时间:2023-05-29 14:21
人气:
作者:admin
目标
本实验活动的目标是研究有源整流器电路。具体而言,有源整流器电路集成了运算放大器、低阈值P沟道MOSFET和反馈环路,以合成一个正向压降低于传统PN结二极管的单向电流阀或整流器。
背景知识
电源使用传统二极管整流交流电压以获得直流电压时,必须对某些本身效率低下的部分进行整流。标准二极管或超快速二极管在额定电流时可能具有1 V或更高的正向电压。二极管的该正向压降与交流电源串联,这会降低潜在的直流输出电压。此外,该压降与通过二极管提供的电流的乘积意味着功耗和发热量可能相当大。
肖特基二极管的较低正向电压是对标准二极管的改进。但是,肖特基二极管同样有一个内置的固定正向电压。利用FET较低的传导损耗,与输入交流波形同步地主动开关MOSFET器件以模仿二极管,可以实现更高的效率。有源整流常被称为同步整流,是指根据极性在交流波形的适当时间点开关FET器件,因此它可充当整流器,仅在所需方向上传导电流。
与结型二极管的情况不同,FET的传导损耗取决于导通电阻(RDS(ON))和电流。选择低RDS(ON)的足够大FET可将正向压降降低到任何二极管所能实现的压降的一小部分。因此,同步整流器的损耗将比二极管低得多,有助于提高整体效率。
由于必须同步用于开关FET的栅极信号,因此相比基于二极管的整流器,电路设计更为复杂。与必须去除二极管所产生热量而增加的复杂性相比,这种复杂性常常更容易处理。随着效率要求不断提高,很多情况下没有比使用同步整流更好的选择。
材料
ADALM2000 主动学习模块
无焊试验板
跳线
一个具有轨到轨到轨输入/输出的 AD8541 CMOS运算放大器
一个ZVP2110A PMOS晶体管(或等效元件)
一个4.7 µF电容
一个220 µF电容
一个10 Ω电阻
一个2.2 kΩ电阻
一个47 kΩ电阻
一个1 kΩ电阻
说明
在试验板上构建图1所示的简易半波整流器电路。有源栅极驱动电路使用运算放大器(AD8541)检测来自AWG输出的交流输入波形何时高于输出电压VOUT(在正值方向上),进而接通PMOS晶体管M1。该电路可以为低至运算放大器最小电源电压(AD8541为2.7 V)或PMOS器件栅极阈值电压(ZVP2110A典型值为1.5 V)的交流电压提供有源整流。在较低输入电压下,MOSFET的背栅极到漏极二极管接管,充当普通二极管整流器。

图1.使用自供电运算放大器的有源半波整流器

图2.使用自供电运算放大器试验板电路的有源半波整流器
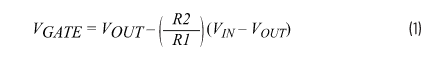
当VIN大于VOUT时,运算放大器将接通PMOS晶体管,公式如下:

其中(电压以地为基准):
VGATE 为M1栅极的电压。
VIN 为交流输入电压。
VOUT 为C1和RL处的输出电压。
输入和输出电压可以与PMOS的漏源电压VDS和栅源电压VGS关联起来,公式如下:

如果R2的值是R1的21倍(1 MΩ/47 kΩ),则M1漏源电压VDS上的75 mV压降足以导通阈值电压为–1.5 V的PMOS晶体管。R2与R1的比率可以更大,从而降低输入到输出电压降或支持阈值电压更高的晶体管。
运算放大器由输出平整电容C1供电,因此不需要额外的电源。对于为该电路选择的运算放大器有一定的要求。放大器必须具有轨到轨输入和输出,并且在电源轨附近工作时不会出现增益相位反转。运算放大器的带宽限制了电路的频率响应。为了提高效率,该应用常常选择低电源电流运算放大器,因此带宽和压摆率一般较低。在较高交流输入频率(可能高于500 Hz)下,放大器的增益将开始下降。AD8541单电源CMOS运算放大器满足所有这些要求,并且电源电流低至仅45 µA。
硬件设置
使用自供电运算放大器的有源半波整流器的试验板连接如图2所示。
程序步骤
AWG1连接为VIN,应配置为幅度大于6 V峰峰值、零偏移和100 Hz频率的正弦波。示波器输入用于监视电路周围的各个点,例如VIN、VOUT、RS两端的电压,以及通过RS和M1栅极的电流。
开始时,C1使用220 µF的较大电容。220 µF和4.7 µF电容都是极化的,因此请务必将正极和负极正确连接到电路。
使用两个示波器输入监视VIN处的输入交流波形和VOUT处的直流输出波形。VOUT应该非常接近VIN的峰值。现在用小得多的4.7 µF电容替换220 µF大电容。观察VOUT处的波形变化。当VOUT的值最接近VIN时,将交流输入周期的间隔与晶体管M1的栅极电压进行比较。

图3.使用220 µF电容的VOUT和VIN Scopy图

图4.使用4.7 µF电容的VOUT和VIN Scopy图
示波器通道2连接在分流器(即10 Ω电阻RS)两端,使用测量特性获取电流的峰值和平均值。将平均值与2.2 kΩ负载电阻RL的直流值进行比较,后者是根据VOUT测量电压计算得出的。对220 µF和4.7 µF电容值重复此测量。
此电路的其他用途
一个仅允许电流沿一个方向流动且开关两端的电压降非常低的电路,还有其他潜在用途。在电池充电器中,输入电源可能是间歇性的(例如太阳能电池板或风力涡轮发电机),当输入电源没有产生足够高的电压来为电池充电时,有必要防止电池放电。为此目的一般使用简单的肖特基二极管,但正如背景部分所指出的,这会导致效率损失。使用工作电源电流足够低的运算放大器时,其电流通常可以低于大肖特基二极管的反向漏电流。
审核编辑:郭婷
龙腾半导体SGT MOSFET LSGT085R018在智慧农业无