时间:2023-05-04 15:23
人气:
作者:admin
上小节主要会聚焦在MOS管特性,由MOS管搭建的简单逻辑器件,以及D触发器器件。
本小节将从这些逻辑器件,门电路,触发器开始,搭建一些相对复杂点的功能电路,比如加法器和减法器等。从这个过程中,体会一下如何从基本逻辑门开始,构建功能稍微复杂的电路。
内容概括
加法器的介绍,其内容包括:
二进制加法器
减法器
乘法器
0****1
二进制加法器
01
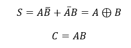
半加器
半加器不考虑低位进位来的进位值,只有两个输入,两个输出。由一个与门和异或门构成,
真值表如下:

逻辑表达式 :

02
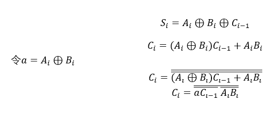
全加器
当多位数相加时,半加器可用于最低位求和,并给出进位数。第二位的相加有两个待加数和,还有一个来自前面低位送来的进位数。这三个数相加,得出本位和数(全加和数)和进位数。这种就是“全加"。
**真值表如下: **
| 被加数A | 加数B | 进位输入Ci | 和数S | 进位输出Co |
|---|---|---|---|---|
| 0 | 0 | 0 | 0 | 0 |
| 0 | 0 | 1 | 1 | 0 |
| 0 | 1 | 0 | 1 | 0 |
| 0 | 1 | 1 | 0 | 1 |
| 1 | 0 | 0 | 1 | 0 |
| 1 | 0 | 1 | 0 | 1 |
| 1 | 1 | 0 | 0 | 1 |
| 1 | 1 | 1 | 1 | 1 |
逻辑表达式 :

经过上面的介绍我相信大家对加法器已经有了一定了解,接下来我们为大家介绍如何用与非门等设计一个全加法器。首先我们需要对 公式化简 ,这里就用到了前面介绍的逻辑转换律。


02
减法器
减法器可以由基础的半减器和全减器模块组成,或者基于加法器和控制信号搭建。
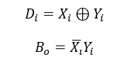
定义Nbit被减数x,减数Y,差为D(difference);来自低bit的借位Bi,想高bit借位Bi+1,i为bit序号。
01
半减器
半减器用于计算两bit Xi和Yi的减法,输出结果Di和向高位的借位Bo(Borrow output)。其真值表、逻辑表达式如下:


02
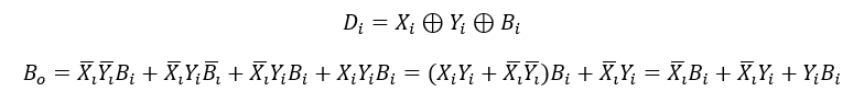
全减法器
全减器不同于半减器在于,全减器输入来自低位的借位Bi(Borrow input),另外两个输入xi、yi,输出为Di和向高位借位Bo。
其真值表、逻辑表达式如下:


接下来我们为大家介绍如何用与非门等设计一个全减法器:

03
乘法器(阵列乘法器)
实现乘法的比较常用的方法是类似与手工计算乘法的方式:

对应的硬件结构就是阵列乘法器(array multiplier)它有三个功能: 产生部分积,累加部分积和最终相加 ,其中HA为半加器,FA为全加器。

上一篇:数字电路基础知识分享3
龙腾半导体SGT MOSFET LSGT085R018在智慧农业无