时间:2025-08-07 17:09
人气:
作者:admin
绝缘栅双极型晶体管(IGBT)在电机驱动和电器控制等多种工业领域中广泛应用。IGBT在具有更低的开关损耗的同时,还要同时具备一定的抗短路能力。短路时,如果发生短路振荡(SCOs)现象,IGBT的抗短路能力会大幅下降。如果振荡幅度过大且短路振荡的VCE电压范围过宽,还可能带来EMI危害。因此,优化IGBT的短路条件下的SCOs是非常重要的。
一般而言,IGBT元胞的设计对SCOs的影响相对较小,不同的背面FS层和P+发射极设计会改变IGBT的pnp晶体管的双极电流增益系数αpnp,对IGBT的SCOs影响较为明显,可通过优化背面设计避免SCOs发生。
如图1,假设器件的TJ保持恒定,所需的栅极驱动电压为VGE。图1输出曲线VCE=300V和500V时,IGBT cell部分区域(10um-110um)的电场强度和载流子密度的垂直分布情况如图 2 所示。图中包含三个特征区域:准等离子体区、空间电荷区和等离子体区。FS区域内存在的高电场强度是由于漂移区存在负效电荷导致,暂时无需考虑。

图 1 VGE=15V,TJ = 301K下,1200V IGBT 的输出特性曲线
VCE = 300 V(红色),VCE = 500 V(黑色)

图2 VCE=300V(红色),VCE=500V(黑色)时,图1中输出特性曲线中电场强度、电子(实线)和空穴(虚线)密度的垂直分布示意图
用TCAD对图3所示的电路进行SCOs工况仿真,结果如图4所示。

图 3 IGBT瞬态短路TCAD 仿真电路

图4.TJ=301K,RG=0Ω,Lσ =LG=LE=0H,VGE=15V 时,VDC分别为300V 和500V下的集电极电流的瞬态仿真示意图(红色为300V,黑色为500V)
对上述短路振荡的机制分析如下:
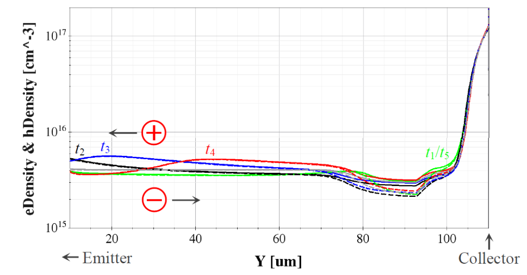
图4标注的五个时间点的垂直电荷载流子密度分布如图5所示。在 t1 到 t3 之间,电子和空穴基本上存储于器件内部。在 t2到t3之间,电荷-载流子-等离子体浪涌逐渐形成并向前推进,大约在t5时刻到达FS区域。浪涌处会释放出电子和空穴。这种在器件内部周期性存储和释放电荷载流子以及电场强度分布的周期性变化是高频短路振荡发生的根本原因。

图5所示放大区域中不同时刻电子(实线)和空穴(虚线)密度的垂直分布情况及相应的准稳态分布(灰色)
如图1中的输出特性所示,沟道电流 ICH 通常在相对较低的 VCE 时达到饱和。空穴电流则从低 VCE 到高 VCE 逐渐增加。这种现象的解释如下:集电极侧高场区域的扩展随 VCE 增大而增大。如图2所示,这导致p 型发射极前方的等离子体区域变小且等离子体梯度增大。因此,集电极处注入的空穴电流IC,pnp和αpnp 增加。沿着输出特性曲线,SCOs从较低的 VCE 开始出现,并随着VCE和αpnp的增加而最终消失。αpnp可以用下式计算:
αpnp=(IC-ICH)/IC=IC,pnp/IC (1)
p 型发射极剂量的的影响
当VG =15V且TJ=301K 时,不同 p 型发射极剂量的输出特性如图 6 所示。发射极剂量对空穴注入和αpnp的影响在VCE=250V之前最为显著。图7比较了VCE=200V 时漂移区的电场强度和电荷载流子密度的垂直分布。提高的 p 型发射极剂量,p 型发射极前方剩余等离子体的范围和最大水平增加;在 FS 前的漂移区中,电场强度略有增加,在 FS 区域中则略有降低。αpnp和集电极电流peak-to-peak幅度的计算值如图 8 所示。随着 p 型发射极剂量和αpnp的增加,SCOs发生的电压范围和振荡幅度都会减小。

图6 VGE=15V且TJ=301K 时的不同P型发射极剂量 dpem 的输出特性(dpem1(黑色)2·dpem1(蓝色)和 5·dpem1(红色))

图7 15V且TJ=301K 时,不同 p 型发射极剂量dpem电场强度、电子(实线)和空穴(虚线)密度的垂直分布情况

图8 基于图6计算得出的αpnp,直流电压为50V至700V范围内,不同p型发射极剂量dpem下的peak-to-peak-集电极幅值
FS层剂量的影响
当VG =15V且TJ=301K 时,不同FS层剂量下的输出特性如图9所示。在 VCE>50V时,FS层剂量对空穴注入以及对 αpnp 的影响显著。如图10,比较了VCE=200V 时漂移区的电场强度和电荷载流子密度的垂直分布。降低FS层的剂量,p型发射极前方剩余等离子体的范围减小。图10 中给出了αpnp以及集电极电流的振荡幅度。随着FS层剂量的降低和αpnp的增加,SCOs出现的VDC范围向更低的电压侧移动,同时SCOs的VDC电压范围和集电极电流的振荡幅度都在减小。

图 9 E=15V且TJ=301K 时不同FS层剂量dfs的输出特性(dfs1(黑色),0.8·dfs1(蓝色)和 0.6·dfs1(红色))

图10 VCE=200 V,VGE=15V且TJ=301K时,不同场截断剂量dfs下电场强度、电子(实线)和空穴(虚线)密度的垂直分布情况

图11 基于图9计算得出的αpnp,VDC 电压为50V至700V范围内VGE=15V且TJ=301K时不同场截剂量dfs下的peak-to-peak-集电极幅值
结温的影响
当VGE=15V 且TJ不同时,输出特性如图 12 所示。温度的变化会同时影响空穴电流和沟道电流。在图13中,比较了 VCE=200V 时漂移区绝对电场强度和电荷载流子密度的垂直分布。 p 型发射极前方剩余等离子体区域的范围随着结温的升高而减小。不仅SCOs VDC 电压的范围及振幅随TJ的变化降低,而且在较低 VCE 时αpnp也会随着TJ的变化而降低(图14)。这可能是由于随着TJ的增加,电荷载流子迁移率的降低所导致的。

图12 VGE=15V时不同结温TJ输出特性(TJ=240K(蓝色),TJ=301K(黑色),TJ =450K(红色)

图13 VCE=200V,VGE=15V下,不同结温 TJ下电场强度、电子(实线)和空穴(虚线)密度的垂直分布情况

图14 基于图9计算得出的αpnp,VDC 电压为50V至700V范围内VGE=15V情况下不同结温 TJ下的peak-to-peak-集电极幅值
结论:
电子和空穴密度的垂直分布揭示了SCOs是由IGBT内部电荷载流子的周期性存储和释放所引起的。通过背面设计措施(包括在短路运行条件下增加αpnp)可以降低SCOs的强度。当αpnp值足够大时,可以完全避免SCOs现象,但随之IGBT的漏电流、关断损耗也会增加,热短路稳定性变差,因此需要考虑SCOs和其他参数的折中。对于较高的结温,SCOs现象会减少。
龙腾半导体SGT MOSFET LSGT085R018在智慧农业无