时间:2023-06-28 18:12
人气:
作者:admin
在BJT或双极晶体管中,传递特性可以理解为输出电流与输入控制幅度的关系图,因此在图中表示的曲线中表现出变量从输入到输出的直接“转移”。
我们知道,对于双极结型晶体管(BJT),输出集电极电流IC和控制输入基极电流IB由参数β相关,该参数在分析中假设为常数。
参考下面的等式,我们发现IC和IB之间存在线性关系。如果我们使IB级别达到2倍,那么IC也会按比例翻倍。

但遗憾的是,这种方便的线性关系在JFET的输入和输出幅度上可能无法实现。相反,漏极电流ID和栅极电压VGS之间的关系由肖克利方程定义:

在这里,平方表达式负责 ID 和 VGS 上的非线性响应,随着 VGS 幅度的减小,曲线呈指数增长。
尽管对于直流分析,数学方法更容易实现,但图形方式可能需要绘制上述方程。
这可以呈现所讨论的设备以及与相同变量相关的网络方程的绘制。
我们通过查看两条曲线的交点来找到解决方案。
请记住,当您使用图形方法时,设备的特性不受实现设备的网络的影响。
随着两条曲线之间的交点发生变化,它也改变了网络方程,但这对上述方程5.3定义的传递曲线没有影响。
因此,一般来说我们可以说:
肖克利方程定义的传输特性不受实现设备的网络的影响。
我们可以使用 Shockley 方程或从图例 5.10 中描述的输出特性获得传递曲线
在下图中,我们可以看到两个图表。垂直线测量两个图形的毫安。

一个图绘制漏极电流ID与漏源电压VDS,第二个图绘制漏极电流与栅极-源极电压或ID与VGS的关系。
借助“y”轴右侧所示的漏极特性,我们能够绘制一条水平线,从曲线的饱和区域开始,显示为VGS = 0 V,直到显示为ID的轴。
因此,两张图达到的当前水平是IDSS。
ID 与 VGS 曲线上的交点如下所示,因为垂直轴定义为 VGS = 0 V

注意,漏极特性显示了一种漏极输出幅度与另一个漏极输出幅度之间的关系,其中两个轴由MOSFET特性同一区域中的变量解释。
因此,传输特性可以定义为MOSFET漏极电流与作为输入控制的数量或信号的关系图。
因此,当曲线在图5.15的左侧使用时,这会导致跨输入/输出变量的直接“转移”。如果是线性关系,ID vs VGS 的图将是横跨 IDSS 和 VP
的直线。
然而,由于VGS跨过漏极特性之间的垂直间距,这导致了抛物线曲线,随着VGS变得越来越负,该间距会明显减小,如图5.15所示。
如果我们将 VGS = 0 V 和 VGS = -1V 之间的空间与 VS = -3 V 和夹断之间的空间进行比较,我们会看到差异是相同的,尽管 ID
值有很大不同。
我们能够通过绘制一条从 VGS = -1 V 曲线到内径轴的水平线,然后将其扩展到另一个轴来识别传递曲线上的另一个点。
当ID = 1.4 mA时,观察到传递曲线底部轴的VGS = - 5V。
另请注意,在VGS = 0 V和-1 V时的ID定义中,使用ID的饱和电平,而忽略欧姆区域。
再往前走,VGS = -2 V 和 - 3V,我们能够完成传递曲线图。
如何应用肖克利方程
您也可以通过应用肖克利方程(方程5.15)直接获得图5.3传递曲线,前提是给出IDSS和Vp的值。
IDSS 和 VP 级别定义了两个轴的曲线极限,并且只需要绘制几个中间点。
肖克利方程方程 Eq.5.3 作为图 5.15
传递曲线的来源的真实性可以通过检查特定变量的某些独特水平,然后通过以下方式识别另一个变量的相应水平来完美地表达:


这与图5.15所示的图相匹配。
观察在上述计算中如何仔细管理VGS和VP的负号。即使错过一个负面信号也可能导致完全错误的结果。
从上面的讨论中可以清楚地看出,如果我们有IDSS和VP的值(可以从数据表中参考),我们可以快速确定任何量级VGS的ID值。
另一方面,通过标准代数,我们可以推导出一个方程(通过方程5.3),对于给定的ID水平,得到的VGS水平。
这可以非常简单地推导出来,得到:

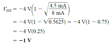
现在,让我们通过确定VGS电平来验证上述公式,该电平产生4.5 mA漏极电流的MOSFET,其特性与图5.15相匹配。

结果验证了方程,因为它符合图5.15。
使用速记方法
由于我们需要经常绘制传递曲线,因此可能会发现获得绘制曲线的速记技术很方便。一种理想的方法是允许用户快速有效地绘制曲线,而不会影响精度。
我们上面学到的等式 5.3 被设计成这样的设计,即特定的 VGS 水平产生 ID 级别,在绘制转移曲线时可以记住这些 ID 级别用作绘图点。如果我们将
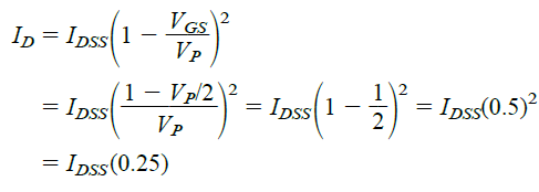
VGS 指定为夹断值 VP 的 1/2,则可以通过以下方式使用 Shockley 方程确定生成的 ID 水平:


必须注意的是,上述等式不是为特定级别的VP创建的。该方程是所有VP级别的一般形式,只要VGS = VP /
2。该方程的结果表明,只要栅源电压的值比夹断值小1%,漏极电流将始终为饱和水平IDSS的4/50。
请注意,VGS 的 ID 级别 = VP/2 = -4V/2 = -2V 如图 5.15 所示
选择 ID = IDSS/2 并将其代入方程 5.6,我们得到以下结果:

虽然可以建立更多的数字点,但只需使用4个绘图点绘制传递曲线即可简单地达到足够的精度水平,如上文和下面的表5.1所示。
在大多数情况下,我们可以使用VGS = VP / 2仅使用绘图点,而IDSS和VP处的轴交点将为我们提供一条对于大多数分析足够可靠的曲线。

上一篇:MOSFET导通过程详解
龙腾半导体SGT MOSFET LSGT085R018在智慧农业无