时间:2023-05-06 16:10
人气:
作者:admin
这有个例子,如下:

咋一看有点傻眼了,这2个二极管是干啥的,莫大疑问,需要仔细分析原理,
首先既然是振荡电路需满足起振条件如图(图中都为向量):

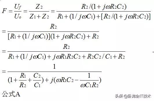
图中向量A=Uo/Ui ;F=Uf/Uo
起振条件:|AF|>1且Ui 与Uf同相位,这样才能自激励
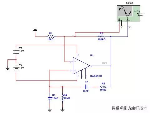
当起振后又需要|AF|=1,才能稳定振荡(也就是Ui =Uf),而UA741CD是个高增益运放,把电路先做简化然后推导分析,简化如下:


当此网络发生谐振时虚部为零即:

此为谐振角频率如果取R1=R2=R,C1=C2=C,那么

F的模如下:


F的相角如下:


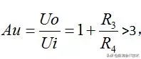
当选频正反馈网络谐振时正反馈系数|F|=1/3,由起振条件|AF|>1 ,需要负反馈网络组成的闭环增益大于3即

而起振后应该Au=3,所以需要R3/R4分别是负温度系数热敏电阻和正温度系数热敏电阻,如果不用热敏电阻,有啥办法到稳定后让放大倍数减小呢?我们先把例子中的电路改成这样:

这时Au=11倍看波形已经限幅了如图,而且很容易起振:

如果把R3改成30k,Au=4倍看看波形如何:

如果把R3改成21k,Au=3.1倍看看波形如何:

如果把R3改成20k,Au=3倍看看波形永远不会起振的,如果我们想个办法起振时候为4倍,而起振完成后变成稍稍小于3倍,不就不在限幅也能起振如下图:

很明显起振时候Au=4,而起振后由于二极管导通R2//R3=18.9K,得Au≈2.89倍,得到波形如下:

而例子中也是这个原理,如果运放是单电源又该咋办呢,就需要抬一下直流电平更改如下:

R4//R7=R5的值,交流通路就是把V2和C3短路即可
原理:V2通过R7和R4分压由于2个阻值相等,又由于运放正端输入阻抗无穷大,那么可以认为运放正端的直流电平为V2/2,而负端"虚短"缘故则也为V2/2,从而输出处也为V2/2
的直流电平(也可以看出一个电压跟随器,所以负端和输出都为V2/2的直流电平),交流通路就是把R7和R1接地,由于R4//R7=R5,交流通路没变,所以还是满足振荡条件的。
仿真结果如下图:

龙腾半导体SGT MOSFET LSGT085R018在智慧农业无