全球最实用的IT互联网信息网站!

AI人工智能P2P分享&下载搜索网页发布信息网站地图

当前位置:诺佳网 > 电子/半导体 > 测量仪表 >

和晟仪器丨橡胶炭黑含量测试方法

时间:2022-09-26 14:27

人气:

作者:admin

标签: 和晟仪器 

导读:一、引言炭黑是橡胶工业不可缺少的原料其用量仅次于生胶是一种最有效的、被广泛应用的补强剂.炭黑能改进硫化胶的性能提高胶料的硬度、模量、断裂能量、抗张强度、抗撕裂、耐疲...

一、引言

炭黑是橡胶工业不可缺少的原料其用量仅次于生胶是一种最有效的、被广泛应用的补强剂.炭黑能改进硫化胶的性能提高胶料的硬度模量断裂能量抗张强度抗撕裂耐疲劳耐磨耗性能

适用以下橡胶测试

l 天然橡胶或异戊橡胶;

l 顺于橡胶;

l 丁苯橡胶;

l 丁基橡胶;

l 丙烯酸酯橡胶;

l 乙丙橡胶;

l 聚醚;

l 衍生的聚乙烯化合物;

l 硅橡胶;

l 氟硅橡胶;

l 氯磺化聚乙烯(氯的质量分数小于30%)。

二、测试标准

GBT 3515-2005 橡胶 炭黑含量的测定 热解法

三、测试仪器

image.php?url=YD_cnt_43_01FF05ZGb2FZ上海和晟 HS-TH-3500 炭黑含量测试仪

四、取样

1、从样品中取至少1.5g样品,最好从多个部位取样,具有代表性。

2、橡胶通过辊距不超过0.5mm的开炼机6次,从压出胶片上剪下约0.1g~0.5g试样,样品如果不能均匀的通过开炼机,那么将样品切成每边不超过1mm的小块。

3、称取试样精确至0.1mg,并记录这个质量m0

4、用滤纸包好试样,用丙酮(4.4)抽提4h或直到与试样接触的抽提液无色为止。如果胶料中含有沥青,则用二氯甲烷抽提4h或直到与试样接触的抽提液无色为止。未硫化的胶料不能用二氯甲烷抽提,可以采用ETA(4.5)代替丙酮和二氯甲烷。

注∶如果胶料含有丙酮中不能完全溶解的材料如沥青,才需要用二氯甲烷抽提。称样前将试样剪碎有利于抽提,为此可以让试样在最小银矩下通过开炼机。

7.3 从滤纸中取出已抽提过的试样放在100℃±3℃烘箱中烘干,至溶剂挥发尽。

一、测试步骤

1、定量地将干燥后的试样放入石英舟内,再放入燃烧管靠近氮气入口处。

2、设备加热至850℃±25℃,但让石英舟处在燃烧管冷端,管子的另一端与气体吸收装置相连。

3、将氮气以200 cm²/min 流量通入燃烧管,通氮5min 以上,以便清除燃烧管内的空气。

3、降低氮气流至约100cm3/min,在5min之内慢慢将石英舟移到燃烧管加热区。

4、让石英舟放在加热区保持5 min,使试样完全裂解。

5、石英舟移到燃烧管的冷端冷却10min,并保持燃烧管继续通氮气。

将石英舟放入干燥器内,待完全冷却后,称量(精确至0.1mg),记录此数据m1。

6、再将石英舟放到燃烧管内用入口连接器关上燃烧管,并将进气系统侧管与氧气或空气源相连,让通过的气体流量达到100cm³/min,将石英舟移至加热区,直到所有炭黑被完全燃尽。

7、把石英舟移入干燥器内,冷却至室温,称石英舟精确至0.1 mg,记录此数据 m2。

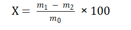
二、测试结果分析

炭黑含量以炭黑的质量分数X计,数值以百分数表示,按下式计算∶

poYBAGMxGD2AepvpAAAHLN7IZRY747.png计算公式

式中∶

m——试样的质量,单位为克(g);

m———氮气中加热后石英舟和内容物的质量,单位为克(g);

m——在氧或空气中炭黑燃烧后石英舟和残留物的质量,单位为克(g)。

注1∶试样可以从预先已抽提过的胶料中得到,此时由溶剂抽出量的修正可以获得试样质量mo。

注2∶若市场购买炭黑中含有任何在850℃下可挥发物质,它在氮气中裂解时亦会失去。因此,所求炭黑含量最终结果亦会少于这个量,此时若炭黑类型和厂家是已知的,则可以进行适当修正。

温馨提示:以上内容整理于网络,仅供参考,如果对您有帮助,留下您的阅读感言吧!
相关阅读
本类排行
相关标签
本类推荐

CPU | 内存 | 硬盘 | 显卡 | 显示器 | 主板 | 电源 | 键鼠 | 网站地图

Copyright © 2025-2035 诺佳网 版权所有 备案号:赣ICP备2025066733号
本站资料均来源互联网收集整理,作品版权归作者所有,如果侵犯了您的版权,请跟我们联系。

关注微信