全球最实用的IT互联网站!
人工智能P2P分享搜索全网发布信息网站地图标签大全
IGBT的密勒电容随着直流母线电压的大小怎样变化
阅读全文2023-09-18
降低MOSFET 1/f噪声的三种办法是什么?
阅读全文2023-09-17
两级运放输入级用NMOS还是PMOS的区别是什么?
怎么选择MOS管的尺寸大小和电压?
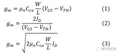
怎么去选择使用gm的三种表达式呢?
基于模拟的通用可组合安全
小型功率放大器电路仿真模型的搭建
二极管反向截止的条件是什么?
怎么通过电压判断npn和pnp管?
影响MOSFET阈值电压的因素
数字电压表设计教程之LTC2308数据手册解读
慧能泰负载开关HUSB305A产品介绍
德州仪器新型单级转换器助力微型逆变器
IGBT短路失效分析
CPU | 内存 | 硬盘 | 显卡 | 显示器 | 主板 | 电源 | 键鼠 | 网站地图
Copyright © 2025-2035 诺佳网 版权所有 备案号:赣ICP备2025066733号 本站资料均来源互联网收集整理,作品版权归作者所有,如果侵犯了您的版权,请跟我们联系。