时间:2010-11-22 09:40
人气:
作者:admin
0 引言
CMMB(China Mobile Multimedia Broadcasting,中国移动多媒体广播)是国家广电总局于2006年10月24日颁布的移动多媒体广播行业标准。该标准规定了广播业务频率范围内,移动多媒体广播系统广播信道的帧结构、信道编码和调制方式。CMMB系统的物理层采用正交频分复用(OFDM)调制方式,该方式可有效抵抗由多径效应所引起的频率选择性衰落,但对频偏却十分敏感。频偏会破坏OFDM系统的正交性。从而引起载波间干扰(ICI),因此,接收机需要对载波频偏进行估计并纠正。为此,本文针对CMMB接收机解调芯片的小数倍子载波跟踪算法进行了分析。
1 CMMB信号模型及载波频偏分析
在CMMB系统中,一个OFDM符号可由IFFT产生。时域中的OFDM符号可用下式表示:

其中,X(k)是第k个子载波正交幅度调制(QAM)或相移键控(PSK)符号,N是OFDM符号子载波数,Ts为符号周期,1/Ts是子载波频率间隔。在CMMB接收端,对AWGN信道下变频后的信号r(m)可以表达为:
其中,△f是归一化到子载波间隔(1/Ts)后的频偏,△ψ为相位偏差,n(m)是AWGN。频偏表示为△f=△fi+△ff,△fi是△f小数部分四舍五入后的整数,△ff∈[-0.5,0.5]是其小数部分。本文所要提出的是在接收系统进入跟踪阶段后的小数倍频偏△f的估计算法。
2 小数倍子载波频偏估计
频偏分为整数倍频偏和小数倍频偏,接收机首先在时域中对小数倍子载波频偏进行估计,以恢复子载波间正交性,在此基础上再进行FFT变化后到频域中进行整数倍子载波频偏估计。至此系统就可完成频偏捕获,然后进入跟踪阶段。本阶段再由导频处理模块进行小数倍子载波频偏跟踪估计,本文主要对导频处理模块进行研究。图1所示是粗载波频偏估计及恢复结构图。

2.1 算法分析及硬件实现
由于OFDM系统中同一个时隙(timeslot)内的各个OFDM符号的连续导频的内容和其所处的子载波位置都是相同的,故可利用FFT之后前后相邻的两个OFDM符号内的连续导频来进行频偏估计。
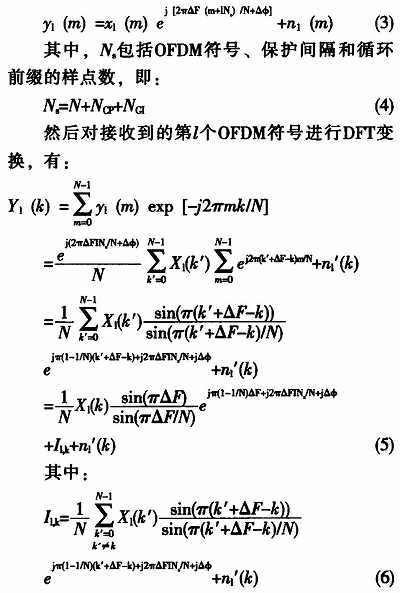
现在对相邻的两个频域OFDM符号(即第l和第l+1个符号)进行分析。通常第l个OFDM符号可以表示为:

式(6)表示由于ICI的存在,第l个OFDM符号的第K个子载波所受到其它子载波信号的影响。
对于相邻的第l和第l+1个频域OFDM符号(且这两个OFDM符号在同一个时隙中)中的连续导频,应有如下关系:
其中,Np表示OFDM符号中连续导频的个数。这样,当频偏△F较小时,ICI影响值Il.k可以忽略。若不考虑噪声影响,那么,根据式(5),其接收端收到的相邻的第l和第l+1个频域OFDM符号中的连续导频则有如下关系,
再对该两个符号中的连续导频取共轭相关,即:

由于该算法是利用前后相邻的频域OFDM符号的连续导频序列来进行频偏估计,所以,该算法可以消除频率选择性衰落信道的影响。
由式(10)可以看出,该算法的估计范围为
在CMMB帧结构中,每个OFDM符号均插入了连续导频,且每一个时隙内的53个OFDM符号中的连续导频数据均对应相同,则式(10)中有:
CMMB中每个时隙有53个OFDM符号,因此,每个时隙可以计算52次频偏,这样就可以更好地进行载波频率跟踪。图2所示是载波频偏跟踪模块的硬件结构图。

图2中的SRAM大小为82x20bit,可用于存储前一个OFDM符号内的82个导频数据。载波频偏跟踪模块用于接收连续导频数据。它针对第一个OFDM符号不作运算,82个连续导频可直接存入SRAM。当接收到下一个OFDM符号的导频时,可将该导频与SRAM中相对应的导频做共轭相乘,同时更新,即用新的导频数据覆盖掉SRAM中相对应的导频;然后再将乘积进行累加。当累加次数达到82次时,可对该和求相位,再乘上系数4096/(9264π),从而得到小数倍频偏估计值
2.2 系统级联仿真
图3所示是码率下CMMB接收机的最终性能曲线。信噪比SNR越大,误比特率BER越小。实际上,根据CMMB协议的要求,在星座映射方式为QPSK的情况下,当SNR≥2.7 dB时,需满足BER≤3x10-6;而在星座映射方式为16QAM的情况下,在SNR≥8.6 dB时,需满足BER≤3x10-6。
由图3可知,将导频跟踪模块级联到CMMB接收机后,其性能即可满足协议对系统的要求。

3 结束语
本文提出了一种针对CMMB接收机解调芯片的小数倍子频偏跟踪估计算法。在CMMB解调芯片中,该算法能较好地对频偏进行跟踪估计,从而使系统载波恢复环路稳定工作,保证信号的正常解调。本文提出的载波频偏估计算法经适当的参数修改后,也可适用于其他OFDM系统,而且具有一定的通用性。
上一篇:无线局域网要怎样进行加密
下一篇:RFID无线自动感应式车位锁