时间:2023-03-15 09:37
人气:
作者:admin
1. 基本特性介绍
UCC217XX-Q1是一系列电流隔离单通道栅极驱动器,可用于驱动碳化硅 MOSFET 和IGBT ,具有高级保护功能,一流的动态性能和稳健性。该系列隔离栅极驱动器的主要特性介绍有:
基本功能:
3/5.7kVRMS隔离电压
10A 驱动强度
12V VDD 紫外线输出
130ns 最大传播延迟
150V/ns 最小 CMTI
主动保护:
快速的 DESAT/OC 保护
软关断
Active miller clamp
该系列隔离栅极驱动器集成一路隔离式模拟转PWM的 传感器,等效为一个通道的隔离采样芯片,可用于温度或电压检测,进一步提高驱动的多功能性并简化系统设计工作量,尺寸和成本。
该隔离通道未经校准的精度为±3%,对于温度这类通过非线性NTC电阻来采样的方式会出现某些区间测量灵敏度不高而且误差较大的情况,本文即是给出一些方法,用于实现高精度的温度采样。
2. UCC217XX系列隔离温度采样原理介绍
如图1-1,UCC217XX的AIN接口内置一个200uA的电流源,在连接外部NTC之后会产生一个压降,此电压被调制后复用DESAT/OC错误反馈信号的隔离通道传输至原边,并被解调为400kHz的PWM信号,此PWM信号经过一定的RC滤波器,即可得到一个稳定的电压。
AIN的电压在0.6V-4.5V范围内时隔离采样的线性度较好,在AIN电压到PWM的转换中,PWM的占空比满足以下公式:

即0.6V-4.5V的AIN电压对应88%-10%的PWM占空比。如图1-2所反映的参数表,隔离温度采样中精度较差的主要原因为电流源-6uA-9uA的偏差以及PWM转换时±1.5%的偏差。

图1-1 隔离温度采样原理示意

图1-2 隔离通道参数表
3. 温度采样灵敏度分析
灵敏度定义为单位温度变化在采样ADC上产生的电压变化,在ADC有效位数确定的情况下,灵敏度越高则越容易采样出温度的变化,采样系统的分辨率就越高。
通常VCC=5V,此时PWM经过滤波后得到的VPWM=5-VAIN,意味着温度采样的灵敏度在VPWM和VAIN的体现是一致的,仅仅是电压变化的方向相反,因此可以直接分析VAIN对温度的灵敏度。
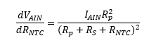
在温度采样系统中,通常使用NTC来将温度转换为电压,因为NTC的电阻范围宽,所能产生的电压范围也较宽。为了限制AIN端口的电压在0.6V-4.5V,待测量的NTC需要串并联适当阻值的电阻,如下图。电阻的取值满足:


对本系列芯片,取Rp=22kΩ,Rs=4kΩ。在该电阻网络下,AIN的端口电压表达式为:

端口电压对于NTC电阻的灵敏度可通过求导获得:

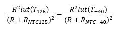
为了获取端口电压对温度的灵敏度,需要获得NTC电阻对温度的导数。NTC电阻和温度的关系可通过一个指数函数进行拟合,如图1-3所示的某IGBT模块内置NTC的参数表。此拟合在全温度范围误差率也较大,为了精确测量温度,通常NTC都会有对应温度的查找表。通过将相邻温度T1、T2的电阻变化率作为导数的近似,可得到导数的查找表-lut(T):

通过求导的传递,可得端口电压对温度的灵敏度:


图1-3 某IGBT NTC参数表
通常NTC需要测量-40°C-125°C范围内的温度,在该IGBT的NTC特性下所得到的灵敏度和AIN端电压如表1-1。可见这款NTC在当前采样系统中的灵敏度变化非常大,高温环境测量灵敏度大大下降,所以该NTC并不是合适的选择。

表1-1 IGBT模块内置NTC采样灵敏度计算
不同NTC在25°C下的电阻不同,但其阻值随温度的指数变化趋势是类似的。在灵敏度公式中加入系数k,使得NTC的特性相对于标准5k的NTC变化k倍,可以用来计算高低温灵敏度一致需求下所需要的k值。

观察等式和NTC特性可发现,高温时k在分母的作用较小,等效灵敏度变化接近k倍,低温时,Rp+Rs在分母中作用较小,等效灵敏度变化1/k倍,则k的平方等于5kΩ-NTC场景下高低温灵敏度的倍数,可取k=6.396,即NTC在25°C下的电阻为32kΩ。因为高温时Rp+Rs和NTC阻值差距不如低温时大,灵敏度提升相比k倍会略低,选择比较常见的在25°C为40kΩ的NTC。计算后的灵敏度如表1-2,可见高低温时灵敏度一致,相比5kΩ-NTC,高温NTC灵敏度提升7倍。

表1-2 NTC 40K采样灵敏度计算
4. 使用外置LDO来提高灵敏度
在使用某些IGBT模块的应用场景,NTC为内部集成,不可更改,所以无法通过对NTC的选型来提高精度,因此需要用右图的外置LDO,提升NTC中流过的电流,增大小电阻NTC下的灵敏度。在此场景下,AIN端口的电压表达式如下,其中R为Rp和Rs并联后的阻值。从右图和公式中可以看出LDO和内置电流源对NTC产生的压降作用是相反的,因此在电路参数设计中不光要考虑到AIN端口的电压范围,还要考虑到电压随温度的单调性。


对端口电压的求导同样能得到温度采样的灵敏度,等效于将内置电流源替换为反向电流源。

按照高低温灵敏度相近的条件配置电路参数,得到以下条件:

考虑NTC在高低温下的条件下,可得近似条件:

在IGBT模块内置NTC配置下,可计算得并联等效电阻R=3.4kΩ。Rp可取无限大,即不使用Rp,可以做到Rs最小化,以得到更大得反向电流源效果。
从端口电压范围可以导出以下条件,取LDO输出电压4.5V,Rs为3kΩ。

经过计算,可得到表1-3的灵敏度结果,高温时的灵敏度依旧可以显著提高。外置的LDO需采用可调LDO,可选TPS715-Q1,其具有低静态功耗、封装尺寸小的特性。

表1-3 IGBT模块内置NTC+外置LDO方案采样灵敏度计算
5. 隔离采样主要误差来源分析
根据datasheet上的描述,主要的芯片内部误差来源于内置电流源的误差以及电压转换为PWM时的误差,包含误差的转换结果根据是否使用LDO可表达为下述两个等式,根据表达式可以看出电流误差作为乘积项叠加在外部电阻上,因此通过两点校准可以实现很高的精度。

根据以上两个表达式,误差的大小可统一表示为

通过实验验证这两类误差的特性,采用UCC21750的评估板进行实验。图1-4为该评估板的PCB示意图,通过修改红圈所示的电阻,模拟不同温度时的NTC连接在采样系统中的结果。表1-4为实验结果,最左侧三列为低压侧通过测量PWM滤波后的电压于VCC电压相除,得到PWM占空比。

中间四列为高压侧通过测量AIN端口的电压和连接电阻的阻值,计算出理论占空比和内置电流源大小。

右侧的三列分别为根据电压推算的理论占空比与实测占空比之间的误差、标称电流源大小与实际电流源大小的误差、采样系统反推的AIN电压和AIN电压的误差。可以看出因为个体芯片的工艺问题出现的绝对性误差较大,在测量的量程范围内误差的变化都不是很大,因此可以使用两点校准提高采样精度。




图1-4 UCC21750评估板PCB

表1-4 实验结果评估
6. 误差对温度采样的影响
在VCC=5V时,VPWM的变化量与VAIN变化量一致,因此将误差实验所得的VPWM电压误差除以对应温度的灵敏度,可以反应在该温度时的近似误差:

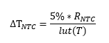
对于广泛使用的精度一般的NTC,其在各个温度的阻值本身可能存在±5%的偏差,此类误差也是温度采样偏差的主要因素。电阻的误差可通过以下的表达式来近似反应到温度的偏差:

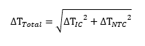
因为NTC电阻误差通过恒定电流源反应到了AIN上电压的误差是线性的,且lut和sensitivity都是通过在某一点温度附近降NTC本身电阻特性线性化,因此可以满足误差的叠加定理:

如表1-5和1-6 ,在IGBT模块内置NTC的温度采样场景中,如果没有采用外置LDO方案,在125附近通过拟合估计推算的误差会接近45°C,而经过外置LDO加强流经NTC的电流后,在高低温环境下推测的误差能减小至5°C左右。

表1-5 未加LDO的IGBT模块内置NTC采样误差评估

表1-6 外置LDO的IGBT模块内置NTC采样误差评估
7. 如何利用两点法来校正采样系统
在未经校准的情况下,温度采样的最大误差主要由芯片本身的误差决定,如第6小节的主要误差分析可得出芯片的主要偏差可采用两点法校正,即在出厂前利用标准的两个电阻推算出PWM转换误差与电流源误差,并利用这两个参数反推AIN电压,能达到更高的精度。
根据表1-5的实测数据,取测试电阻R1=6.198kΩ和R2=17.926kΩ为标准电阻,可估算该芯片电流源为:

根据电流大小,可推算出PWM转换误差数值:

在得到以上两个主要偏差数值后,带入采样系统重新计算,得到如表1-7的误差评估,最大PWM占空比转换误差降为0.066%,最大电流源误差将为1.112uA。表1-8和表1-9反应了在IGBT模块内置NTC的温度采样场景中,是否使用外置LDO所能达到最高精度。未使用LDO的方案经过两点校准可以使得误差从45°C降低至6°C;使用LDO的方案经过校准后,误差已经主要有NTC误差决定。
审核编辑:郭婷
龙腾半导体SGT MOSFET LSGT085R018在智慧农业无