时间:2017-09-01 09:11
人气:
作者:admin
补偿器是使控制系统在动态运行中快速稳定的电子滤波器。在绝大多数的研究中,补偿器是置于运算放大器(op amp) 周围的一个有源电路,其特点被认为是完美的。如果这种方法可用于低带宽系统,如今的转换器即使输出电容小,交叉频率超过100千赫就能确保足够快的瞬态响应以限制输出压降。在这些应用中,考虑一个完美的运算放大器的计算不再工作,并最终诱导严重的增益和相位失真。通过揭示开环增益和所选运放的两个低频和高频磁点如何影响整体响应,可以选择合适的元件,避免影响交叉时所需的增益和相位特性。这第一部分将重点关注开环增益的影响,有意忽略了低频和高频磁点。第二部分将探讨这些额外的极点的影响,并显示如果没有适当选择,它们如何削弱最终结果。
不同类别的补偿器
补偿器的作用是形成一个给定电路的频率响应-例如降压转换器-以便一旦闭环,控制系统表现出所需的交叉频率 fc 和适当的相位 / 增益裕度。补偿器通过提供在 fc 的一些中期波段的增益或衰减强行形成 0 dB 交叉点。相位裕度 jm 由补偿器在 fc 表现出的相位提升(phase boost)量调节。最后,增益裕度取决于交叉后补偿器调降增益的能力。
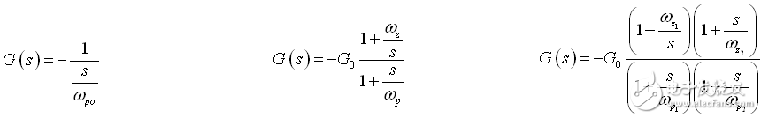
有不同类型的补偿器,其在开关转换器中通常命名为 type 1 、type 2 和 type 3 。所有三个型号在原点都有一个极点以提供最大可用准静态增益(S = 0),提供一个精确的输出变量。type-1 补偿器是个简单的积分电路,完全不提供相位提升。type 2 基于 type 1,和增加了一个极 / 零对以提供最大90°的相位提升。最后,type-3 电路提供另一个极零对,可提升相位达180°。图1显示了三种补偿器的频率响应(幅度和相位)及各自的传递函数表达式。更多关于这些电路的信息请查阅[ 1 ]。


图1:您选择的补偿器与您想要的相位提升量有关
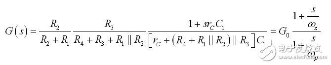
Type-2 补偿器常见于电流模式电源,其最大相位提升90°,可提供大量补偿。图2所示为它用于运算放大器周围。您可观察一个检测所监测变量(Vout,本例子中为输出电压)的电阻分压器和几个形成滤波器的无源元件。为确定该转换器的传递函数,我们将首先考虑运放的开环增益 AOL ,并看看它如何影响最终的表达式。该电路的传递函数 G 是联系励磁信号 Vout 到输出响应 VFB 的数学关系。
图2:在该补偿器中,我们考虑运放具有有限开环增益,但我们尚不考虑其内部极点。
简介快速分析技术
有许多方法来确定该滤波器的动态响应。本文将使用快速分析电路技术(FACTs),如[ 2 ]和[ 3 ] 所描述的。这些 FACTs 的基本原理是确定在两个不同条件下的电路时间常数:激励信号消失(Vout降至0 V)时和响应清零(VFB= 0)时。通过使用这种技术,您将了解确定一个特定的传递函数有多快速和直观。
如参考文献所示,一个具有非零准静态增益的第一阶系统的传递函数可表示为:

(1)
首项 G0 是 S = 0 时系统表现出的增益。视情况而定,该项带有单位。在这里,因为我们谈论的增益是[V] / [V] ,没有单位,G 是无量纲的。分子的 N(s) 控制传递函数的零点。在数学上,零点是个特定的点 sz,其响应为空。从理论上讲,考虑到激励信号覆盖整个 s 面(谐波模式下不仅在垂直轴),当输入信号调到零角频率 sz ,零点表现为输出响应的调零。电路中一些特定阻抗组合阻挡了信号传播,响应为0 V,尽管存在激励源。零点是分子的根。请注意这是个方便的数学抽象,大大有助于通过检测找到零点,无需写一连串代数。关于这种方法的更多细节请查阅[ 4 ]。
分母 D(s ) 由电路自然时间常数构成。通过设置激励信号为0和确定这种结构中所考虑的电容或电感“所示”的阻抗而得出这些时间常数 t= RC 或 t= L / R 。通过“观察”,我的意思是您想象把欧姆表置于暂时移除的电容或电感器,并读取它显示的电阻。这其实是个相当简单的练习。看看图3无源电路,您看到一个注入源-激励-偏置网络的左侧。输入信号通过网格和节点传播以形成观察到的电阻 R3 的响应。
The response:响应
The excitation:励磁
图3:确定电路的时间常数需要将励磁设置为0,并观察从电路中暂时移除的能量存储元件所提供的电阻。
为确定本例电路的时间常数,我们将励磁设置为0(一个 0V 电压源换为短路和 0A 电流源开路),拆下电容器。然后,我们连接(在我们头脑中)一个欧姆表,以确定由电容器端提供的电阻。图4引导您进行这些步骤。

The excitation is set to 0:励磁设为0
For example:例如
图4:在 0V 源换为短路后,您确定电容器端的电阻。
如果您按图4进行练习,您“看到”R1 与 R2 并联后与与 R4 串联,所有这些与 R3 并联后与 rC 串联。该电路的时间常数只通过 R 和 C1 即可计算得出:

(2)
我们可证明,一个第一阶系统的极点是其时间常数的倒数。因此:

(3)
现在,s= 0 时这个电路的准静态增益是多少?在直流条件下,电感器短路,电容器开路。把这个概念应用于图3的电路,绘制如图5所示。您想象在 R4 前切断连接,会看到一个含 R1 和 R2 的电阻分压器。R2 上的戴维宁(Thévenin)电压为:

(4)
输出电阻 Rth 是 R1 与 R2 并联的值。因此完整的传递函数涉及到与 Rth 串联的 R4 和加载的 R3 所构成的电阻分压器。rC 是断开的,由于电容 C1 在这直流分析中被移除。因此可写:

(5)
您断开直流电路中的电容器,计算这个简单的电阻排列的传递函数。
基本就是这些了,我们正错过零点。我们如何知道是否到了零点?嗯,这是个有用的技巧:在你的头脑中考虑图3的电路,短路电容 C1 。现在,假设您激励具有短路电容器的电路。您能够基于示波器观察 Vout 的响应吗?当然, rC 短路 R3 ,尽管振幅可能低,输入信号仍会传播并有响应。如果这个练习的答案是“是的,尽管 C1 短路,但仍然有响应”那么有与 C1 有关的零点。如果您处理含一个电感 L1 的电路,然后进行同样的练习,但采用电感开路。如果在这模式仍有响应,那么有与 L1 有关的零点。
我们在序言中说,零点通过阻断激励信号的传播而在电路中表现出来,并产生输出为空。如果我们考虑一个变形电路–其中 C1 被
1/sC1 代替–如图6所示,当励磁偏移网络,有什么特定的条件意味着响应为空?有一个空响应只意味在 R3 循环的电流为0。如果电阻没有电流,没有电压施加和 Vout 是 0 V,这不是短路,而是虚拟的接地。
图6:在这变形电路中,当 rC 和 C1 串联转化为短路,响应消失。
如果 R3 没有电流,那么 rC 和 1/sC1 串联创建一个转换的短路:

(6)
根 sz 是我们需要的零点位置:

(7)
从而有:

(8)
现在,我们可以组合所有这些结果,形成以图3电路为特征的最终的传递函数:

(9)
这就是所谓的低熵表达式,您可立即识别增益、极点和零点。高熵表达式将在考虑阻抗分压器时通过施加大规模外力到原来的电路来获得,例如:

(10)
不只您可能在推导表达式时犯错误--我也会!但是将结果格式化到像(9)这样需要更多的精力。此外,请注意,在写(9)时我们没有写一行代数。如果我们后来发现一个错误,那么易于回到一个单独的图纸并单独修复它。(9)的校正将是容易的。现在尝试在(10)进行相同的修正,您可能会从头开始。您检查一下,在 Mathcad® 表绘制的表达式(9)和(10)的频率响应是相同的,如图7所示。

图7:快速 Mathcad® 告诉您用 FACTs 推导出的表达式是否与由原表达式返回的响应相匹配。
FACTs 的简介意在说明在简单和更复杂的电路上使用它们是多么轻松和高效。通过将一个复杂的体系结构分解为简单的单独的电路,您可以很快地编写传递函数,有时只通过检查,正如我们所做的那样。既然我们已介绍了工具,让我们把它应用到我们的 type 2 补偿器。
FACTs 应用于 Type-2 补偿器
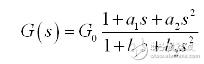
为高效地运用 FACTs 到图2的电路,我们开始于计算储能元件: C1 和 C2 。考虑到它们的独立状态可变—如它们不是串联的或并行的--这是个二阶系统。考虑非零准静态增益,这样的系统可以表示为以下形式:

(11)
对于二阶系统,我们可以证明分母遵循下列公式:

(12)
系数 s 仅仅是确定零点激励的时间常数之和。S² 系数稍微复杂,因为它引入了一个新的符号:
。此符号意味着您“看到”的 C2 终端的阻抗,而 C1 由短路取代。乍一看有点难以理解,但没有不可逾越的,我们用几句话解释就会明白。
按照求解图3电路的途径,我们可研究 s= 0 的系统,如图8所示。在分析的过程中,Vref 是个完美的源及其动态响应为0(忽略我们应用的调制,它的电压是固定的)。因此,它自然不存在于小信号电路,在交流分析中采用短路的形式。

图8:在直流条件下,断开所有的电容:运算放大器运行于开环配置。
运算放大器提供的电压相当于开环增益 AOL 的 e 倍。反相引脚的电压与低边阻抗 Rlower 有关,在这种情况下,e 是个非零的值:

(13)
在这个电路中,我们有两个电容,因此有两个单独的时间常数。为确定与 C2 有关的第一个时间常数,我们将激励信号设为0,我们从看到的 C2 确定阻抗,C2 连接端子,而 C1 从电路中移除。草图如图9。

Set excitation to 0:将励磁设为0
图9:与电容 C2 有关的第一个时间常数:在其端子间您看到的阻抗是多少?
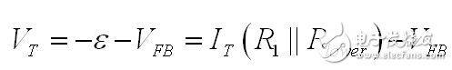
如果在前面的例子检查得很好,电压控制源的存在-运算放大器-用这简单的方法是行不通的。为确定由 C2 端提供的阻抗,我们可连接测试生成器 IT ,我们将决定其两端的电压 VT 。然后 VT / IT 会给我们提供想要的阻抗。涉及电流源的草图如图10所示.。您可写的第一个简单的等式与 e 有关。运算放大器的输入引脚之间的电压是施加在并联的 R1 和 Rlower 的电压的负值:

(14)
:您安装一个测试发生器以确定 C2 两端的阻抗。
运算放大器的输出为开环增益 AOL 的 e 倍。因此:

(15)
将(14)代入(15)得出:

(16)
VT 是电流源的电压。在其左侧端有负的 e 而右侧偏移 VFB :

(17)
如果我们从(17)提取 VFB ,结合(16)的结果,我们有:

(18)
我们的阻抗是简单的:

(19)
因此第一个时间常数 t2 表示为:

(20)
第二个时间常数与 C1 有关,需要更新的原理图,如图11所示。我们没有安装电流发生器,因为结果很明显:C1 两端的电阻就是已经确定的 C2 的电阻与 R2 串联:
:立即确定第二个时间常数,因为它是驱动 C2 的电阻与 R2 串联。

(21)
我们有两个时间常数,我们可以进行第二阶项。我们说,我们需要评估
,其中 C2 被短路,而我们从 C1 的终端看电阻。图12显示了新的草图。既然我们在与 R2 有关的回路中有弗兰克短路,那么电阻 R 就是 R2:

(22)
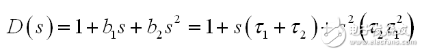
因此,如果我们根据(12)组合时间常数,我们得出分母D(s):

(23)
图12:高频系数采用了神秘的符号但最终并不复杂:短路的C2和确定C1端电阻。
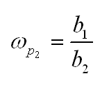
这二阶形式可以重新排列,假设质量因子Q远远小于1。在这种情况下,那么两个极点完全分离:一个控制低频,而第二个位于频谱的上部。由(12)我们可以证明,两个极点定义为:

(24)

(25)
如果我们将这些定义应用到(23),简化和重新排列,我们得到:

(26)

(27)
既然我们有分母,我们这个电路有零点吗?我们可以运用之前展示的技巧:如果我们想象短路,C1或C2然后C1和C2,这三个配置有响应吗?如果C1短路,我们有一个含R2和其他电阻的简单的逆变器:有个与C1有关的零点。如果C2短路,则运算放大器为0:C2没有零点。如果两个电容器都短路,当然,没有响应。为确定零位置,图13中的什么可以防止励磁的传播,使响应为空?如果C1和R2提供的阻抗变为转化的短路,那么响应消失:

(28)
然后

(29)
图13:如果由R2与C1串联的阻抗成为转化的短路,那后响应为空:这就是零点如何产生的。
其中给出了零点位于:

(30)
我们现在有最终的传递函数

(31)
及

(32)

(33)

(34)

(35)
比较电路之间的响应
现在比较由 type-2 电路(其中我们考虑开环增益)带来的动态响应是有意义的,下面给出了 type 2 完美的传递函数:

(36)
其中

(37)

(38)

(39)
举例说明,我们比较理想的运放和开环增益 50 dB 的运放(例如 TL431)当补偿器必须达到以下目标:fc= 10 kHz 和在这个频率 20 dB 的增益补偿,相位提升必须是65°。R1和Rlower计算用于 12V 输出和 2.5 V 参考电压。(31)和(36)的两个动态响应如图14所示。交叉增益和相位升压的偏差可以忽略不计。然而,在120赫兹频率时(31)的增益为35 dB,(36)则为45dB。最后,有限的AOL选项的准静态增益仅36.4 dB(»66),而无限时则为完美的运算放大器。这些数字的影响是什么?在两倍的电源频率的增益不足将影响控制系统的能力,排斥整流纹波。输出变量可能会受到这个组件的影响,特别是在电压模式控制下。此外,控制变量可能有显着的静态误差,如果植入增益低。如果您现在选择具有更高AOL的运算放大器,例如 80dB,偏差消失,两曲线相互非常接近,如图15所示。

图14:type 2 的波特图中,我们考虑开环增益AOL和低边电阻Rlower的作用与原完美的等式并不会相差太多。

图15:当开环增益AOL增加,两条曲线很好地叠加。准静态增益提高到66.3 dB,对比于采用50dB AOL增益时的36 dB 。
总结
这第一部分证明了在采用非理想运算放大器的补偿器中开环增益的影响。当运算放大器不再被认为是完美的,您可以看到在动态响应的低频范围内弱开环增益的影响,和评估这种情况带来的性能下降。在这第一部分中,我们只考虑开环增益的影响。在第二部分中,我们将复杂化分析,添加两个低频和高频极点,集成电路设计人员自然将其置于一个运算放大器中以确保其稳定性。
参考文献
1.C. Basso, “ Designing Control Loops for Linear and Switching Converters – A Tutorial Guide”, Artech House 2012, ISBN 978-1-60807-557-7
2.C. Basso, “Linear Circuit Transfer Functions – An Introduction to Fast Analytical Techniques”, Wiley 2016, ISBN 978-1-119-23637-5
3.V. Vorpérian, “Fast Analytical Techniques for Electrical and Electronic Circuits”, Cambridge University Press 2002, ISBN 978-0-521-624428
4.C. Basso, “Fast Analytical Techniques at Work with Small-Signal Modeling”, APEC Professional Seminar, Long Beach (CA), 2016, http://cbasso.pagesperso-orange.fr/Spice.htm
↓↓↓阅读原文,查看更多!
龙腾半导体SGT MOSFET LSGT085R018在智慧农业无