时间:2023-05-30 16:33
人气:
作者:admin
1)LM3409是TI公司推出的一款LED恒流驱动芯片,芯片手册和应用说明可以在官网查询到参考资料,但是内部推导过程对于新手们可以参考一下介绍内容。
2)下图是芯片的框图和引脚介绍,尤其新手朋友们要先仔细阅读手册。

3)下面直接介绍应用电路及引脚中文描述,详细电路推导接下来会介绍。

下图为中文描述:

4)设计电路时必要知道的相关参数,此部分设计人员要提前规划好。
VIN=48V;VIN-MAX=75V; 设定电路输入标准电压及最大输入电压;
VO=42V; 设定目标输出电压;
FSW=400kHz; 设定芯片开关控制频率;
ILED=1.5A; 目标输出电流;
△iLED-PP=△iL-PP=300mA; 设定输出的纹波电流要求,峰峰值;
△VIN-PP=1.44V; 输入的纹波电压峰峰值;
η=0.97; 估算输入电源效率;
VTURN-ON=10V; VHYS=1.1V; 设定低压保护值和迟滞电压VHYS=1.1V;
这里主要介绍一下UVLO欠压锁定引脚,此引脚电压为人为设定低压锁定值VUVLO;配合迟滞电压VHYS人为设定值。欠压锁定通过 VIN和 GND之间的电阻分压器设置,并与 1.24V阈值进行比较,如图28所示。一旦输入电压高于预设的 UVLO上升阈值(假设该器件已启用),内部电路就会激活,并且 UVLO引脚上的 22µA电流源会打开。这个额外的电流提供滞后作用以创建一个较低的 UVLO下降阈值。
5)标称开关频率的计算过程
下图是芯片内部及外围的开关控制频率的电路图,此部分为RC电路。

在tOFF开始时COFF两端的电压(VCOFF(t))为零,电容器开始根据 ROFF和 COFF提供的时间常数充电。当VCOFF(t)达到关闭时间阈值 (VOFT= 1.24V)时,关闭时间终止并且(VCOFF(t))重置为零。其中20pF是寄生电容;上述结果的推导见下图。

接下来我们要计算电路中R6;首先我们要选型C7电容,即假定C7=470pF,并已知η=0.97;
下图是电容充电函数图像:

虽然tOFF方程是非线性的,但在大多数应用中tOFF实际上是非常线性的。忽略COFF引脚上的 20pF寄生电容,VCOFF(t)绘制在上图中。可以计算VCOFF(t)的时间导数以找到tOFF方程的线性近似值:
对式7进行求导可得下式:

当 tOFF<< ROFFx COFF(相当于 VO>> 1.24V时),函数的斜率基本上是线性的,tOFF可以近似为给 COFF充电的电流源:

这里要知道开关频率是用来调节BUCK电路的,这里引入一个BUCK电路占空比的概念后续会提供相关证明,BUCK电路如果电流过大开关会关闭,电流下降开关导通,这里存在导通和关断时间概念;

由上图计算可知:

6)接下来是BUCK电路的计算推导;
首先要明白最基本的电感基本公式;开通和关断时间为一个周期,占空比为开通所占整个周期的比例。

由上图可知电感L1为:

7)下面是计算LED恒流和反馈电阻R9
下图是芯片内部框图

由上图可知芯片内部钳位二极管旁边是一个电压跟随器,上面运放是一个比较器。
在开关周期开始时,Q1导通,电感电流增加。一旦检测到峰值电流,Q1关闭,二极管 D1正向偏置,电感器电流减小。上图显示了如何使用电流流过电阻器 (RSNS)时产生的差分电压信号来完成峰值电流检测。(RSNS)两端的电压(VSNS)与可调电流检测阈值 (VCST)进行比较,当VSNS超过VCST时,Q1将关闭,前提是tON大于可能的最小 tON(通常为115ns)。
计算分析见下图,由运放虚断可知VZ=VY;通过下式推导可知比较器是比较(RSNS)两端的电压(VSNS)与可调电流检测阈值 (VCST)进行比较。

由上图步骤4计算可知R9:

8)IADJ的作用
看芯片手册可知IADJ引脚的作用是模拟 LED 电流调整。施加 0至 1.24 V的电压,将电阻器连接到 GND,或悬空以设置电流检测阈值电压 (VCST)。有以下三种方式设置IADJ,结合第7节说明可知

9)输入电容的选择
电源输入端电容为去耦电容,有滤波和稳压作用。
因为C=Q/U----------Q=C*U,I=dQ/dt---------I=d(C*U)/dt=C*dU/dt,C=I*dt/dU
从上式可以看出,滤波电容大小与电源输出电流和单位时间电容电压变化率有关系,且输出电流越大电容越大,单位时间电压变化越小电容越大;
对于相同材料的电容器,容量越小,频率特性越好。电容器的典型频率特性是:随着频率的增加,总等效电容电抗减小,但当频率增加到一定值时,电容电抗开始增大。如果将此频率定义为电容电抗的转折频率,则电容越小,转折频率越高。因此,为了获得相同的电容,可以将几个小容量电容器并联,这样可以改善电容器的高频特性。

这里给大家普及一下C3=0.1uf是怎么来的,我们的芯片IC内部的逻辑门在10-50Mhz范围内执行的时候,芯片内部产生的干扰也在10-50Mhz,(比如51单片机),0.1uF电容 (有两种,一种是插件,一种是贴片)的谷底刚好落在了这个范围内,所以能够滤除这个频段的干扰。


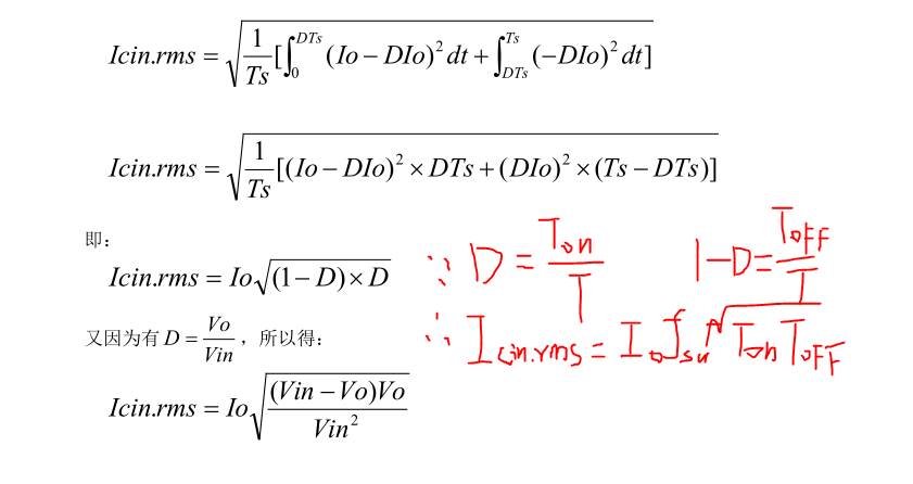
10)输入电容纹波电流有效值计算
在Buck电路中Q1的电流(IQ1)波形基本如下图所示:0~DTs期间为一半梯形,DTs~Ts期间为零。当0~DT期间Iq1⊿I足够小时(不考虑输出电流纹波的影响),则Iq1波形为近似为一个高为Io、宽为DTs的矩形,则有:

Iin* Vin =Vo*IoàIin=(Vo/Vin)*Io=DIo (Iin,只要Cin容量足够大,则在整个周期中是基本恒定的;按照能量守恒定律:Pin≈Pout)
Icin=Iq1-Iin
对Icin的表达式可以这样理解:在Q1导通期间输入端电源和输入电容共同向输出端提供电流,因此输入电容电流等于Q1电流减去输入端电流;在Q1关断期间输入端对电容充电,以补充在Q1导通期间所泄掉的电荷,而此时电流方向与所定义的正向是相反的,所以有Icin=-DIo根据有效值的定义.

有效值定义:有效值(Effectivevalue)在相同的电阻上分别通以直流电流和交流电流,经过一个交流周期的时间,如果它们在电阻上所消耗的电能相等的话,则把该直流电流(电压)的大小作为交流电流(电压)的有效值,正弦电流(电压)的有效值等于其最大值(幅值)的1/√2,约0.707倍。
在正弦交流电流电中根据热等效原理,定义电流和电压的有效值为其瞬时值在一个周期内的方均根值。

注:上式是在不考虑纹波影响的前提下计算得来的,若要考虑纹波⊿I,相当于在直流I0的基础上叠加上了一个交流成分,

11)输出电容的选择和计算
输出电容器需要保持直流输出电压。建议使用陶瓷或者CAP(钽电容);使用陶瓷电容时,开关频率处的阻抗由电容决定。输出电压纹波主要由电容引起。
我们设计时总是按照电感电流谐波全部进入Co,恒定分量进入负载( 如果带阻性负载,在闭环电路的控制下,输出电压恒定,确实是这样的)。即电感上直流部分IO全部给与负载,电感上的交流(三角波部分)给到了电容。也就是交流部分给电容充放电。

下面详细介绍输出电容工作流程,在Q1导通时电感感应电动势最大,电流最小,导通时电感电流逐渐增大,当达到均值后,电感开始给电容充电,直到电感电流下降到均值后结束充电,然后电感开始电流继续减小此时电容开始放电给负载。
其输出电压纹波的计算公式推导如下:
电容充放电的总电荷量可用电流乘以时间计算,即为上图中三角形的面积

12)P沟道MOS管选型计算
根据电路图可知P管的耐压VT与输入最大电压有关,P管的导通电流IT可根据能连守恒计算,见下图:

13)续流二极管的选型
首先要明白二极管D1在PFET管Q1关闭(TDs~T)时即T(1-D)时间内,电感L1产生反向电动势进行续流的。续流二极管选取要求,选择额定正向平均电流大于等于1.5-2倍,反向重复峰值电压大于等于1.5-2倍,正向压降小,反向漏电流小,反向恢复时间段等.

P管关闭后,二极管平均电流ID*T=ILED*(1-D)T;即ID =ILED*(1-D)。
反向击穿电压
在二极管截止时,将会承受最大的反向电压Urev,Urev =Vin
在选取二极管时,需要选择比这个电压高的
平均电流:ID=IO·(1-D);IPEAK峰值电流:最大电流等于电感电流的最大值
IDMAX = Ipeak=Io + ½ ·∆I
额定功率:Pd = ID·VF,选用的二极管能承受这个消耗功率且要留有余量
正向导通电压VF:
二极管的正向导通电压VF越小,功率消耗就越小,所以要尽可能地选择VF比较小的
反向恢复时间trr:
在开关电路中,一定要选择反向恢复时间快的二极管,不然电路会工作异常。按反向恢复速度快慢分类:普通整流二极管 > 500ns ,快恢复二极管(150, 500)ns,超快恢复二极管(10,150)ns,肖特基二极管<10 ns。


14)输入欠压闭锁
如果一个芯片有欠压关断,就会有阈值(阈值可以理解为临界值)电压,低于这个阈值电压芯片就会自动停止运行(也就是关断),高于这个阈值,芯片就会重新启动。如果芯片启动后,假如阈值电压为10V,当电压在10V临界波动时,噪声干扰都可能造成这种小的波动,于是在这个阈值附近芯片会不断的启停。迟滞电压就是解决这一问题的,如果设置迟滞电压为1.1V,则电压为10V时芯片开启,电压电压波动下降到8.9V时芯片才会彻底停止工作,这样就解决了不断的波动不断的启停。
VUVLO=10V;VHYS=1.1V; 设定低压保护值和迟滞电压;

根据上图推算,代入数据后根据实际选型可得如下:

15)PWM调光方法
这里可以参照评估板的设计思路,PWM调光的好处是可以用软件进行调光,方便快捷。

16)EN引脚内部调光电路介绍
启用引脚 (EN)是用于 LED PWM调光的 TTL兼容输入。EN的逻辑低电平(低于 0.5V)将禁用内部驱动器并切断流向 LED阵列的电流。当 EN引脚处于逻辑低电平状态时,支持电路(驱动器、带隙、V CC稳压器)保持活动状态,以最大限度地减少在 EN引脚出现逻辑高电平(高于 1.74 V)时重新打开 LED阵列所需的时间。
17)旁路电容
这里大家需要理解旁路电容与去耦电容的概念,旁路电容是把输入信号中的干扰作为滤除对象,而去耦电容是把输出信号的干扰作为滤除对象,防止干扰信号返回电源。
我们经常提到去耦、耦合、滤波等说法,是从电容器在电路中所发挥的具体功能的角度去称呼的,这些称呼属于同一个概念层次,而旁路则只是一种途径,一种手段,一种方法。
比如,我们可以这么说:电容器通过将高频信号旁路到地而实现去耦作用。因此,数字芯片电源引脚旁边100nF的小电容,你可以称之为去耦电容,也可以称之为旁路电容,都是没有错的,如果你要强调的是去耦作用,则应该称其为去耦电容,有些日本厂家的数据手册比较讲究,文中讲的是去耦电路,就会以“旁路(去耦)电容器”来表示。
下一篇:RC振荡器的二种常见电路
龙腾半导体SGT MOSFET LSGT085R018在智慧农业无