时间:2010-12-14 10:38
人气:
作者:admin
针对传统视频传输重建图像质量低的问题,提出了一种H.264码流传输的新方案。在信源端,根据H.264码流重要性差异,将其分为两部分。采用MIMO信道传输视频信号,在保持总发射功率恒定的情况下,在两根天线上动态分配发射功率。仿真结果表明,在同等信道条件下,提出的方案有效提高了接收端的重建图像质量。
0 引言
近年来,随着高速宽带无线技术的发展与应用,无线视频通信正成为人们广泛关注的领域。如何显著提高无线通信系统中的频谱效率,以满足日益增长的通信容量的需求,成了世界范围内广泛关注和急需解决的问题。多输入多输出(MIMO)技术通过增加发射端和接收端的天线数量,可以有效缓和上述矛盾,该系统在发送端和接收端同时采用多元天线阵列以获得空间复用和分集增益,空时码(STC)则充分挖掘MIMO系统容量,是改善整个系统误码性能的有效手段。另一方面,H.264/AVC作为新一代视频压缩编码标准视频,由于其高的编码效率和良好的网
络亲和性,受到了国内外学者的广泛重视。因世MIMO技术与H.264/AVC的结合将大大提高无线视频通信的可靠性。
1 H.264的码流分割
H.264的码流采用网络抽象层(NAL单元)封装,每个NAL单元具有特定的数据类型,它包含一个字节的NAL单元头和一个原始字节序列载荷,其中由 NAL单元头信息中的NRI的指来指示当前NAL单元的重要性,其值越高表示该NAL单元越重要,在H.264NAL层语义中,用nal_ref_ idc来指示当前NAL的优先级。
基于这种思想,针对AnnexB数据格式下的H.264码流,序列中的I帧或IDR帧(立即刷新帧)、SPS(序列参数集),PPS(图像参数集)这类数据,其nal_ref_ide值为3,表示其所在NAL单元重要性级别很高,该类数据一旦丢失会对视频重建造成致命影响,因为I帧为帧内编码模式,它用作 P帧的参考帧,因此只有保证它的准确传输才能确保图像的完整解码,SPS和PPS为解码必须参数,它的丢失势必对图像造成致命影响。基于以上考虑,本文的码流分割方式为:对视频图像的重建起到重要作用的I帧(或IDR帧)、SPS,PPS的数据作为一类数据,对该类数据采用较高级别保护;余下为二类数据,采用低级别保护,并在此基础上设计出不等差错保护方案以提高重建图像的质量。
2 空时块编码(STBC)
空时码是为了实现MIMO系统信道容量而提出的一种高可靠性信道编码。它根据信道特性,有效地综合了发送分集、接收分集、纠错编码和调制等技术,能够以较低的发送功率实现较高频谱效率的通信,可以达到逼近MIMO信道容量的性能。与不采用空时编码的系统相比,在相同频谱资源条件下,空时码可以获得更优的抗误码性能。
空时编码系统不仅提供了全分集增益,也提供了编码增益,且具有线性的检测复杂度。为简便起见,且不失一般性,本文采用一个2发1收的STBC系统,该系统也是目前最为经典的一种空时码,它不仅提供了全分集增益,也提供了编码增益,且具有线性的检测复杂度。此方案也是目前最为经典的一种空时码,其编码结构为

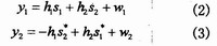
接收天线上连续两个时隙对应的接收信号可表示为
式中,h1和h2分别为两根发射天线到接收天线的信道衰落系数,w1和w2为加在接收天线上的复高斯白噪声,均值为0,方差为N0。可通过最大似然译码准则完成检测。
3 基于功率分配的H.264空时编码方案
3.1 功率分配策略
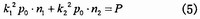
假设系统的总发射功率为P,有n根发射天线,并且每根天线上的发射功率为P0,因此有
为了实现不等差错保护,针对2发1收STBC系统,假设天线1传输高优先级码流,对它分配较大的发射功率,设分配系数为k1,(k1>1);天线2 传输低优先级码流,对其分配较小的发射功率,设分配系数为k2,(k2<1),为了保证系统的总发射功率P不变,则分配的系数k1,k2应当满足以下关系式
式中,n1,n2为每个时隙两根天线上传送的符号个数,在空时传输中有n1=n2;因此
式(6)即为空时系统中两根发射天线的功率分配关系式。
3.2 基于功率分配的H.264空时编码方案的算法实现
假设两根发射天线上传输的码字矩阵如式(6)所示,首先将待传输符号s1、s2分别乘上功率分配系数(k1或k2),然后送入空时分组编码器进行正交空时编码,最后经发射天线传输出去,由空时系统一般传输模型(Y=HS+W)可得,接收信号可以表示为


4 仿真结果及分析
为了验证提出方案的优越性,采用空时编码系统与H.264编码器的级联模型,并与传统的2发1收STBC正交空时系统做比较,所有的调制符号均选自BPSK星座。信道为准静态瑞利衰落信道,噪声为加性复高斯自噪声。测试中,天线1传送高优先级码流,天线2传送低优先级码流。本文用 Eb/No的大小表示传输系统的信噪比(通常Eb/No表示一个比特的信号平均能量与噪声的平均功率谱密度之比)。测试序列为“Fo-reman”序列,图像格式为QCIF,编码模式为IPPP,帧率30f/s;用X264编码器生成H.264源文件。利用重建图像的平均PSNR值作为衡量图像质量的指标。
4.1 误码性能曲线比较
图1给出了k1=1.3时,提出的基于功率分配的STBC系统的误码性能与传统2发1收STBC正交空时系统的误码性能对比。由图可知提出方案中天线1的性能优于传统STBC系统,而天线2的抗误码性能略低于传统STBC系统。由于天线1传送的是高优先级码流,其抗误码性能的提高势必会提高重建图像质量。因此提出的方案可以在不提高系统总发射功率前提下,提升高优先级码流的抗误码性能,显然,这一结果与理论推理一致,从而验证了改进方案的合理性及优越性。

4.2 重建图像主观效果对比
图2从主观视觉效果上给出两种方案的比较。当Eb/No=18dB时,两种方案下第十六帧重建图像如图2所示:图2(a)为原始图像,图 2(b)为改进方案下的重建图像,图2(c)为传统(2,1)STBC方案下的重建图像,通过对比可知本方案的重建图像质量比传统(2,1)STBC方案好。

5 结束语
为了解决传统无线视频传输中重建图像质量低的问题,本文提出了一种基于功率分配的H.264空时编码方案,此方案将H.264码流按重要性不同分为两部分,在保持总发射功率恒定韵情况下,在两根天线上动态分配发射功率以提升高优先级码流的误码性能,进而提高重建图像质量。仿真结果表明,与传统STBC系统相比,提出的方案获得了较好的重建图像质量。