时间:2023-07-15 09:05
人气:
作者:admin
提高功率密度已经成为电源变换器的发展趋势。对于当今的开关电源(SMPS)而言,具有高可靠性也是非常重要的。LLC 谐振半桥变换器因其自身具有的多种优势逐渐成为一种主流拓扑。这种拓扑得到了广泛的应用,包括高端服务器、平板显示器电源的应用。但是,包含有LLC谐振半桥的ZVS桥式拓扑,需要一个带有反向快速恢复体二极管的MOSFET,才能获得更高的可靠性。
零电压开关(ZVS)拓 扑因具有极低的开关损耗、较低的器件应力而允许采用 高开关频率以及较小的外形,从而越来越受到青睐 。这些谐振变换器以正弦方式对能量进行处理,开关器件可实现软开闭,因此可以大大地降低开关损耗和噪声。
在这些拓扑中,相移ZVS全桥拓扑在中、高功率应用中得到了广泛采用,因为借助功率MOSFET的等效输出电容和变压器的漏感可以使所有的开关工作在ZVS 状态下,无需额外附加辅助开关。在LLC谐振变换器中的一个潜在失效模式与由于体二极管反向恢复特性较差引起的直通电流相关。即使功率MOSFET的电压和电流处于安全工作区域,反向恢复dv/dt和击穿dv/dt也会在如启动、 过载和输出短路的情况下发生。
LLC谐振半桥变换器
LLC谐振变换器与传统谐振变换器相比有如下优势:
宽输出调节范围,窄开关频率范围
即使空载情况下,可以保证ZVS
利用所有的寄生元件,来获得ZVS
LLC谐振变换器可以突破传统谐振变换器的局限。正是由于这些原因,LLC谐振变换器被广泛应用在电源供电市场。LLC谐振半桥变换器拓扑如图1所示,其典型波 形如图2所示。图1中,谐振电路包括电容Cr和两个与之 串联的电感Lr和Lm。
作为电感之一,电感Lm表示变压器的励磁电感,并且与谐振电感Lr和谐振电容Cr共同形成 一个谐振点。重载情况下,Lm会在反射负载RLOAD的作用下视为完全短路,轻载情况下依然保持与谐振电感Lr串 联。因此,谐振频率由负载情况决定。Lr 和Cr决定谐振频率fr1,Cr和两个电感Lr 、Lm决定第二谐振频率fr2,随着负载的增加,谐振频率随之增加。谐振频率在由变压器和谐振电容Cr决定的大值和小值之间变动,如公 式1、2所示。


LLC谐振变换器的失效模式
启动失效模式


图3和图4给出了启动时功率MOSFET前五个开关波形。 在变换器启动开始前,谐振电容和输出电容刚好完全放电。与正常工作状况相比,在启动过程中,这些空电容会使低端开关Q2的体二极管深度导通。因此流经开关 Q2体二极管的反向恢复电流非常高,致使当高端开关 Q1导通时足够引起直通问题。启动状态下,在体二极管 反向恢复时,非常可能发生功率MOSFET的潜在失效。图5给出了LLC谐振半桥变换器启动时的简化波形。
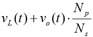
图6给出了可能出现潜在器件失效的工作模式。在t0~t1时 段,谐振电感电流Ir变为正。由于MOSFET Q1处于导通 状态,谐振电感电流流过MOSFET Q1 沟道。当Ir开始上 升时,次级二极管D1导通。因此,式3给出了谐振电感 电流Ir的上升斜率。因为启动时vc(t)和vo(t)为零,所有的 输入电压都施加到谐振电感Lr的两端。这使得谐振电流剧增。

在t1~ t 2时段,MOSFET Q1门极驱动信号关断,谐振电感 电流开始流经MOSFET Q2的体二极管,为MOSFET Q2产生 ZVS条件。这种模式下应该给MOSFET Q2施门极信号。由于谐振电流的剧增,MOSFET Q2体二极管中的电流比正 常工作状况下大很多。导致了MOSFET Q2的P-N结上存储 更多电荷。
在t2~t3时段,MOSFET Q2施加门极信号,在t0~t1时段 剧增的谐振电流流经MOSFET Q2沟道。由于二极管D1 依然导通,该时段内谐振电感的电压为:
。
该电压使得谐振电流ir(t)下降。然而,
很小,并不足以在这个时间段内使电流反向。在t3时刻,MOSFET Q2电流依然从源 极流向漏极。另外,MOSFET Q2的体二极管不会恢复,因为漏源极之间没有反向电压。下式给出了谐振 电感电流Ir的上升斜率:

在t3~t4时段,谐振电感电流经MOSFET Q2体二极管续 流。尽管电流不大,但依然给MOSFET Q2的P-N结增加 储存电荷。
在t4~t5时段,MOSFET Q1通道导通,流过非常大的直 通电流,该电流由MOSFET Q2体二极管的反向恢复电 流引起。这不是偶然的直通,因为高、低端MOSFET正 常施加了门极信号;如同直通电流一样,它会影响到该 开关电源。这会产生很大的反向恢复dv/dt,有时会击穿 MOSFET Q2。这样就会导致MOSFET失效,并且当采 用的MOSFET体二极管的反向恢复特性较差时,这种失 效机理将会更加严重。





过载失效模式

图7给出了不同负载下LLC谐振变换器的直流增益特性 曲线。根据不同的工作频率和负载可以分为三个区域。谐振频率fr1的右侧(蓝框)表示ZVS区域,空载时小 第二谐振频率fr2的左侧(红框)表示ZCS区域,fr1和fr2 之间的可能是ZVS或者ZCS,由负载状况决定。所以紫 色的区域表示感性负载,粉色的区域表示容性负载。图 8给出了感性和容性负载下简化波形。当开关频率 fs
MOSFET在零电流处关断。在MOSFET开通前,电流流 过另一个MOSFET的体二极管。当MOSFET开关开通, 另一个MOSFET体二极管的反向恢复应力很大。由于大 反向恢复电流尖峰不能够流过谐振电路,它将流过另一个MOSFET。这就会产生很大的开关损耗,并且电流和 电压尖峰能够造成器件失效。因此,变换器需要避免工 作在这个区域。
对于开关频率fs>fr1,谐振电路的输入阻抗为感性。MOSFET电流在开通后为负,关断前为正。MOSFET开 关在零电压处开通。因此,不会出现米勒效应从而使开 通损耗小化。MOSFET的输入电容不会因米勒效应而 增加。而且体二极管的反向恢复电流是正弦波形的一部 分,并且当开关电流为正时,会成为开关电流的一部 分。因此,通常ZVS优于ZCS,因为它可以消除由反向 恢复电流、结电容放电引起的主要的开关损耗和应力。
图9给出了过载情况下工作点移动轨迹。变换器正常工 作在ZVS区域,但过载时,工作点移动到ZCS区域,并 且串联谐振变换器特性成为主导。过载情况下,开关电 流增加,ZVS消失,Lm被反射负载RLOAD完全短路。这 种情况通常会导致变换器工作在ZCS区域。ZCS(谐振 点以下)严重的缺点是:开通时为硬开关,从而导致 二极管反向恢复应力。此外,还会增加开通损耗,产生 噪声或EMI。
二极管关断伴随非常大的dv/dt,因此在很大的di/dt条件 下,会产生很高的反向恢复电流尖峰。这些尖峰会比稳 态开关电流幅值大十倍以上。该大电流会使MOSFET损 耗大大增加、发热严重。MOSFET结温的升高会降低其 dv/dt的能力。在极端情况下,损坏MOSFET,使整个系 统失效。在特殊应用中,负载会从空载突变到过载,为 了能够保持系统可靠性,系统应该能够在更恶劣的工作 环境中运行。
图10和图11给出了过载时功率MOSFET开关波形。电流 尖峰发生在开通和关断的瞬间。可以被认作是一种“暂 时直通”。图12给出了过载时LLC谐振变换器的简化波 形,图13给出了可能导致器件潜在失效问题的工作模 式。
在t0 ~ t1时段,Q1导通,谐振电感电流Ir为正。由于 MOSFET Q1处于导通状态,谐振电流流过MOSFET Q1 沟道,次级二极管D1导通。Lm不参与谐振,Cr与Lr谐 振。能量由输入端传送到输出端。
在t1 ~ t2时段,Q1门极驱动信号开通,Q2关断,输出电 流在t1时刻为零。两个电感电流Ir 和 Im相等。次级二极 管都不导通,两个输出二极管反向偏置。能量从输出电 容而不是输入端往外传输。因为输出端与变压器隔离, Lm与Lr串联参与谐振。
在t2 ~ t3时段,MOSFET Q1 依然施加门极信号,Q2关 断。在这个时段内,谐振电感电流方向改变。电流从 MOSFET Q2的源极流向漏极。D2开始导通,D1反向偏 置,输出电流开始增加。能量回流到输入端。
在t3 ~ t4时段,关断MOSFET Q1和Q2的门极信号,谐振 电感电流开始流过MOSFET Q2的体二极管,这就为 MOSFET Q1创造了ZCS条件。
在t4 ~ t5时段,MOSFET Q2开通,流过一个很大的直通 电流,该电流由MOSFET Q1体二极管的反向恢复电流 产生。这不是偶然的直通,因为高、低端MOSFET正常 施加了门极信号;有如直通电流一样,它会影响到该开 关电源。这会形成很高的反向恢复dv/dt,时常会击穿 MOSFET Q2。这样就会导致MOSFET失效,当使用的 MOSFET体二极管的反向恢复特性较差时,这种失效机 理会更加严重。
短路失效模式
最坏情况为短路。短路时,MOSFET导通电流非常高 (理论上无限高),频率也会降低。当发生短路时,谐 振回路中Lm被旁路。LLC谐振变换器可以简化为由Cr和 Lr组成的谐振电路,因为Cr只与Lr发生谐振。因此图12 省略了t1 ~ t2时段,短路时次级二极管在CCM模式下连续 导通。短路状态下工作模式几乎与过载状态下一样,但 是短路状态更糟糕,因为流经开关体二极管的反向恢复 电流更大。
图14和图15给出了短路时功率MOSFET的开关波形。短 路的波形与过载下的波形类似,但是其电流的等级更 高,MOSFET结温度更高,更容易失效。
功率MOSFET失效机理
体二极管反向恢复dv/dt
二极管由通态到反向阻断状态的开关过程称为反向恢 复。图16给出了MOSFET体二极管反向恢复的波形。首 先体二极管正向导通,持续一段时间。这个时段中,二 极管P-N结积累电荷。当反向电压加到二极管两端时, 释放储存的电荷,回到阻断状态。释放储存电荷时会出 现以下两种现象:流过一个大的反向电流和重构。在该 过程中,大的反向恢复电流流过MOSFET的体二极管, 是因为MOSFET的导通沟道已经切断。一些反向恢复电 流从N+源下流过。
如图18和图19所示,Rb表示一个小电阻。基本上,寄生 BJT的基极和发射极被源极金属短路。因此,寄生BJT 不能被激活。然而实际中,这个小电阻作为基极电阻, 当大电流流过Rb时,Rb产生足够的压降使寄生BJT基极发射极正向偏置,触发寄生BJT。一旦寄生BJT开通, 会产生一个热点,更多的电流将涌入该点。负温度系数 的BJT会使流过的电流越来越高。终导致器件失效。图17给出了体二极管反向恢复时MOSFET失效波形。电流等级超过反向恢复电流峰值Irm时正好使器件失效。这 意味着峰值电流触发了寄生BJT。图20和图21给出了由 体二极管反向恢复引起芯片失效的烧毁标记。烧毁点是芯片脆弱的点,很容易就会形成热点,或者需要恢复 过多储存电荷。这取决于芯片设计,不同设计技术会有 所变化。
如果反向恢复过程开始前P-N结温度高于室温,则更容易形成热点。所以电流等级和初始结温度是器件失效的两个重要的因素。影响反向恢复电流峰值的主要因素 有温度、正向电流和di/dt。图22给出了反向恢复电流峰 值与正向电流等级的对应曲线。如图22所示,大限度 抑制体二极管导通,可以降低反向恢复电流峰值。如果 di/dt增大,反向恢复电流峰值也增大。在LLC谐振变换器中,功率MOSFET体二极管的di/dt与另一互补功率开 关的开通速度有关。所以降低其开通速度也可以减小 di/dt。
击穿dv/dt
另一种失效模式是击穿dv/dt。它是击穿和静态dv/dt的组合。功率器件同时承受雪崩电流和位移电流。如果开关过程非常快,在体二极管反向恢复过程中,漏源极电压 可能超过大额定值。例如,在图16中,漏源极电压 大值超过了570V ,但器件为500V 额定电压的 MOSFET。过高的电压峰值使MOSFET进入击穿模式, 位移电流通过P-N结。这就是雪崩击穿的机理。另外, 过高的dv/dt会影响器件的失效点。dv/dt越大,建立起的位移电流就越大。位移电流叠加到雪崩电流后,器件受 到伤害,导致失效。基本上,导致失效的根本原因是大电流、高温度引起的寄生BJT导通,但主要原因是体二极管反向恢复或击穿。实践中,这两种失效模式随机发生,有时同时发生。
解决方法
在启动、过载或短路状况下,过流保护方法有多种:
增加开关频率
变频控制以及 PWM控制
采用分裂电容和钳位二极管
为了实现这些方法,LLC谐振变换器需要增加额外的器件、改进控制电路或者重新进行散热设计,这都增加了系统的成本。有一种更为简单和高性价比的方法。由于体二极管在LLC谐振变换器中扮演了很重要的角色,它对失效机理至关重要,所以集中研究器件的体二极管特性是解决这个问题的好方法。越来越多的应用使用内嵌二极管作为关键的系统元件,因此体二极管的许多优势得以实现。其中,金或铂扩散和电子辐射是非常有效的 解决方法。这种方法可以控制载流子寿命,从而减少反 向恢复充电和反向恢复时间。随着反向恢复充电的减 少,反向恢复电流峰值和触发寄生BJT的可能性也随之 降低。因此,在过流情况下,如过载或短路,这种带有 改进的体二极管的新功率MOSFET可以提供更耐久、更 好的保护。
审核编辑:汤梓红

















下一篇:电感升降压电路基本原理
龙腾半导体SGT MOSFET LSGT085R018在智慧农业无