时间:2023-06-30 09:44
人气:
作者:admin
在今天的文章中,我们将介绍差动放大器配置,这是将ADAQ798x与双极性输入信号接口的另一种方式。这种配置可用于具有宽输入电压范围和带宽的双极性信号。我们将了解如何为任何给定的输入范围选择所需的外部元件,以及它们如何影响其他规格,如输入阻抗、噪声和直流误差。
差动放大器
ADC驱动器可配置为采用四个外部电阻的差动放大器,如下所示:

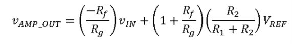
这种配置可以被认为是同相和反相配置的叠加;双极性输入信号乘以放大器的反相增益,而直流偏置电压(使用V裁判,出于前几篇文章中讨论的原因)乘以同相增益。CN-0393利用此配置调理PGIA(AD10)的±8251 V输出摆幅。此配置的传递函数为:

第一步是找到合适的R比例f和 Rg,由输入幅度之比(Δv)决定在)至ADC的满量程范围(0 V至VREF):

与我们讨论的同相配置不同,信号增益可以小于1,因此我们不需要进行任何修改(即额外的电阻)来衰减幅度大于V的输入信号。裁判.值得注意的是,信号确实从输入反转到输出。
R1和 R2然后用于衰减V裁判使得ADC驱动器的输出偏置于ADC中间电平(V裁判/2).R的比率1和 R2由 R 的比率确定f和 Rg:

以上还假设设计正在使用 V裁判作为直流输入电压与R相连1.
找到这些比率后,我们需要为每个电阻选择特定值。在我们开始盲目选择组件之前,需要考虑一些事项:
一、R的值f会影响ADC驱动器的稳定性。如果 Rf变得太大,噪声增益频率响应将开始达到峰值,并且可能变得不稳定(如MT-050中所述)。正如我们之前在“为单极性输入增加增益”中提到的几篇文章,Rf应加以限制,以防止这种情况发生。
这种配置比我们上周讨论的配置更容易受到噪声问题的影响,因为ADC驱动器的噪声增益总是大于1。ADAQ7980/ADAQ7988数据手册中的噪声考虑因素和信号建立部分以及CN-0393的系统噪声分析部分展示了如何量化此配置的系统噪声。
另一个考虑因素是电阻对系统失调误差的影响。电阻将与ADC驱动器的输入偏置电流相互作用,在其输出端产生失调误差。随着它们的抗性增加,这种效果变得更加明显。根据MT-038,为了减轻这种影响,将R的并联组合1和 R2必须等于 R 的f和 Rg.
让我们考虑一个例子,其中 v在为 ±1.25 V 和 V裁判= 5 V.使用上面的等式,我们发现Rf必须为 2×Rg和 R1必须为 5×R2.如果我们想确保输入偏置电流不会产生系统失调误差,R的并联组合1||R2和 Rf||Rg也必须相等,其中 R1= 0.8×Rf.如果我们选择 Rf= 2 kΩ,例如,我们需要Rg= 1 kΩ, R1= 1.6 kΩ 和 R2= 320 Ω.
结语
差动放大器配置能够将ADAQ798x与具有多种幅度和频率范围的双极性信号接口,并且设计非常简单。不过,还有其他一些事情需要注意。
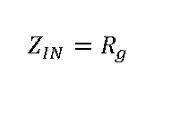
首先,请记住,某些应用关注的是实现高输入阻抗。对于我们讨论过的其他配置,这可以通过增加电阻值(并降低输入带宽以处理额外的噪声)来实现。但是,此配置很难做到这一点,因为 Rf和 Rg不能太大,以免影响ADC驱动器的稳定性。该电路的输入阻抗等于反相放大器的输入阻抗:

例如,为了实现1 MΩ的输入阻抗,Rg需要为 1 MΩ,而 Rf可能太大,ADC驱动器无法正常工作(至少在使用公共增益时)。提高系统输入阻抗的唯一实用方法是在ADC驱动器前面使用另一个信号调理级。
好的一面是,由于这种配置可能具有较小的电阻,因此不太可能需要额外的滤波来补偿电阻噪声。此外,这使得平衡输入偏置电流产生的失调更加实用,因为R1和 R2可以轻松选择以平衡与 R 的偏移f和 Rg.与可实现更高输入阻抗的同相配置相比,这两种特性使该配置能够实现更高水平的精度和更高的信号带宽。
另外值得一提的是,这种配置可以更轻松地用于ADAQ798x负电源接地的单电源应用。这是因为放大器的输入保持在恒定的直流电压下,并且不太担心违反输入共模电压规格(如ADAQ7980/ADAQ7988数据手册所示)。
审核编辑:郭婷
龙腾半导体SGT MOSFET LSGT085R018在智慧农业无