时间:2023-06-26 10:37
人气:
作者:admin
通过将吸电流负LDO配置为正电压灌电流,可以构建一个低压电源(1.3V)来端接PECL逻辑线路。
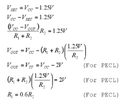
高速电信中使用的正发射极耦合逻辑(PECL)需要奇数电源电压:正VCC为+3.3V,终止电压(VTT)等于VCC -2V = +1.3V。VTT 电源相对于 VCC 进行调节,并且必须能够吸收电流。
大多数正低压差(LDO)稳压器不能吸收电流。负LDO是为此目的而设计的,但通常提供负电压。
图1所示为针对正电压操作而修改的吸电流负LDO。GND 引脚连接到 VCC,IN 连接到地。这些连接允许负LDO作为正电压吸收器工作,其中VSET上的电压等于VCC -1.25V:


图1.所示连接使负输出LDO(具有固有的电流吸收能力)能够产生正输出电压。
输出电压相对于VCC进行调节。该特性非常适合PECL端接应用,因为它需要输出电压来跟踪VCC电源。最大输出电流受内部保护电路(约400mA)和封装功耗额定值(约550mW)的限制。对于需要更高输出电压或更高电流(或两者兼而有之)的应用,您可以添加串联二极管来耗散部分功率(图 2)。您可以根据需要添加任意数量的二极管来耗散功率,但OUT(引脚5)处的电压必须保持至少高于地电位300mV(IN,引脚2)。

图2.要在超过IC1内部或封装功耗额定值的电压或电流下工作图1电路,请如图所示添加功耗二极管。
审核编辑:郭婷
龙腾半导体SGT MOSFET LSGT085R018在智慧农业无