时间:2023-05-25 11:02
人气:
作者:admin
今天聊一聊矩形脉冲,谈他只因为常见,工作中常用。
左图是个门函数,宽度为τ,高度为1,自变量t。
右图是门函数经过傅里叶变换的频谱密度函数
F(jw),自变量w。
两种变换对等,包含信号的所有信息量,仅仅是一种数学的变换域。

其傅里叶变换对如下式:

case1:
我们把门宽度缩小,即τ→0,或者很小很小,获得一个尖脉冲。(研究它的目的是尖峰噪声,都是小的脉冲,振荡的,时间宽度小的,尖刺的…)

长的很像冲激函数吧~就高度不一样嘛
再看看冲激函数的FT,正好是1。

我们把门函数的FT即τSa(wτ/2),令τ趋于0,数无形时少直觉,右图一看,第一过零点直接趋于无穷大,Sa()函数中间凸起来的区域一条直线~不就长得像1吗?
case2:
我们把门宽度放大,即τ→很大,或者很大很大,获得一个直流信号。
再看看直流信号的FT,是个冲激。

我们把门函数的FT即τSa(wτ/2),如果忽略前面的系数τ,并令τ趋于+∞。数无形时少直觉,右图一看,第一过零点直接趋于无穷小,Sa()函数中间凸起来的区域逼近于0~不就长得像冲激函数吗?

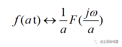
case3:
由尺度变换公式

得
时域压缩信号,将会使得频谱密度函数频率轴伸展,信号的频率分量会 向高频扩散 。
时域扩展信号,将会使得频谱密度函数频率轴收缩,信号的频率分量会 向低频聚集 。
或者说:对于一个脉冲信号,信号越窄,频谱密度函数 收敛性变差 ,Sa()函数第一过零点带宽往后推,幅度较高的频率分量往后搬移。
以后应当有认知:
REF ADI一张图

龙腾半导体SGT MOSFET LSGT085R018在智慧农业无