时间:2012-07-20 15:45
人气:
作者:admin
引言
BH1417是FM无线发射芯片,它可工作于87MHz~108MHz频段,与简单的外围电路配合使用,可发射音频FM信号,它可以将计算机声卡、游戏机、CD、DVD、MP3、调音台等立体声音频信号进行立体声调制发射传输,配合普通的调频立体声接收机就可实现无线调频立体声传送。适用于生产立体声的无线音箱、无线耳机、CD、MP3、DVD、PAD、笔记本电脑等的无线音频适配器。
BH1417的原理特性
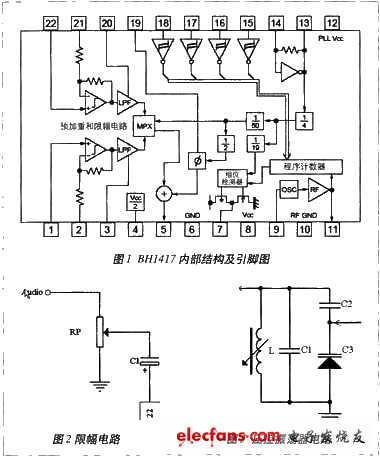
FM发射电路采用稳定频率的锁相环系统。这一部分由高频振荡器、高频放大器及锁相环频率合成器组成。调频由变容二极管组成的高频振荡器实现,高频振荡器是锁相环的VCO,立体声复合信号通过它直接进行调频。高频振荡器由第9引脚外部的LC回路与内部电路组成,振荡信号经过高频放大器从11引脚输出,同时输送到锁相环电路进行比较后,从第7引脚输出一个信号,对高频振荡器的值进行修正,确保频率稳定。一但超过锁相环设定的频率,第7引脚将输出的电平拉高;如果低于设定频率,它将输出的电平拉低;相同的时候,它的电平将不变。

1) 将预加重电路、限幅电路、低通滤波电路(LPF)一体化,使音频信号的质
量比分立元件的电路(如BA1404、NJM2035等)有很大改进。
2) 采用锁相环锁频,并与调频发射电路一体化,使得发射的频率非常稳定。
3) 采用了4位拔码开关进行频率设定,可设定14个频点,使用非常方便。
BH1417的内部结构如图1所示。它由5部分组成:音频预处理电路(加重、限幅和低通滤波);基频产生电路(晶振、分频);锁相环电路(相位检测、锁频);频率设定电路(高低电平转换);调频发射电路。外围电路主要有拔码开关组成的频率控制电路、压控振荡器组成的载波产生电路、定时器以及一些耦合电容。
应用电路
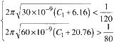
音频输入端的限幅电路设计
BH1417音频输入有最大电平限制,过大的输入电平会损坏芯片。在前期的试验阶段,输入音频电平幅值具有不可预测性,为了保护芯片,需对输入音频信号进行限幅处理。限幅电路很简单,利用可变电位器即可。电路如图2所示,图中电容的作用是将音频信号耦合到芯片中,同时有隔直流功能。
压控振荡器参数设计
结合BH1417频点可知,压控振荡器的频率变化范围必须覆盖芯片的所有频点。考虑到通用元器件的精度和加工工艺水平,这里适当放宽频段,以保证芯片能正常地锁住频点。假定频带为:80MHz~120MHz。压控振荡器的电路如图3所示。L采用普通的磁芯可调式电感,电感量标称值为(30 nH~60nH);变容二极管的电容随偏置电压的变化而改变,其极限范围为(7pF~35pF)。为了保证电路的稳定性,C2与C3值不能相差太大,这里假定C2取51pF,C3范围取为7 pF~35pF。下面确定C1的值。由式(1)、式(2) 可知电感L、电容C3均取最小值时,压控振荡器取得最大振荡频率,反之,取得最小频率。

合并式(1)、(2),得:

其中,C2,C3串接后电容范围为:6.16 pF~20.76pF,将L、C3的极限值代入式(3),整理后有:

上式中C1的单位是pF。计算得:45.27通过上面计算可知,各元器件的值并不是唯一的,这里只是演示计算的思路和方法。希望能为设计电路提供理论参考。
FM发射电路设计
立体声信号通过1、22引脚输入,配合2、3、20、21这几个引脚外部的阻容组合,完成立体声信号的低通滤波、预加重和调制,调制后的复合信号通过5脚输出。15、16、17、18引脚输入的频率代码经过解码和鉴相后,由7脚输出PLL振荡器的控制信号VCO。此VCO控制外部由分立元件组成的高频振荡电路,产生FM调频的载波信号,并通过一个达林顿三极管2SD2142对5脚输出的复合立体声信号进行FM频率调制。调制后的信号通过9脚输入到BH1417,经过内部的射频放大器放大后的射频信号由11脚输出。输出后的信号可以直接接到发射天线上进行发射,或者输入到射频功率放大器进行放大后发射,以扩大发射距离。13、14脚需要外接7.6MHz的晶体振荡器,提供给BH1417内部的鉴相、立体声信号调制等部分所需要的稳定时钟。


综上可得BH1417无线发射芯片的典型应用电路,如图4所示。用户可以通过改变拨码开关JP1的闭合与断开来设置发射频率(具体如表1所示),以避开可能存在的区域内强广播电台的干扰。
结语
BH1417在很多产品中都可以应用,但其外围电路设计与控制的原理基本相同,本文介绍的设计方案经过实际应用,可以保证BH1417正常工作,其压控振荡器与射频部分设计可以被借鉴或直接应用。
下一篇:后3G时代的LTE技术介绍