时间:2009-10-20 16:50
人气:
作者:admin
袖珍通讯机用天线的设计和制作
袖珍通讯机由于体积小,重量轻,使用方便等优点而被广泛应用于社会各部门,这种机器现在广泛应用一种螺旋天线,一般成品螺旋天线都用导电性能良好的金属线绕成并密封好。其工作原理下:
图1 所示一般天线结构示意图。D是螺旋天线直径,L是螺旋天线长度,ρ是螺距,Ⅰ、Ⅱ是螺旋线上相对应两点。
一般可以认为,电磁波沿金属螺旋线以光速C作匀速运动。
从Ⅰ点到Ⅱ点即进行一个螺旋,所需时间为
t = πD/C
而对螺旋天线而言,其轴向电磁波只运动行进了一个螺距ρ,其轴向等效速率
υ=ρ/t =ρ/C (πD)
这种关系也可用图2形式解释。由图2可知:
υ=Csinθ=Cρ/(πD)≤C
由上式可以看出,υ总是小于等于C的。故螺旋天线能使电磁波运动速度减慢,是一个慢波系统,其等效波长λ等效小于工作波长λ。对于螺旋天线而言,应谐振于其1/4等效波长,因而能缩短螺旋天线的几何长度。
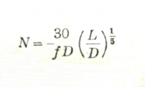
对于工作于一定中心频率的通讯机来说,其所需绕的线圈数N可以由下式近似算出:

螺距:υ=L/N
所需金属线长度:ι=NπD
对于一般通讯机可取
L=20~40cm
D=10~20mm
下表是对一些常用频率螺旋天线的设计实例,其他频率也可类似设计。
f是工作中心频率;
D是螺旋天线直径;
L是螺旋天线长度;
N是螺旋圈数;
ι是所需金属线长度。
以上N、ρ为了实际制作需要均取近似值。
制作时可用直径0.5~1.5mm漆包线或镀银铜线或铝线在直径为D的有机玻璃或其他绝缘材料上绕制,并在棒的两头打上小孔,以利于固定金属线;在棒的底端焊上较粗的金属杆或插头固定在棒上,以利于与机器连接;整个螺旋天线的外面可用橡胶管或其他材料套封,并在顶端盖上橡皮帽或用其他材料密封,这样既美观大方,又防雨防蚀,经久耐用。如果没有上述金属丝,也可采用多股细绝缘导线代替,效果相同,只是绕制时固定较为困难。
以上螺旋天线也可用于各种小型遥控设备及其他类似机器上。
为了比较慢波天线与常规拉杆天线的不同,说明慢波天线尺寸较小的优点,我们可对拉杆天线作一计算。
设定参数如下:
频率f=27MHZ
波速c=3×108M(注:108应为10的8次方)
天线应谐振于1/4工作波长,则按公式可计算拉杆天线的长度:
L=1/4λ=1/4 c/f=1/4(3×108/27×108)=2.78m(注:108应为10的8次方)
按照上面的表格,可知如果使用螺旋天线,中心频率为27MHZ的慢波天线,其外观长度仅40cm,尺寸约仅为拉杆天线的七分之一。
李 樾 于二000九年二月
附图:

附表:


上一篇:宽带平面螺旋天线的研究与设计
下一篇:微带天线RCS计算