全球最实用的IT互联网站!
人工智能P2P分享搜索全网发布信息网站地图标签大全
变容二极管反向击穿规范
阅读全文2024-01-30
突变和超突变变容二极管的基础知识
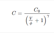
电子电路设计之变容二极管等效电路
金属氧化物压敏电阻基础知识
什么是光敏电阻器、LDR 或光敏电阻器
什么是可变电阻器 可变电阻器的种类
MELF电阻器基础知识和结构
SMD电阻器结构 SMT电阻器的优点和缺点
什么是绕线电阻器?绕线电阻器的种类和特性
什么是金属膜电阻器?金属膜电阻器的应用和用
数字电压表设计教程之LTC2308数据手册解读
慧能泰负载开关HUSB305A产品介绍
德州仪器新型单级转换器助力微型逆变器
IGBT短路失效分析
CPU | 内存 | 硬盘 | 显卡 | 显示器 | 主板 | 电源 | 键鼠 | 网站地图
Copyright © 2025-2035 诺佳网 版权所有 备案号:赣ICP备2025066733号 本站资料均来源互联网收集整理,作品版权归作者所有,如果侵犯了您的版权,请跟我们联系。