时间:2023-05-10 14:39
人气:
作者:admin
脉宽调制 ,PWM(Pulse Width Modulation),通过对一系列脉冲的宽度进行调制,来等效地获得所需要波形(含形状和幅值)。PWM控制技术主要应用在电力电子技术行业,具体讲包括风力发电、电机调速、直流供电等领域。在其诸多应用领域中,在这我们只讲电动汽车中的PWM应用。
电动汽车上的电源是蓄电池,蓄电池为电动汽车的驱动电机提供电能,电机将电源的电能转化为机械能,通过传动装置或直接驱动车轮和工作装置,此时的电机称为“电动机”。蓄电池是直流电,需要将直流电逆变为交流电(逆变电路,电动汽车中的逆变属于无源逆变),这一过程中几乎都是采用PWM技术。PWM 逆变电路分为电压型和电流型两种,目前实用的PWM 逆变电路几乎都是电压型电路。
电机除了担任动力传递的角色之外,还能够为电池进行反向充电,此时电机被称为“发电机”。在电动车减速时,制动能量回收系统则是通过电机将电能传回给电池。将直流转换为交流的电路称为逆变电路,将交流转换为直流的电路称为整流电路。将电能反哺给电池的过程则需要用到整流电路。电机通过控制器实现交/直流的互换,如下图所示。

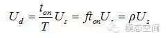
在这以直流斩波器说明PWM概念,电机系统的原理图和电压波形如下图所示。当开关S导通时,直流电源电压Us加到电动机上,当S关断时,直流电源与电机脱开,电动机电枢电流经续流二极管VD续流,电机两端电压接近于零。如此反复,电枢端电压波形如右图所示,好像是电源电压Us在ton时间内被接通,又在T-ton时间内被斩断,故称为“斩波”。

电机得到的平均电压为

式中:T,开关周期
f,开关频率,等于1/T
ton,导通时间
ρ,占空比,ρ=ton/T=fton
根据对输出电压平均值进行调制的方式不同,可以划分三种控制方式:
T不变,变ton: 脉冲宽度调制 (PWM);
ton不变,变T: 脉冲频率调制 (PFM);
T和ton都可调: 混合型 。
以上三种控制技术,数PWM 控制技术在逆变电路中应用最广,最具有代表性,应用的逆变电路绝大部分都是PWM 型,除了功率很大的逆变装置外。PWM 控制技术正是有赖于在逆变电路中的应用,才确定了它在电力电子技术中的重要地位。
像在AC电机控制器中,通过PWM控制开关频率实现控制转速,由于PWM有着其他技术无法比拟的优点,例如:调速范围宽、快速性好、波形系数好、功率因数好等,因而,得到了广泛的应用。
我国交流电的频率是50Hz,因此,交流电的波形是正弦波。那么,PWM控制技术的目标就是用什么样的信号或波形来代替这个正弦波交流电。这个信号可以是形状不同的各种窄脉冲,如方波、三角波等。而在我们今天要讲的电动汽车中采用的是等幅但不等宽的脉冲来代替这个正弦波。
在这以半个正弦波为例进行说明,将正弦半波进行N等分,可以看成是N个相连的脉冲序列,宽度相等,但幅值不等,如下图a)所示。然后用矩形脉冲代替这N个宽度相等,幅值不等的脉冲,而矩形脉冲是等幅,不等宽的脉冲,如下图b)所示。并且这个脉冲的宽度按正弦规律变化。而这一系列等幅不等宽的脉冲,我们称之为PWM波。

用PWM波形代替这个正弦半波的过程如下图所示。首先将正弦半波等分,每个等分的脉冲宽度是相同的,但幅值不同,然后使用一系列PWM波,即等幅但不等宽的脉冲来代替这个正弦半波。每个等幅不等宽的脉冲与等宽脉冲的面积(冲量)相等,中点重合。PWM波的宽度按正弦规律变化,若要改变等效输出正弦波幅值,按同一比例改变各脉冲宽度即可。最后,这个PWM波等效为正弦交流电。

对于正弦波的负半周,采取相同的方法,得到PWM波形,因此正弦波一个完整的周期的等效PWM波形如下图所示。

根据面积等效原理,正弦波还可以等效为下图中的PWM波,而且这种方式在实际应用中更为常见。

PWM控制技术对半导体开关器件的导通和关断进行控制,使输出端得到一系列幅值相等而宽度不相等的脉冲,即PWM波,用PWM波来代替正弦交流电压。按一定的规则对各脉冲的宽度进行调制,既可改变逆变电路输出电压的大小,也可改变输出频率。如下图所示,当改变脉冲的周期(开关频率)时,起到了改变输出频率的作用。

上图是以单相电压型逆变电路为例进行说明的,因为直流电源Ud的矩形波U0展开成傅立叶级数为

所以,图中的频率为开关频率的1,3,5倍。开关周期越短,频率越高。开关频率及它的倍频对应瀑布图中伞状阶次中的中心频率,如下图所示。

对于PWM而言,由于脉冲的宽度是不变的,因此,下图中相邻两条蓝色虚线对应的时间是不变的,调制的是中间绿色虚线的时间,也就是脉冲宽度,通过调节开关的导通时间来控制脉冲宽度。对信号1进行调制,按某个规律进行脉宽调制,从而获得信号2,信号1与信号2的原始频率是相同的(因为开关周期没有变化),只是脉冲宽度不同。如果开关周期时刻发生变化,则对应的调制称为脉冲频率调制。

将脉冲宽度按正弦规律变化进行调制,调制成想要的正弦波,若要改变等效输出正弦波幅值,按同一比例改变各脉冲宽度即可。

在进行PWM控制时,脉冲信号通过电机的惯性进行平滑。理想的交流电压应是正弦波,如下图中的正弦参考(图中红线表示),但实际电压(图中绿线表示)是存在波动区间(图中两虚线表示的区间),这个波动区间也称为迟滞带。正是因为迟滞带的存在,当对信号进行FFT分析时,才使得瀑布图中出现了伞状的阶次线(关于这一点,后续将有详细介绍)。

以上介绍的DC转换到AC的控制过程。将直流转换为交流的电路称为逆变电路,PWM控制技术在逆变电路中应用广泛。将交流转换为直流的电路称为整流电路,同样,PWM控制技术也可应用于整流电路,可以看成逆变电路中的PWM技术向整流电路的延伸,这一小节主要讲述整流过程中的应用。
由于交流电不同的国家采用的标准是不相同的,像USA交流电是110V,60Hz,而我国采用的是220V,50Hz。对于一个正弦的交流电来说,不进行任何转换,其直流电压为0。
当对单相交流电进行整流时,又分为半波整流和全波整流。半波整流是指对半个正弦波进行整流,整流后的直流电压为交流电峰值/л,直流电压如下图中虚线所示。

全波整流是指对交流电整个正弦波进行整流,包括负半部分,整流后的直流电压为交流电峰值/л的2倍,直流电压如下图中虚线所示。相比于半波整流,全波整流获得的直流电压幅值提高一倍。

三相交流电也分半波整流和全波整流。三相交流电中每相相差为120度,如下图所示,此时的直流电压为0。

当对三相交流电进行半波整流时,整流后的直流电压如图中黑色曲线如示。

将直流电压曲线单独拿出来,如下图所示。

倘若各相都正常工作,由于我国交流电的频率为50Hz,因此,信号中的频率成分应为主线频率(50Hz)和3倍的主线频率(150Hz),如下图所示。

若是对三相交流电采用全波整流,则整流后的波形如下图所示,由于三相中每相相差120度,而全波整流时,将负部分反向,因此,此时各相相差60度,如下图所示。

整流后得到的直流电压如下图中黑色曲线所示,虚线为直流电压幅值。

从下图可以看出,全波整流后的直流电压更平直,与半波整流相比,直流电压波动更小,更趋向于直流电。

此时信号中的频率成分为主线频率(50Hz)和6倍的主线频率(300Hz),如下图所示。

如果全波整流中有某一相交流电出现问题,也就是说控制器控制过程中出现问题,则在整流中会导致某相交流电丢失,如下图所示。与上面的全波整流正常的情况相比,可以看出,绿色相交流电的后半个正弦波丢失了,则整流后的直流电压曲线在这部分有明显的下降,见下图中黑色曲线。

正常的信号频率应该是主线频率和6倍的线频率,如果控制器出现问题,导致某相交流电丢失,则信号频率将出现其他倍频。如果在三相全波整流中出现高的2,3,4和5倍线频率,则表明整流电路出现了问题,如下图所示。这些倍频都是问题频率。

对于正常的整流电路,信号的正常频率应如下表所示。若有大的其他频率成分出现,则说明整流出现了问题。
| 类型 | 期望频率 |
|---|---|
| 单相,半波整流 | 1倍线频率 |
| 单相,全波整流 | 2倍线频率 |
| 三相,半波整流 | 3倍线频率 |
| 三相,全波整流 | 6倍线频率 |
上一篇:一文了解PWM原理、频率与占空比
下一篇:常用的电子元器件及其分类方法
龙腾半导体SGT MOSFET LSGT085R018在智慧农业无