时间:2023-04-10 12:00
人气:
作者:admin
实验名称:高压放大器交变电场作用下骨表面温升的实验研究
实验目的:骨的微观结构十分复杂,到目前为止对骨的力电性质尚未完全了解﹐这是利用电信号影响骨生长的研究进展相对缓慢的主要原因。要解决此问题,唯有从多方面研究骨的力电性质,直至完全了解,因此本文意在从骨在交变电场作用下,自身温度的变化方面进行探索。
实验设备:新鲜牛胫骨骨干,波形发生器,ATA-2081高压放大器,数字式视频显微镜,红外测温仪。
实验过程:本实验共取5个干骨试样在同一牛胫骨上沿厚度方向平行取出两个试样(4号、5号试样),其余3个试样取自不同牛胫骨(沿厚度方向的取样位置随机)。
实验过程中 ,将骨试样底端固定在夹具上,顶端自由,形成悬臂梁。通过电极对试样施加交变电场。波形发生器输出频率可调的正弦交变电压,高压放大器将输出电压的幅值放大至设定的值。数字式视频显微镜的镜头聚焦于试样上表一个区域。基于数字图像相关方法(DIC)测量试样自由端截面的弯曲挠度。采用红外测温仪测量骨试样在加载时间内表面温度随时间的变化,温度测量的分辨率为0.1℃,误差范围是0.5℃。整个实验装置放置在光学防震平台上。

实验装置实验图
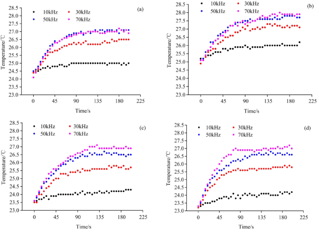
实验结果:
(1)电压70V、不同频率下骨试样温度变化;


(2)对比经典电介质的温度变化和变形可知,经典电介质在交变电场作用下,温升很低,在测温仪的测量误差之内,虽然外加电场既引起骨的温升又引起弯曲变形,但是﹐所引起的相对高温升是其特有的性质。与直流电场下的骨试样对比可知,在相同电压值下,骨在直流电场下的温升与变形明显小于交流电场﹐所以骨材料的温升反映的主要是其交流性质﹐而并非是简单的电阻性发热,并且骨的温升源于有机成分胶原纤维。拟合实验数据可知,骨试样在交变电场下,表面温升与加载电压的平方成正比,这是电介质的经典性质。
实验中用到的高压放大器参数指标:

本文实验素材由西安安泰电子整理发布。Aigtek是国内专业从事测量仪器研发、生产和销售的高科技企业,一直专注于高压放大器、线束测试仪、计量校准源等测试仪器产品的研发与制造。