如日本 Microwave Factory,韩国MTG,国内HWA-TECH 等。系统集成商一般将完成暗室、多探头天线、功率放大器、射频线缆、射频开关及测控软件的设计与实施,与信道仿真器协同工作,此外,系统集成商还应当提供系统校准与最终系统的信道验证服务等。
多探头方案需要在整个球面(3D,3 维信道模型)或水平面(2D,2 维信道模型)建立多个探头以模拟各个方向(簇)的信号到达角及其角度扩展;如果要实现3D 信道模型,需模拟垂直方向上的信号到达角及其角度扩展,系统则更加复杂,同时每个双极化探头需要连接两个独立的信道仿真器物理通道,这意味着多探头系统的成本将显著高于其他方案,而实践证明其校准和测试复杂性也同样高于其他方案。在带来昂贵与复杂性的同时,多探头的优点也同样显而易见的,这种方法理论上能够完全可控地再现信道模型,其信道验证结果也证明了数学模型的预测,这个测试方法未来将可能升级发展成为真正的虚拟路程(VDT,Virtual Drive Test):将终端经历的外场环境在实验室里可控地再现,不仅仅是认证测试的需要,同时是芯片、终端研发人员改善新技术、新算法的必由之路。
后文将主要讨论基于多探头的方法技术细节,并介绍广播电视规划院所开展的研究工作。
2.1.2、基于两步法(2-Stage)的测试方案
两步法最早由美国安捷伦(Agilent)公司的中国实验室提出,并一直不断坚持并完善着他们最初的设计理念。所谓两步法,意思是在第一步当中通过某种方法,获取到终端的天线方向图,在第二步当中将获取得到的天线方向图数据导入基带信道仿真器当中,然后对DUT 进行传导测试,以便考量其基带芯片及天线的整体性能,其典型实现如图5 所示。

图5、基于两步法的测试方案
从理论上说,两步法与多探头方法是类似的,都是将DUT 置于模拟的几何信道模型当中,这些信道模型可以是来源于标准模型,也可以是自定义的,只不过多探头方法是通过构建物理暗室及多探头,用信道仿真器在实际空间中重现信道模型,而两步法则是将测得的天线方向图放进基带信道模拟器当中通过软件仿真的方法对DUT 施加衰落影响。
目前,全球只有美国Agilent 公司在主推这种测试方法,图4 暗室中基于多探头的测试方案并得到了美国高通公司的支持——在两步法中,通过芯片获取天线的方向图是至关重要的一步,因此该方法目前要求芯片必须提供这种测试模式。相比于多探头的方法,两步法的好处是不需要另外构建多探头系统,相对地降低了投资成本和测试时间成本。然而这种方法通常会受到的质疑是:测量一个被测件的性能结论,其一部分测试数据依赖于被测件本身内部芯片的报告,这意味着测试者必须额外对芯片进行置信度评估;另一方面,对于未来类似波束赋形(Beamforming)等通过实时改变天线方向图而改善终端性能的新技术,两步法目前暂时还无法支持。而现实的情况是,诸如Apple 公司2013 年新上市的无线网桥产品“Airport Time Capsule”,已经声明支持MIMO 中的波束赋形技术[1]。
2.1.3、基于混响室(RC, Reverberation Chamber) 的测试方案
混响室的概念与暗室正好相反,后者尽量避免信号在传播到DUT 之前经历反射,而前者则通过各种方法使信号在混响室内部尽量多地经历反射之后再传达到终端,以便使DUT经历所谓的瑞利信道,目前至少有两个公司在 3GPP 37.977中声称提供了自己的实现方案,见图6 及图7。
图6、基于混响室的测试方案

图7、基于混响室的测试方案
Bluetest 公司的奠基人是来自瑞典Chalmers 理工大学的Per-Simon Kildal 教授,他在天线设计的过程中,很早就开始尝试将混响室应用于天线性能测量。他们早期将RC 测量方法于传统单天线的设计,然后开始应用于MIMO 天线,并做了很多新的定义[22][23],最近几年当中Per-Simon 与他的博士生陈小明逐渐提出并完善了在混响室中进行有源多天线终端吞吐量测试的方法,即基于RC的MIMO OTA方案[24]~[27]。类似的,西班牙Emite 公司的David Sanchez 领导的研究小组同样在天线设计的过程中使用RC 的方案进行MIMO 天线与终端的测试,并提出了他们的一些新的思路。在这几年国内的客户试用过程中,Bluetest 公司通过商业运营在产品适用性建立了不错的口碑。
无论对于无源单天线还是无源多天线,单独使用RC 进行天线测试一般是基于RC 自身和参考天线的效率,对于真实终端的有源测试,可以认为RC 营造了一种瑞利信道的条件,瑞利信道是在单天线终端时代就已提出的概念,而我们从MIMO 信道模型可以看到,宽带的MIMO 信道模型在时域、频域、空间域乃至极化域都有了解析,由单独RC 建立的内部瑞利信道既无法反映不同径的到达时延,也无法控制不同径的多普勒色散,更无法控制各径的到达角,只能给出最终信号幅度服从瑞利分布的一个统计模型。为了解决精确描述时延特性等问题,RC 曾经考虑使用加入吸波材料引入额外的时延,但这种方法可控制性比较差,而且由于吸波材料的引入将改变K 因子,会使得测量不确定度扩大[27]。
在这种情况下,一个混响室与信道仿真器的升级方案——RC+CE——就被提出来,简单一点说,信号在进入混响室之前,通过信道仿真器加入时延与多普勒频移,用以弥补原单一RC方案的不足。这种方法虽然一定程度上解决了RC 在模拟信道模型中时延与多普勒时遇到的问题,但在引入信道仿真器的同时也弱化了原单一RC 在经济性上的优势,同时对于角度扩展、到达角等空间域的信息,由于混响室自身的固有条件限制,仍暂时无法描述。但正因不需描述空间信息,混响室方案的测试速度得以加快,且由于其测试过程中进行了统计平均,使得测试结果显得稳定,而与此同时混响室方案对MIMO 系统在空间相关性的验证能力,尤其是极化鉴别能力大幅下降,在美国摩托罗拉公司Istvan 做的一个实验中RC 被证明完全无法鉴别终端的极化性能[28]。
2.1.4、基于分解法的测试方案
由德国R&S 倡导的分解法MIMO OTA 方案,其思想来源于德国RheinMain 大学的W. L. Schroeder 教授及其博士生冯一飞[29]。其示意图见图8。

图8、基于分解法的测试方案(德国R&S 公司)
分解法曾经被称为两通道法,意即在测试过程中,有两个发射天线将基站模拟器的信号发送给DUT,DUT 在水平面旋转,而两个探头在垂直面上同时动作,他们首先遇到的一个问题在于DUT 测试位置(角度)与发射天线位置的选择。
此外,R&S 的工程师声称此方法区别于多探头全环法,在于“分解法是一种3D 的测试方法,而多探头全环只做水平面2D 测试”,然而实际上,首先他们曲解了3D 信道模型的概念,另一方面,即使是分解法,在同一时刻,两个发射天线与DUT实际上是在同一个平面之上。
在3GPP RAN4 的2013 年11 月一次会议当中,该方法未被列入正文。
2.2、多探头方案国际研究动态与演进
从测试方法的角度上,对于基于信道仿真器与暗室、多探头的方案,来自各国的研究者各自独立地上做过大量的研究:芬兰Pekka Kyösti 在参考文献[8] 中详细阐述了多探头方案的原理,其中包含两个信号合成方法:平面波合成(WFS, Wave Field Synthesis)与预衰落合成(PFS, Pre-Faded signal Synthesis);美国Spirent 公司John Douglas Reed 在参考文献[30]中阐述使用MIMO OTA 的方法对空间相关性进行重现;丹麦Aalborg 大学Gert Pedersen 教授带领他的团队与Intel 公司合作,自行搭建了暗室、多探头和测试软件,对SCME 等信道模型下LTE 终端的测试方法进行了研究,并对多探头方案的系统配置和验证给出了测试结果[31]~[33];美国Apple 公司Matt A.Mow 等人对终端在MIMO OTA 测试过程中与传导测试中的一致性比较方法进行研究,并申请了专利[34]。芬兰原赫尔辛基大学Tommi Latinen 等对平面波合成的多探头数量进行了研究[35] ;日本松下公司与东京理工大学的研究证明了使用信道模拟器和多探头的方法能够产生准确的射频信道模型,从而利用可控的空域相关性对MIMO 信道容量进行研究变为可能[36],他们同时也给出了系统设计以及校准流程的建议[37];英国Anite(前芬兰Elektrobit)公司很早就展开了MIMO OTA测试可行性的研究,将仿真和实测结果与参考模型特性进行了对比,结果表明在大多数情况下OTA 与参考模型具有很高的一致性,证明了在暗室中可以产生所需的无线信道传播特性[38]。
从信道模型的角度上,2000 年开始,基于射线的多天线信道模型就开始从Tap Delay Line 向Cluster Delay Line 过渡,2003 年3GPP TR 25.996 中定义了SCM,欧洲WINNER 项目进一步推动并细化了基于几何的随机信道模型GSCM 的发展。目前,虽然各个MIMO OTA 方案都在声称自己的优越性,但一个不争的事实是,多探头的信道模型是早于MIMO OTA方案就被工业与学术界认可,而其他几个测试方案一方面对于电波传播与信道模型涉及不多,另一方面都在将自己的测试结果与多探头系统看齐。
大约从2008 年开始,全球范围内有三个关注多入多出信道测试、建模以及MIMO OTA 测试的学术与标准化组织,分别在各自的范围内对以上技术和论题展开交流和讨论,他们是:
1 。 欧洲COST (European COoperation in Science and Technology)下的COST2100 及其后继者IC1004
2. 北美CTIA(Cellular Telephone Industry Association)
3.“ 第三代合作项目”(3GPP)
目前在COST IC1004、3GPP 和CTIA 的讨论中出现的几种MIMO OTA 测试方法中,笔者认为基于信道仿真器与暗室多天线探头的方案,能够对SCM 信道模型中所定义的,MIMO 系统性能所依赖的角度扩展AS(Angle Spread),时延扩展DS(Delay Spread) 等信息进行控制和重现。其他的方案,如,混响室测试方案可以实现快速测试,但无法控制并还原角度扩展等对多天线系统性能有重要影响的信息,所以只能对终端提供有限的性能评估;而两步法可以利用原SISO 的微波暗室,减少投资,但需要被测设备能够支持测试模式,对于未来的波束赋形等新技术目前也还无法支持;分解法不再保留原来的信道模型的概念,使用统计的方法估算MIMO 系统性能,测试数据与真实环境的对应关系也缺乏数据的支持。
然而,多探头测试方案的终极目标是实现3D 信号模型,这一方面需要暗室和天线探头数量足够多,另一方面要求信道仿真器提供足够的物理通道,使得多探头的3D 方案造价昂贵,很难一步到位。一种循序渐进的方法,是以单簇法作为一个起点,化整为零地建立一个可升级的多探头系统。引用3GPP 37.977 中的描述,图9(a) 描述的是多簇法,而(b) 描述的则是单簇法。

图9、多探头测试方案:多簇法与单簇法
简而言之,在目前广泛使用的2D 全环法多簇测试方案中,可以考察终端在不同的信道时延特性、多普勒谱、空间相关性和交叉极化比下的性能特性,但由于信道模型限制在水平面范围内,所以无法描述来自垂直方向上的来波对终端性能的影响;类似的,在单簇法中,同样可以考察终端在不同的信道时延特性、多普勒谱、空间相关性和交叉极化比下的性能评估,但由于限制在单簇范围内,所以无法描述来自不同簇的来波;从这个意义上说,全环法的多簇,与单簇测试方法,都是多探头3D 方法的一种折中方案。
3、ABP的工作进展
广播电视规划院(ABP)从2011 年开始介入了多天线终端测试方法的研究,目前主要建立了单簇法的多探头MIMOOTA 测试系统,不仅对各个部件做了验证[39],而且对整个系统的最终信道模型做了验证,并于2013 年开始参加了CTIA组织的比对测试[40]。本节将主要介绍这方面的内容。
3.1、ABP 单簇法MIMO OTA 系统
广播电视规划院的单簇法实验室连接示意图见图10,这个方案最大的特点是由原来的常规单天线终端OTA 测试暗室(ETS AMS8600)改造而来,暗室的尺寸见表1。由于不需要另外搭建暗室,不仅使得系统建造的成本大幅下降,也同时免去了另建暗室寻址时的麻烦。在这个单簇法MIMO OTA 技术平台上,包含信道验证在内的大部分多探头系统的基本研究得以推进。

表1、ABP 暗室数据

图10、广播电视规划院(ABP) 单簇法MIMO OTA 测试系统
通过特别的设计,该系统可以在MIMO OTA 与常规OTA测试之间进行转换,这种转换需要2 个人花大约5~10 分钟的时间,见图11,因此系统能够兼顾常规天线/ 终端OTA 测试与多天线终端的MIMO OTA 测试。
图11、单簇法MIMO OTA 与SISO OTA 测试环境的切换
3.2、系统及各部件的验证
3.2.1 暗室特性变化
如前文所述,ABP 的单簇MIMO OTA 在SISO 暗室的基础上组建,通过在暗室内安置的天线支撑件,可以在短时间内进行两种测试模式的切换,但相比于原SISO 暗室,增加的组件可能会影响暗室的特性,因此我们依照CTIA 的要求,在两种环境下进行了纹波测试,分别完成了自由空间下的30cm半径与50cm 半径静区在两个频点的比对,结果见表2 及表3。

表2、SISO 暗室的纹波测试比对验证(30cm 静区)

表3、SISO 暗室的纹波测试比对验证(50cm 静区)
测试结果表明扩展不确定几乎没有太大变化,增加天线支撑架后进行SISO OTA 测试的暗室环境的扩展不确定度仍然满足CTIA 小于2 的要求。
3.2.2、信道仿真器特性及信号漂移
作为核心部件,信道仿真器的特性极大地影响着整个系图10 广播电视规划院(ABP) 单簇法MIMO OTA 测试系统统的不确定度,我们需要知道信道仿真器设置及输入信号对于输出信号的影响程度;同时,信道仿真器作为一个有源设备,取决于内部部件的质量,其输出信号的幅度与相位均可能会随环境(温度、湿度)发生不同程度的漂移,如果漂移情况严重,信道仿真器将会对整个系统的不确定度产生影响。
我们在两个工作日分别做了不同的输入功率下,一分钟内信号仿真器的输出信号幅度与相位的变化测试,最恶劣的结果记录在表4 中,此外对两个工作日的输出信号做横向比较,以便了解长期情况下,其信号的漂移情况。根据测试结果,推荐的操作是:进行MIMO OTA 测试时,应维持基站模拟器的输入功率不变,根据信道仿真器设置,推荐输入功率的范围如下:

表4、信道仿真器的输入设置对系统稳定性的影响
(EIL-20) ≤INPUT ≤(EIL+CE) (7)
也即输入功率应该尽量接近期待功率(EIL),其变化范围最小应大于设置的期待功率20dB以上,最大则不能比设置的期待功率的峰均比(CF)更大,否则系统的不确定将增大。对于信道仿真器的信号漂移,在符合式(7)的情况下,表5 的测试结果证明信道仿真器输出信号的幅度漂移不超过0.1dB,相位变化不超过1.5 度,因此我们可以认为信道仿真器在整个测试过程中是较为稳定的。

表5、信道仿真器信号漂移研究(长期)
3.2.3、功率放大器特性及信号漂移
用于补偿路径衰减的功率放大器其通道数与信道仿真器相同,其特性同样对整个系统的不确定度产生影响。通常,功率放大器需要有30 分钟的预热时间,在这段时间内,其输出信号幅度可能有0.5dB~1dB 的变化,30 分钟后输出将趋稳,因此我们推荐整个系统的预热时间一般在30 分钟,之后再做所有其他的验证或测试工作。
在开始测试之前,必须获取功率放大器的线性工作区间,我们对所用到的功率放大器进行了四个频点不同输入功率的测试,其增益测试结果见图 12,从图中可以看出输入功率大于-30dBm 时将逐渐进入1dB 压缩点,因此我们所有后续工作中,将使得功率放大器的输入功率控制在-30dBm 以下。

图12、功率放大器的增益及线性范围
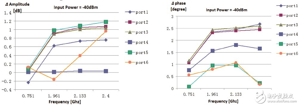
功率放大器的长期信号漂移是描述对应于实验室在两个工作时段,这决定了实验室是否能够在几周甚至几个月时长内,沿用同一个校准数据。我们的摸底测试是在两个工作日,对功率放大器分别重新启动、预热30 分钟之后,输入设置统一分别设置为-40dBm(线性区间之内),测试功率放大器的六个通道,在不同的频率点的输出信号幅度与相位的差异值,测试结果见图 13,测试结果表明两次测试功率放大器最大的信号幅度漂移可能超过1dB,相位漂移则相对较小,这意味着系统在不同的工作时间,测量不确定可能会由于功率放大器的信号漂移而大幅增大,因此我们建议系统应该进行日常校准工作,即校准文件需要经常进行更新。
功率放大器的短期信号漂移是描述对应于某一次测试过程中,如40 分钟,输出信号的变化,我们记录到40 分钟最大的信号幅度变化在0.1dB 以下,这证明在同一次测试过程中,功率放大器的信号漂移不会对系统测试结果产生影响。

图13、功率放大器各通道的信号漂移(长期)
3.2.4、多探头之间的耦合情况
对于多探头系统,天线探头之间的互相耦合可能会影响到测试结果,这种影响的评估在尺寸较小的暗室配置中显得更为重要,在ABP MIMO OTA 单簇法系统中使用到了3 个双极化的天线探头,我们分别对3 个天线的两种极化做了测试,测试结果见图14,测试结果表明最大的耦合发生在3 号天线的垂直与水平极化之间,在1.2GHz 约为-18dB,其他耦合一般小于-30dB。

图14、暗室内天线探头之间及各极化方向的信号耦合情况
3.3、信道模型的验证
作为系统信道环境重建成功与否的重要确认,在正式开始测试之前,无论是何种测试方法,均应当对暗室/ 混响室内部的信道模型做一个完整的验证。广播电视规划院对单簇模型的信道验证结果在参考文献[40] 中有详细的介绍,PDP、多普勒频移和空间相关性验证的结果见图15、表6 及图16。

图15、ABP 单簇法信道模型的验证:时延特性

表6、多普勒扩展的验证结果

图16、ABP 单簇法信道模型的验证:空间相关性
3.4、测试区域内的信号功率与SIR 验证
在目前的MIMO OTA 针对吞吐量测试,必须对测试区域内的参考测试信号功率(RS-EPRE)及SIR 值进行验证,否则不同实验室之间的测试数据无法进行统一和比较。参考文献[41]、[42]、[43] 中列举了测试功率及SIR 的定义和验证方法。
广播电视规划院的单簇MIMO OTA 系统的信号功率与SIR 验证结果在参考文献[39] 中已列举,摘录如下:在测试区域中的RS-EPRE 的计算值与实际测试值之间差异为-0.34861 dB ;在UMi、UMa/A、UMa/B 信道模型下,测试区域中的SIR 目标值与实际测试值之间的差异分别为-0.28dB,-0.58dB 及-0.47dB。
3.5、实际测试结果
在CTIA 开展的第二轮比对测试当中,广播电视规划院利用建立的单簇法MIMO OTA 测试系统对送样的3 类天线及其终端进行了测试,测试结果表明单簇法可以很好地将3 个终端进行区分,不同的信道模型对终端吞吐量的影响也清晰可辨(图17) 。

图17、ABP 单簇法实测结果
4、结束语
在本文当中,以多探头方案为主介绍了各种多天线终端的测试方法,并阐述了信道模型及其验证在多天线终端的性能评估方案中的重要意义,对以单簇法为代表的多探头方案在系统校准、信道验证、测试方法等细节进行了详细的论述。
中国的4G 牌照已于2013 年12 月4 日发放,多天线终端和MIMO 技术将逐渐成为主流,与此同时,随着国家地面数字电视的推广和高清多屏互动的应用,以802.11ac 为代表的WiFi 多天线技术也将进入普通家庭。在这个背景下,MIMO OTA 作为保障用户体验的终端性能评估方法,其研究和演进必然对整个无线通信行业及多天线技术的发展产生重要影响。
下一篇:RFID中国市场应用形式多样