时间:2009-10-21 15:45
人气:
作者:admin
雷达成像近似二维模型及其超分辨算法
现有的雷达成像超分辨算法是基于目标回波信号的二维正弦信号模型,所以模型误差,特别是距离走动误差,将使算法性能严重下降或失效.为此,本文采用距离走动误差下的一阶近似雷达成像二维信号模型,提出了一种基于非线性最小二乘准则的参数化超分辨算法.在算法中,距离走动误差补偿与目标参量估计联合进行.文中同时给出了算法估计性能的Cramer-Rao界及仿真结果.
关键词:距离走动误差;补偿;超分辨;雷达成像
A Super Resolution Radar Imaging Algorithm Based on the 2-D Approximate Model
SUN Chang-yin,BAO Zheng
(Kay Laboratory for Radar Signal Processing,Xidian University,Xi’an 710071,China)
Abstract:The recently proposed super resolution radar imaging algorithms,which are based on the 2-D sinusoid signal model,often suffer from the motion through resolution cell error(MTRC) and failed completely.In this paper,an algorithm is proposed based on the 2-D approximate radar imaging model.By minimizing a nonlinear least-squares cost function,the algorithm combines the parameter estimation with the compensation of MTRC errors.The Cramer-Rao bounds are derived and simulation results are also presented to demonstrate the performance of the algorithm.
Key words:motion through resolution cell error;compensation;super resolution;radar imaging
一、引 言
雷达成像基于目标的散射点模型.雷达通常发射长时宽的线频调(chirp)信号,然后用参考信号对回波作解线频调(dechirp)处理,再将解线频调的回波作横向排列,则在一定条件下它可近似为二维正弦信号模型,通过二维傅里叶变换,可以重构目标的二维像;采用超分辨算法[1~3],还可得到更精细的二维目标像.
应当指出,上述二维模型是假设散射点在成像期间不发生超越分辨单元走动,近似认为散射点的移动只影响回波的相移,而子回波包络则固定不变.这种近似,只适用于小观察角时参考点附近有限小尺寸目标成像.
如果目标较大,特别是在离参考点较远处,越分辨单元移动(MTRC)便会发生,从而使得用简单二维模型获得的图像模糊.传统解决的方法是按目标转动用极坐标-直角坐标插值.插值不可避免地会有误差,而超分辨算法通常基于参数化估计,对误差较为敏感,这会影响成像质量.
本文介绍一种近似度较高的二维模型,并利用该模型通过超分辨算法成像,可获得较好的结果.
二、维回波模型
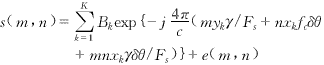
设目标有K个散射点,雷达以平面波自下向上照射目标(图1).目标以参考点为原点相对雷达射线转动,经过N次脉冲发射,散射点Pk点移至P′k点,移动中第n次脉冲时该散射点的垂直坐标为:
ykn=yk+Δykn=xksin(nδθ)+ykcos(nδθ),n=0,1,…,N-1 (1)
式中δθ为相邻脉冲的转角,总观测角Δθ=(N-1)δθ.考虑到雷达发射的是长时宽的线频调信号,以原点为参考作解线频调处理,并对信号以 的频率采样,得目标的回波信号(离散形式)为:
(2)
式中Ak为第k个散射点子回波信号的复振幅;fc、γ分别是雷达载频和调频率,c为光速;e(m,n)为加性噪声.

|
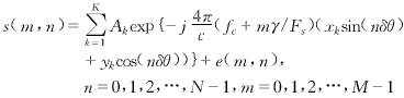
图1 二维雷达目标几何图 由于观测角Δθ很小,取近似sin(nδθ)≈nδθ和cos(nδθ)≈1,则式(2)可近似写成:
式中
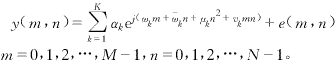
式(4)与式(3)相比较,指数中增加了两项,其中前一项是“多普勒移动”项,纵坐标yk越大,影响也越大,这可以补充式(3)之不足;而后项是时频耦合的多普勒移动项,由于Mγ/Fs< 需要指出,每个散射点的参数之间存在下述关系:ωk/μk=2γ/Fsfcδθ2和k/vk=fcFs/γδθ.由于雷达参数(fc,γ,Fs)和运动参数(δθ)均已知,所以待估计的五个参数中只有三个是独立的.本文假设五个参数是独立的,而在成像计算中已考虑参数之间的关系. 三、二维推广的RELAX算法 Y=[y(m,n)]M×N 则 设ξk估计值为 式中‖.‖F表示矩阵的Frobenius范数,⊙表示矩阵的Hadamard积. 即假定{i}i=1,2,…,K,i≠k已经求出,则式(7)C1的极小化等效于下式的极小化: C2(ξk)=‖Yk-αk(aM(ωk)bTN(k)Pk)⊙Dk(vk)‖2F (9) 令: Zk=YkP-1k⊙Dk(-vk) (10) C3=‖Zk-αkaM(ωk)bTN(k)‖2F (11) 对上式关于αk求极小值就获得αk的估计值k: k=aHM(ωk)Zkb*N(k)/(MN) (12) 从式(12)可以看出:是Zk归一化的二维离散傅里叶变换在{ωk,k}处的值,所以只要得到估计值{k,k,k,k},即可通过2D-FFT获得k. 由上式可见,对于固定的{μk,vk}取值,估计值{k,k}为归一化的周期图|aHM(ωk)Zkb*N(k)|2/(MN)主峰处的二维频率值.这样,式(13)的优化问题归结为:在(μk,vk)平面上可能的取值范围内寻找一点{k,k},在该点处周期图|aHM(ωk)Zkb*N(k)|2/(MN)的主峰值比其余各点处的主峰值都大.所以,我们通过上述二维寻优获得{μk,vk}的估计值{k,k},再由式(13)得到{ωk,k}的估计值{k,k}. 四、数值模拟 表1 二维信号的参数估计、CRB及与均方根差的比较 |

| 2.SAR成像模拟 雷达参数为:中心频率f0=24.24GHz,调频率γ=33.357×1011Hz/s,带宽B=133.5MHz,脉冲宽度tp=40μs.四个点目标作正方形放置,间隔50米,左下角的点作为参考点.雷达与目标间隔1公里,观察角Δθ=3.15,数据长度为128×128.采用FFT成像方法时,其纵向和横向距离分辨率为ρr=ρa=1.123米,防止MTRC现象发生所需的目标最大范围为[4]:纵向尺寸Dr<4ρ2r/λ=40米,横向尺寸Da<4ρ2a/λ=40米.采用常规超分辨方法时,目标尺寸Dr=Da>10米则出现明显的性能下降.图2、图3分别给出了RELAX方法及本文推广的RELAX(Extended RELAX)算法的成像结果.可以看出,由于目标远离参考中心,已在横向和纵向出现距离走动,采用常规超分辨的RELAX算法产生图像模糊,对于本文算法,则得到基本正确的成像结果.图4和图5则比较了RELAX算法和推广的RELAX算法的散射点强度估计结果,可以看到,RELAX算法由于距离走动影响,散射点(除参考点以外)的强度降低.对于本文算法,散射点强度接近真实值. |

|
图2 距离走动误差下的RELAX成像结果 |
图3 距离走动误差下的 |

|
图4 RELAX方法估计的信号强度推广RELAX成像结果 |
图5 推广RELAX方法估计的信号强度 |
| 五、结束语 现有的雷达成像超分辨算法是基于目标回波信号的二维正弦信号模型,所以仅适用于目标位于参考点附近很小区域时的情形.当目标远离参考点时,模型误差,特别是距离走动误差,将使算法性能严重下降或失效.为此,本文提出一种基于雷达成像近似二维模型的超分辨算法,从而扩大了超分辨算法的适用范围.本文进一步的工作包括SAR实测数据成像及ISAR机动目标成像,结果将另文报道. 附 录:参数估计的C-R界 y=vec(Y) (A.1) 式中vec(X)=(xT1,xT2,…,xTN)T,向量xn(n=1,2,…,N)为矩阵X的列向量.我们将式(5)改写为如下向量形式: (A.4) 式中表示Kronecker积,Ω=[{[P1bN(1)]aM(ω1)}⊙d1…{[PkbN(K)]aM(ωK)}⊙dK],α=(α1,α2,…,αK)T. 令:η=([Re(α)]T[Im(α)]TωTTμTvT)T (A.6) 式中ω=(ω1,ω2,…,ωK)T,μ=(μ1,μ2,…,μK)T,=(1,2,…,K)T,v=(v1,v2,…,vK)T. CRB(η)=[2Re(FHQ-1F)]-1 (A.8) |
上一篇:超高速雷达数字信号处理技术