时间:2023-05-17 17:40
人气:
作者:admin
随着太赫兹技术的迅速发展,基于太赫兹的超材料的应用拥有了更多可能性,在滤波器、调制器、偏振转换器、吸收器等许多方面的应用都受到了诸多关注。石墨烯、液晶(LC)、二氧化钒(VO₂)等可调谐材料的出现,为功能性超材料器件的开发提供了新的途径。VO₂作为一种典型相变材料,通过各种激励方式(如热、电等)可使其发生相变,在温度变化时,其电导率会发生近4个数量级的变化,同时也会呈现出不同的状态,这使得VO₂适用于设计多功能超材料器件。
据麦姆斯咨询报道,近期,中国计量大学和天津大学的联合科研团队在《中国光学(中英文)》期刊上发表了以“二氧化钒辅助的可切换多功能超材料结构”为主题的文章。该文章第一作者为陈欣怡,通讯作者为中国计量大学严德贤副教授,主要从事太赫兹微波技术及器件的研究工作。
本文提出了一种基于VO₂相变特性的开口谐振环结构多功能超材料偏振转换器件。该器件由VO₂填充的开口谐振环和中心放置十字的顶层、聚酰亚胺(PI)介质层和金属基底构成。VO₂在绝缘态时,可以实现交叉极化转换功能,在0.48~0.87 THz范围内,偏振转换率大于90%。当VO₂为金属态时,该器件能够实现双频吸收和高灵敏度传感功能。在1.64 THz和2.15 THz频率处的吸收率大于88%。通过改变样品材料的折射率,两个频率点处的传感灵敏度分别约为25.6 GHz/RIU和159 GHz/RIU,品质因子Q分别为71.34和23.12。所提出的超材料多功能器件具有结构简单、可切换功能和高效率极化转换等特性,在未来太赫兹通信、成像等领域都有潜在的应用价值。
结构设计与仿真
本文提出的超材料多功能器件的单元结构如图1所示。该单元结构从上至下依次是由VO₂填充的开口谐振环和金属十字结构构成的顶层结构、PI介质层及底部金属层。本文使用CST Microwave Studio软件对提出的结构及其特性进行仿真研究。太赫兹波沿着z方向垂直入射到超材料结构表面。仿真时,在x和y方向上添加单元周期边界,在z方向添加开放边界条件。

图1 所提出的多功能超材料器件的结构示意图。(a)三维视图;(b)俯视图;(c)侧视图。
参数优化之后,设定其结构单元的周期Px=Py=100 μm,圆环开口角度α=30°,开口圆环外半径R₁=45 μm,开口圆环内半径R₂=42 μm,中心十字的较长边为b=32 μm,中心十字的较短边为a=10 μm,PI介质层的相对介电常数为ε=3.5,损耗角正切值为tan δ=0.0027,厚度为Z₃=45 μm。底层金属材料为金,其厚度为Z₂=0.1 μm,电导率为σ(gold)=4.09×10⁷ S/m。根据之前的研究结果,可以使用Drude模型来描述VO₂在太赫兹波段的特性。通过外部电场、光场和温度场的作用,能够在较短的时间内改变VO₂的相变特性,进而影响VO₂的电导率。在本文中,当VO₂的电导率从小于100 S/m变化为高于200000 S/m时,VO₂可以从绝缘态变化为金属态,能够实现不同的功能。
结果与讨论
VO₂为绝缘态时超表面为偏振转换器
当VO₂处于绝缘态时,该结构可以看作是一个偏振转换器件,能够实现线偏振-线偏振和线偏振-圆偏振转换。工作带宽和转换效率是超材料偏振转换器的重要性能指标。
基于优化后的几何参数,在VO₂处于绝缘态(电导率为20 S/m)时,对0.2~1.2 THz范围内的超材料结构进行仿真,得到了两种模式下的共极化反射和交叉极化反射系数。由于该结构在x和y方向具有对称性,在正常入射条件下,TE模和TM模是简并的,对偏振极化角不敏感,故本文提出的结构在TE模TM模下共极化反射系数与交叉极化反射系数是相同的,如图2(a)所示。在0.48~0.87 THz频率范围内,共极化反射系数相对较低,而交叉极化反射系数较高,可以实现交叉偏振转换。
在频率为0.41 THz和1.0 THz处,交叉极化反射系数和共极化反射系数相等,可以实现线偏振-圆偏振转换。图2(b)给出了计算得到的偏振转换率。从图2(b)可以看出,在0.48~0.87 THz频率范围内,线偏振-交叉线偏振的偏振转换效率高于90%,并且在0.52 THz、0.66 THz和0.85 THz频率处的转换效率接近100%,能够实现完美线偏振-线偏振转换。
由图2可知,在0.4 THz频率附近PCR曲线有明显的峰谷。这是由于在该频点附近存在线偏振-圆偏振转换,在该频点处线-线偏振转换效率受到交叉极化反射和共极化反射转换产生的电磁波极化偏移的影响导致偏振转换效率下降。同时,通过对0.41 THz和1.0 THz处的转换特性进行分析,可以发现在这两个频率处能够实现线偏振-圆偏振转换,可以将入射的线偏振太赫兹波转换为圆偏振太赫兹波。

图2 仿真得到的(a)反射系数和(b)不同偏振入射的PCR
另外,由于超材料结构的工作性能在一定程度上受几何结构参数的影响,为得到最理想的参数,本文研究了结构几何参数对工作性能的影响。在研究过程中,除一个待研究参数改变外,其他参数保持初始设置不变。分别研究了参数b、Z₃和R₁对偏振转换率的影响,如图3所示。如图3(a)所示,偏振转器的工作带宽随着中心十字较长边长度b的增加而减小,带宽变窄,且较高频率处的完美偏振转换频率呈红移的趋势。
由图3(b)可知,介质层厚度Z₃对该结构偏振转换率的影响较小。由图3(c)可知,当开口谐振环外半径R₁从43 μm增加到48 μm时,偏振转换带宽的低频部分受到的影响较大,偏振转换率降低,但高频部分的偏振转换带宽受到影响较小。基于上述分析,在现有的器件加工条件下,当结构参数在一定范围内变化时,对偏振转换性能的影响是可接受的。

图3 当VO₂处于绝缘态时,结构参数对偏振转换率的影响。(a)中心十字长边长b;(b)介质厚度Z₃以及(c)开口谐振环外半径R₁
上述分析结果表明,本文提出的超材料多功能偏振转换器件能够在较宽的频率范围内实现高效率的偏振转换。其可应用在医学成像、偏振转换器件的研制等方面。由于频谱资源充足,太赫兹通信具有比现有微波通信更高的数据容量,偏振和轨道角动量(OAM)复用可以进一步增加信息容量。通过偏振转换来操纵超表面的输出电磁场,可实现诸如平面透镜、光束偏转器、全息成像和涡旋波发生器等各种功能器件。
当VO₂处于金属态时超材料结构性能分析
当VO₂处于金属态时,由VO₂填充缺口的开口谐振环可以近似看作是一个圆环。此时,所设计的超材料结构可以实现双频吸收和传感功能。
金属态时作为双频吸收器
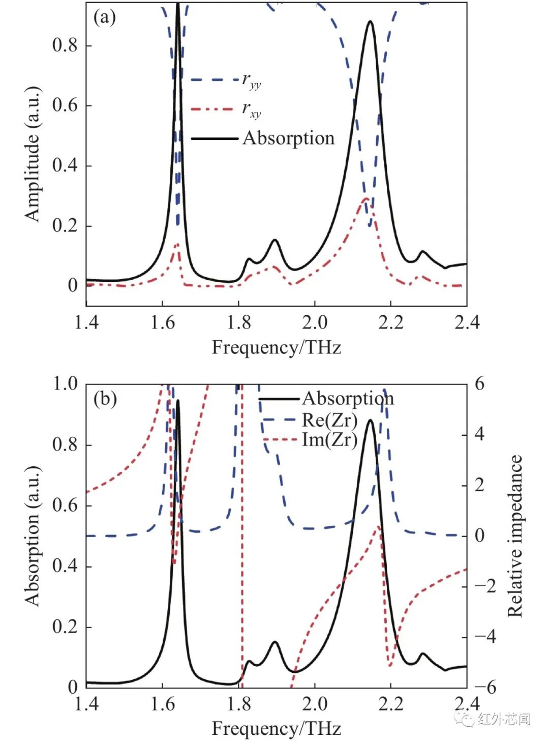
当VO₂处于金属态时,所提出的太赫兹超材料能够实现吸收功能,并研究了其光学特性。当VO₂处于金属态时,计算了超材料结构作为吸收器时的相关工作性能,以及相对阻抗的实部和虚部,结果如图4(a)所示,其中黑色实线表示吸收光谱A(ω),蓝色和红色虚线分别表示吸收器共极化反射和交叉极化反射。从图4(a)中可以看出,在1.64 THz和2.15 THz频率处可以观察到2个不同的吸收峰,吸收率大于88%。且1.64 THz处的吸收峰的带宽小于2.15 THz频率处的吸收峰带宽。
下面将运用阻抗匹配理论阐明吸收器的工作机理。吸收器的相对阻抗的实部和虚部均可由S参数反演法导出。图4(b)给出了所提出吸收器的吸收谱和相对阻抗实部和虚部。从图中可以看出,在1.64 THz和2.15 THz频率处的两个吸收峰附近,相对阻抗的实部逐渐接近于1,虚部逐渐接近于0,在这两个频率处实现了吸收器和空气之间的阻抗匹配。需要说明的是,由于所设计的超材料器件的单元结构具有对称性,当偏振角为90°时,能够得到大致相同的吸收特性,相关结果在文中没有给出。

图4 VO₂处于金属态时,所设计的超材料结构的吸收特性。(a)反射系数和吸收特性;(b)相对阻抗的实部和虚部
当VO₂处于金属态时,研究了部分几何参数(b、R₁、Z₃)对所设计超材料结构的太赫兹吸收特性的影响,如图5所示。由图5(a)可以看出,超材料结构顶层中心十字长边长b的变化会引起吸收谐振峰的轻微红移,且随着b的增加,高频处的吸收也有轻微降低。从图5(b)能够看出,随着介质层Z₃从43 μm增加到47 μm,低频处的吸收峰具有一定程度的红移,且吸收率从接近100%下降到70%左右。
相较于低频处的吸收峰,高频处的吸收峰表现出较为显著的红移现象,吸收率变化不大。从图5(c)可以看出,当顶层圆环结构外半径R₁从43 μm增加到47 μm时,低频处的吸收峰呈现轻微的蓝移现象,且吸收率略微升高,高频处的吸收峰出现轻微红移趋势,但吸收率增加明显。

图5 吸收器单元结构参数对太赫兹吸收率的影响。(a)中心十字长边长b;(b)介质层厚度Z₃;(c)开口谐振环半径R₁
为进一步研究本器件的吸收机理,研究了当入射太赫兹波为TE偏振波时,该吸收结构在两个吸收峰(1.64 THz和2.15 THz)处的顶层微结构的电场分布,如图6所示。图6(a)给出了频率为1.64 THz处微结构上的电场分布,该频率处的电场主要分布在中心十字结构的末端处,与底部金属薄膜层存在很强的耦合,引起了此频率处太赫兹波的吸收。而如图6(b)所示,在频率为2.15 THz处,电场主要均匀分布在顶层的圆环结构上,导致此处太赫兹波的吸收。

图6 顶层微结构在谐振频率。(a)1.64 THz和(b)2.15 THz处的电场分布
最后,本文对不同偏振(TE偏振和TM偏振)入射太赫兹在不同入射角度时的吸收特性进行了研究。从图7(a)可以看出,对于TE偏振入射太赫兹波,当入射角增加时,低频处的吸收峰分裂为两个;高频处的吸收峰表现出红移趋势,且在入射角大于20°时此处吸收峰的谐振逐渐转移到另一个吸收峰上。从图7(b)可以看出,入射角度对TM偏振入射太赫兹波的影响较大,当入射角度大于20°时,吸收特性受影响较大,且分裂为多个频率范围的吸收区域。

图7 不同入射角的超材料结构吸收特性。(a)TE偏振入射;(b)TM偏振入射
金属态时作为传感器
根据太赫兹超材料的传输特性,本文提出的超材料结构能够对不同折射率的外部介质表现出良好的传感特性,可通过改变背景介质的折射率得到吸收的变化特性。由此,对该结构在1.64 THz和2.15 THz频率处的传感特性进行研究。将不同折射率的待测介质层设置在该超材料结构的顶层用来模拟传感样品环境。如图8(a)所示,随着折射率从1.0增加到1.25,两个吸收峰呈现红移的变化趋势,这表明该结构对外界环境的介电常数比较敏感,所以这种结构在传感方面具有较大的应用潜力。
灵敏度是衡量传感器静态特性的一个重要指标,可以通过灵敏度来衡量折射率传感器的性能。对于低频谐振频率1.64 THz处的吸收峰,通过线性拟合,可求得该谐振频率处的传感灵敏度约为25.6 GHz/RIU,如图8(b)所示。对于较高谐振频率2.15 THz处的吸收峰,通过线性拟合可得该频率处的传感灵敏度约为159 GHz/RIU,如图8(c)所示。相比较而言,较高频率吸收峰处的传感灵敏度较高。传感器的质量因子Q可以表示为Q=f₀/∆f,其中,f₀是谐振吸收峰的谐振频率,∆f是谐振频率处的半高宽度。
通过计算,在1.64 THz和2.15 THz处吸收峰的Q因子分别为71.34和23.12。综上分析,与其他传统材料的传感器相比,该结构灵敏度高,传感性能良好,且响应速度优于传统传感器。该结构在金属态时,实现的吸收和传感功能均可应用在能量采集和光学传感中,可拓展到太赫兹成像、检测等领域。基于超材料吸收器的生物传感可以通过增强局域电磁谐振,实现亚波长分辨,大大提高传感器的分辨率与灵敏度。目前基于超材料的太赫兹传感器已被广泛应用于蛋白质浓度检测、病毒检测、癌细胞及其标记物检测。

图8 吸收器用作传感器时的性能分析。
(a)吸收特性随待测样品折射率的变化情况;(b)1.64 THz频率处的传感特性;(c)2.15 THz频率处的传感特性
结论
本文提出一种基于VO₂相变特性的开口谐振环结构多功能超材料器件,该器件在VO₂处于不同条件下可实现功能切换。当VO₂处于绝缘态时,此结构作为偏振转换器可实现高效率的线偏振-线偏振转换,在0.48~0.87 THz频率范围内,偏振转换率大于90%。当VO₂处于金属态时,可以实现双频吸收和高灵敏度传感功能。
在1.64 THz和2.15 THz频率处具有2个不同的吸收峰,吸收率大于88%。接着研究了在这两个频率点处的传感特性,通过改变样品材料的折射率得出,两个频率点处的传感灵敏度分别约为25.6 GHz/RIU和159 GHz/RIU,而两个频率点处的Q因子分别为71.34和23.12,展现出优良的传感性能。同时还研究了结构参数对偏振转换性能和吸收性能的影响,从而为样品的实际加工提供参考。本文提出的超材料器件具有结构简单、调谐范围广、多功能应用等特点,大大提升了器件实用可行性,并为太赫兹波段多功能器件的研究提供了思路。
审核编辑:刘清
龙腾半导体SGT MOSFET LSGT085R018在智慧农业无