时间:2009-03-24 08:37
人气:
作者:admin
直接变频技术长期以来一直被誉为通讯领域的"圣杯"。很显然,任何承诺减少元器件数量并且降低成本的新体系结构必定很诱人。然而,事情从未这样简单。超外差体系结构能够在中频(IF)滤除宽带噪声、镜像和杂散分量,直接变频发射机却没有这么多功能。无线发射机的体系结构长期由超外差式所主宰。随着半导体工艺技术的进步和对通信设备小型化、低功耗、多功能需求的不断增加,基于正交调制的直接正交上变频技术DQUC(directquadratureup-conversion)得到了迅速发展。
直接变频是把基带信号直接调制到射频载波上的一种最直接和最简单的调制方式。基于正交调制的直接正交变频技术DQUC能够直接将基带信号搬移到射频载频并消除无用的边带信号,以实现调制。其突出优点是不要中频放大、滤波、变频等电路,同时放宽了对变频器后滤波器的性能要求,甚至可以不需要滤波器,从而极大地减小了发射机的体积、重量、功耗和成本。但这项技术也存在很多缺点,如正交调制信号和正交本振信号相位和幅度的不平衡,对直流偏移失真非常敏感等,因此导致严重的边带和本振泄漏[1]。
2 直接正交变频技术分析
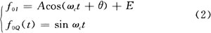
其中I(t)和Q(t)是正交基带调制信号,f0(t)是射频本振信号,fRF(t)是已调射频信号。电路工作时,f0先经移相器移相产生正交本振信号f0I(t)和f0Q(t),然后分别与正交基带信号I(t)和Q(t)相乘后作代数(加或减)运算,抵消无用边带信号,输出想要的边带信号fRF(t),从而实现单边带调制。
理想情况下,正交调制信号I(t),Q(t)和正交本振信号f0I(t),f0Q(t)的幅度和相位分别完全平衡,且不存在直流偏移。因此,DQUC输出的RF信号fRF(t)是一个理想的单边带信号,不存在边带和本振泄漏问题但在实际情况下I(t),Q(t)和f0I(t),f0Q(t)信号总是存在幅度和相位的不平衡及直流偏移误差。
为了便于分析问题,我们定义基带信号如下:
上式中G,φ,D分别为I(t)和Q(t)信号之间的归一化幅度比、正交相位误差和直流偏移误差。我们定义载波信号如下:
上式中A,θ,E分别为f0I(t)与f0Q(t)信号之间的归一化幅度比,正交相位误差和直流偏移误差。
理想情况下,A=G=1;φ=θ=0;D=E=0。
DQUC的输出信号为如下:

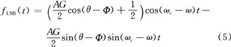
上式中上边带已调信号fHSB(t)为:

式中下边带已调信号fLSB(t)为:

式中泄漏的本振信号fc(t)为:
式中低频分量为:
其中的低频分量可以用LBF(低通滤波器)加以消除。
(1)载波泄漏分析
实际上在设计中我们可以调整使A→1,G→1
从上面导出的结论中,我们显然可以看出,fc(t)主要是由I(t)和Q(t)信号存在的直流偏移(DC Bias)引起的。所以我们在电路设计时,对于信号I(t)和Q(t)的传输最好采用交流耦合,以减小或消除直流偏移,从而减小或消除本振信号的泄漏。
(2)边带抑制分析
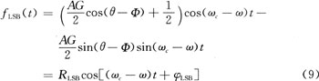
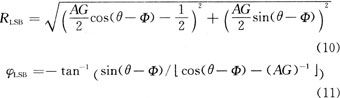
由式(3),式(4),式(5)得:

其中:

DQUC的边带抑制能力通常用边带功率抑制比(PSPR)来定量表示,也就是想要的边带信号功率和需要抑制的无用边带信号功率的比值,即:
考虑到正交本振信号是由正交调制器内部的分相网络产生的,其正交相位差φ很小,近似等于0,所以,上式可以简化为:
用Matlab软件对上式进行仿真计算分析,可以得出PSPR,AG和φ三者之间关系,如图2~图4所示:
当正交幅度比AG→1,正交相位误差φ→0,即幅度和相位趋向平衡时,PSPR很大;当AG逐渐偏离1,正交相位误差φ偏离0,即幅度和相位的不平衡度增大时,PSPR急剧下降;当AG→0.9,正交相位误差φ为10时,PSPR仅有二十几个dB,边带泄漏已非常严重。显然,正交变频器对正交调制信号(包括正交本振信号)幅度和相位平衡度的要求非常严格。
在实际电路中,AG的调节较为方便,通过严格地调测可以使AG→1。但由于现有集成电路工艺水平的限制和电路布线、布局的影响,把正交相位误差限制在2°以内已非常困难。即在实际电路优化设计时,保证PSPR≥35 dB比较困难。
3 直接正交变频发射机设计
直接变频发射机由直接正交上变频调制器、高稳定度本振和功率放大器三部分组成。
I和Q是二路正交数字基带信号,由DSP产生,然后经过高速双通道TxDACAD9760变为模拟I/Q信号。模拟I/Q信号分别通过脉冲成形和抗码间干扰升余弦根低通滤波器后送入直接正交上变频器AD8346,被直接调制到射频载波上并送入后级射频功率放大器放大,最终通过天线辐射。
AD8346是ADI公司推出的高性能调制器,他将90°移相器、乘法器、合成器集成在一块硅片上,其载频范围0.8~2.5 GHz。单边带抑制范围在1.9 GHz达到-36 dBc(典型值),调制带宽高达70 MHz[3],供电范围2.7~5.5 V。可典型应用于数字信号产生系统,QPSK,GMASK,QAM及频率综合器等。
电路工作原理为从DSP得到的I、Q正交信号经过高速双通道TxDACAD9760变为模拟I/Q信号。模拟I/Q信号分别通过脉冲成形和抗码间干扰升余弦根低通滤波器后送入直接正交上变频器ADN346,被直接调制到射频载波上并送入后级射频功率放大器放大,最终通过天线辐射。
直接变频发射机对无用边带和本振泄漏的抑制能力除了与I(t),Q(t)和f0I(t),f0Q(t)信号的相位和幅度的不平衡度及其直流偏移有关外,还与PCB的板材、电路及其参数的优化设计、布局、布线等因素有很大的关系。为了抑制无用边带和本振泄漏,主要采取了以下几项优化设计措施。同时,调试时的方法也很重要,更要仔细认真。
(1)I(t),Q(t)信号传输采用差分线与交流耦合方式,消除了I(t),Q(t)信号之间的直流偏移误差。利用外接线性可变电阻器调节AD9760内两个DAC的电流源的电流幅度比,也就是间接调节I(t)和Q(t)信号的幅度比A,以此去补偿正交本振信号的幅度比G的偏差,使AG→1,从而减小正交调制信号和本振信号的幅度不平衡度[4]。由于需要多种调制方式,我们在DSP里面调用不同的调制程序,但在调试时,首先用连续的正弦波调试,同时,仔细观察频谱仪。
(2)对正交相位误差的校正采取的措施是DAC后的抗码间干扰低通滤波器LPF选用具有很好的相位和幅度匹配特性配对的集成电路。其次,I(t)和Q(t)信号的布局和布线采用了对称或差分结构,基本上可以把I(t)和Q(t)信号的正交相位误差限制在2°之内。另外,AD8346内的本振信号分相器也存在一定的相位误差,因此,在电路实际调试过程中,可以将两个LPF的互换,用正交调制信号的相位误差对消正交本振信号的相位误差。
(3)由于本振输入信号和RF输出信号的频率通常都很高(1 575 MHz),所以,本振信号输入端采用了50 Ω微带线和传输线变压器,以实现阻抗匹配和不平衡与平衡变换;RF信号的输出采用50 Ω微带线和SMA接头,以实现阻抗匹配和射频信号接口。
4 实际测试结果
实际设计时正交直接上变频器我们采用载波为1 575.42 MHz,同时兼顾多种调制模式。实际的测试结果为边带抑制比:-38 dBc;载波泄漏:-36 dBc;
测试结果为:
最大输出功率:37.5 dBm@1 575.42 MHz;载波泄漏:-32 dBc;边带抑制比:-35 dBc。
5 结 语
从分析可知正交直接变频技术对调制信号和本振信号的正交性要求很高,对其幅度和相位失真非常敏感,如果解决不好,将会引起严重的边带和本振泄漏。本文通过数学模型定量分析和仿真了正交直接变频技术的调制信号和载波信号幅度和相位失真与边带和本振泄漏之间的关系,并且由实验和经验提出了几项具体的解决措施。同时正交直接变频技术可用于发射AM,QAM,2BPSK,QPSK和GSM,CDMA,WCDMA等多模式信号的小型化发射机。该发射机与传统发射机相比,体积和重量大大减小,非常适合用于移动通信设备和微小型武器系统。
上一篇:自供电载波监测器电路图