时间:2023-07-06 11:32
人气:
作者:admin
01
带隙基准理论基础
与温度关系很小的电压或者电流基准,在实际电路设计中具有重要的应用,比如在电流镜结构中,需要对一“理想的”基准电流进行精确复制,这一“理想的”基准电流,一般由带隙基准电路产生。怎样才能产生一个对温度变化保持恒定的量呢?我们可以这样假设:如果将两个具有相反温度系数的量,以适当的权重进行相加,那么最终的结果就会显示出零温度系数。例如,对于随温度变化向相反方向变化的电压
和
来说,我们选取系数
和
,使得
,这样就得到了具有零温度系数的电压基准
。下面,我们将分析,如何产生这两种随温度变化反方向变化的电压。
02
负温度系数电压
双极性晶体管的基极-发射极电压,具有负温度系数。对于一个双极性器件,我们可以写出
,其中,
,饱和电流
正比于
,其中
为少数载流子浓度,
为硅的本征载流子浓度。这些参数与温度的关系可以表示为
,其中,
,并且
,其中,
,为硅的带隙能量,所以有:

其中,b为一比例系数。写出
,我们就可以计算基极-发射极电压随温度的系数了。在
对T取导数时,我们一定要知道
也是温度的系数。为了简化分析,我们暂时假设
保持不变,这样有:

于是我们有:

所以有:

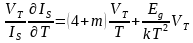
最终可得到:

上式给出了在给定温度T下基极-发射极电压的温度系数,从中可以看出,它与
本身的大小有关。当
,T=300K时,
。
03
正温度系数电压
如果两个双极性晶体管工作在不相等的电流密度下,那么它们的基极-发射极电压的差值就与绝对温度成正比。

图一
对于图一,如果两个同样的晶体管(
)偏置的集电极电流分别为
和
并忽略它们的基极电流,那么有:

这样,
的差值就表现出正温度系数:

04
带隙基准
利用上面得到的正、负温度系数的电压,我们现在可以设计出一个令人满意的零温度系数的基准。我们有
,这里
是两个工作在不同电流密度下的双极性晶体管的基极-发射极电压的差值。那么我们怎么选择系数
和
呢?在室温下,
,
,因此我们可以选择令
,选择
使得
,也就是
,这样得到的零温度系数的基准为:

05
实现电路

图二
图二为带隙基准电路的实现原理图,Q1为单个晶体管,Q2为n个并联的晶体管,我们在X点和Y点引入运算放大器,利用运算放大器的特性强制X点和Y点点位相等,那么有
,即
I=
,所以有
。选择
,我们有输出电压为:

我们选择合适的电阻值,即可满足
的条件。例如,可以选择n=31,
。
06
总结
至此,我们已经完成了最简单的带隙基准电路的设计。在实际电路中,由于运放的输入失调等效应,还需要加入反馈回路等结构,以确保带隙基准电路能够稳定的工作。最终实现的电路会相对复杂,但是核心电路的原理基本上大同小异。
上一篇:NPN和PNP晶体管哪一个更好?
下一篇:一文详解惠斯通电桥工作原理
龙腾半导体SGT MOSFET LSGT085R018在智慧农业无