时间:2023-03-20 10:35
人气:
作者:admin
1什么是谐波、谐间波及电网信号
通俗而言,在电力系统把50Hz的电压或者电流波,叫做基波,不是50Hz的电压、电流就是谐波。电网中有一些特殊的用电设备,比如:大功率整流器、中频炉、变频器、劣质节能灯等等,这类设备的工作电流与电压不成正比,我们称为非线性的负载。电机发出的电能,本来是比较规整 的50Hz频率,但是如果遇到非线性设备在电网中,这一些设备工作时,就会产生谐波。比如单相整流器,就把50Hz的基波,“整”成具有100Hz、150Hz、200Hz……等等成分的信号,就出现了谐波。这种会产生谐波的设备,我们常常叫它“谐波源”。

通常情况下,谐波的频率为50Hz的整倍数,谐波用基波的倍数表示。例如频率为150Hz的正弦波称为3次谐波,频率为250Hz的正弦波称为5次谐波,频率为350Hz的正弦波称为7次谐波,以此类推。

在工频的谐波电压和谐波电流之间,同时存在一些不是基波频率整数倍的频率,它们或以离散的频率、或以一个宽带频谱出现,这就是谐间波。电网信号,是指在电网中由发射机产生以便供电公司控制供电网络中的设备(公用照明,计价表等)的信号。通常发射机只是以断续信号短时工作,所采用的频率在谐波之间,即频率范围为100Hz-3kHz。
2谐波的危害
谐波的危害:电机谐波电压与谐波电流产生额外的铁损与铜损 ,导致电机的额外发热,降低电机的效率产生脉动转矩致使电动机振动加剧,影响电机寿命和输出转矩的稳定性。谐波电压降低了绝缘介质强度,加速线圈绝缘的老化,降低电机使用寿命。谐波的危害:电缆谐波电流会使电缆过载、导致过热 、发生绝缘破坏而烧毀。对高频率谐波电流,电缆呈现集肤效应, 使额定载流量减少,增大漏电流,引起单相对地击穿,造成三相短路。零序(3的倍数次)谐波电流会导致三相四线系统的中线过载、损坏。谐波的危害:系统谐振谐波电流可使电容器介质损耗增加,发热和寿命缩短;大量吸收谐波会导致电容器过流,引起熔丝熔断。电容器与电网电感形成串联谐振回路,能引起谐波的放大,电容烧毁等。引起系统谐振导致,电容器组、电抗器组及相关用电设备,因过电流或过电压,而损坏或无法投入运行。
谐波的危害:通信 网络干扰信息、数据、通信系统,造成系统死机或控制失常、停机,严重的会丢失实时数据,造成不可估量的损失。信系统实行的联网运行,如中心数据处理中心发生故障,将造成整个联网系统的瘫痪,而高次谐波就能造成数据处理中心主机的误操作和死机。谐波也会造成通信仪器的误动作和死机,给通信行业和用户带来麻烦,造成了通信行业和用户的纠纷。
谐波的危害:医院出现数据差错;图像模糊;信息丢失;一些先进的医疗设备具有高灵敏微电子器件,谐波干扰容易使设备无法正常工作。
谐波的危害:其他改变保护继电器的动作特性引起误动作、造成继电保护等自动装置工作紊乱。谐波延缓电弧熄灭,影响断路器的分断容量。使计量仪表特别是感应式电能表产生计量误差。干扰邻近的电力电子设备、工业控制设备,影响设备的正常运行。
3谐波、谐间波及电网信号抗扰度测量波形介绍谐波、谐间波及电网信号的低频抗扰度测试,依据标准GB17626.13(IEC 61000-4-13)有四类试验方法(波形):谐波组合试验(平顶波和尖顶波)、扫频试验、单个谐波和谐间波试验,以及Meister曲线试验。
3.1谐波组合试验(平顶波和尖顶波)谐波组合试验包括平顶波和尖顶波两个试验。EUT每种组合波都要进行试验。平顶波平顶波电压随时间变化,每个半波由三部分组成,波形如下:第1部分:从零开始,按纯正弦函数变化,对于等级2达到峰值的90%,对于等级三达到峰值的80%。第2部分:是恒定电压。第3部分:于第1部分相对应。

平顶波波形图尖顶波尖顶波是由相应的相位关系的离散的3次谐波和5次谐波叠加而产生。波形如下:

尖顶波波形图3.2扫频试验频率扫描测量波形示例如下图:

扫频测量波形图3.3单个谐波和谐间波试验单个谐波是指在2f1~40f1频率范围内的谐波。这些谐波按照试验等级将单个正弦波电压施加到基波电压上。谐间波是在16Hz~2000Hz频率范围内的谐波。谐间波按照一定的步长,将试验等级的单个正弦波电压施加到基波电压上。测量波形如下:

多次谐波试验序列示意图3.4Meister曲线试验具有电网信号和/或纹波控制的电网中使用的设备,需要施加Meister曲线试验,波形如下:

Meister曲线波形(100Hz-3kHz)4谐波、谐间波及电网信号抗扰度试验等级和试验要求4.1谐波组合试验等级和要求1)平顶波平顶波试验等级见下表:
| 等级 |
函数 (第1和3部分) |
电压比Ky |
电压 (第1和3部分) |
函数 (第2部分) |
电压 (第2部分) |
| 1 | 0 ≤ |sin(ωt)| ≤ 0.95 | 1.0133 | u = U1 × K1× √2 × sin(ωt) | 0.95 ≤ |sin(ωt)| ≤ 1 | u = ±0.95 × U1× K1× √2 |
| 2 | 0 ≤ |sin(ωt)| ≤ 0.9 | 1.0379 | u = U1 × K2× √2 × sin(ωt) | 0.9≤ |sin(ωt)| ≤ 1 | u = ±0.9 × U1× K2× √2 |
| 3 | 0 ≤ |sin(ωt)| ≤ 0.8 | 1.1117 | u = U1 × K3× √2 × sin(ωt) | 0.8≤ |sin(ωt)| ≤ 1 | u = ±0.8× U1× K3× √2 |
| x | 0 ≤ |sin(ωt)| ≤ x | x | u = U1 × Kx × √2 × sin(ωt) | x≤ |sin(ωt)| ≤ 1 | u = ±x× U1× Kx× √2 |
|
注: 1)x是开放的等级,该等级由相关专业标准技术委员会确定,但是对于低压共用供电系统供电的设备,不能低于等级2. 2)最大偏差:Δu = ±(0,01 × U1 × √2 + 0,005 × u). |
平顶波试验时间(Duration)要求为2分钟,测试波形示意图如下:

2)尖顶波尖顶波试验等级见下表:
| 等级 | h | 3 | 5 |
| 1 | U1% | 4 % / 180° | 3 % / 0° |
| 2 | U1% | 6 % / 180° | 4 % / 0° |
| 3 | U1% | 8 % / 180° | 5 % / 0° |
| x | U1% | x/ 180° | x/ 0° |
|
注: 1)x是开放的等级,该等级由相关专业标准技术委员会确定,但是对于低压共用供电系统供电的设备,不能低于等级2. |
尖顶波试验时间(Duration)要求为2分钟,测试波形示意图如下:

4.2扫频试验等级和要求扫频试验时的频率等级如下表:
| 频率范围 f | 频率步长Δf | 等级1 | 等级2 | 等级3 | 等级x |
| 试验水平U1% | 试验水平U1% | 试验水平U1% | 试验水平U1% | ||
| 0.33f1~ 2f1 | 0.1f1 | 2 | 3 | 4.5 | 开放的 |
| 2f1~ 10f1 | 0.2f1 | 5 | 9 | 14 | 开放的 |
| 10f1~ 20f1 | 0.2f1 | 4 | 4.5 | 9 | 开放的 |
| 20f1~ 30f1 | 0.5f1 | 2 | 2 | 6 | 开放的 |
| 30f1~ 40f1 | 0.5f1 | 2 | 2 | 4 | 开放的 |
|
注: 1)x是开放的等级,该等级由相关专业标准技术委员会确定,但是对于低压共用供电系统供电的设备,不能低于等级2。 |
各频率范围的扫频幅值见上表,频率扫描的速率不小于每10倍频程5分钟。扫频中遇到EUT性能异常的频点以及所由的谐振点,应在每个频率点驻留是按至少为120s。测量波形如下:

4.3单个谐波、谐间波试验等级和要求1)单个谐波单个谐波的试验等级如下表:
| 非3的倍数的奇次谐波试验等级 | ||||
| h | 等级1 | 等级2 | 等级3 | 等级X |
| 试验水平U1% | 试验水平U1% | 试验水平U1% | 试验水平U1% | |
| 5 | 4.5 | 9 | 12 | 开放 |
| 7 | 4.5 | 7.5 | 10 | 开放 |
| 11 | 4.5 | 5 | 7 | 开放 |
| 13 | 4 | 4.5 | 7 | 开放 |
| 17 | 3 | 3 | 6 | 开放 |
| 19 | 2 | 2 | 6 | 开放 |
| 23 | 2 | 2 | 6 | 开放 |
| 25 | 2 | 2 | 6 | 开放 |
| 29 | 1.5 | 1.5 | 5 | 开放 |
| 31 | 1.5 | 1.5 | 3 | 开放 |
| 35 | 1.5 | 1.5 | 3 | 开放 |
| 37 | 1.5 | 1.5 | 3 | 开放 |
|
注: 1)x是开放的等级,该等级由相关专业标准技术委员会确定,但是对于低压共用供电系统供电的设备,不能低于等级2。 |
| 3的倍数的奇次谐波试验等级 | ||||
| h | 等级1 | 等级2 | 等级3 | 等级X |
| 试验水平U1% | 试验水平U1% | 试验水平U1% | 试验水平U1% | |
| 3 | 4.5 | 8 | 9 | 开放 |
| 9 | 2 | 2.5 | 4 | 开放 |
| 15 | 不试验 | 不试验 | 3 | 开放 |
| 21 | 不试验 | 不试验 | 2 | 开放 |
| 37 | 不试验 | 不试验 | 2 | 开放 |
| 33 | 不试验 | 不试验 | 2 | 开放 |
| 39 | 不试验 | 不试验 | 2 | 开放 |
|
注: 1)x是开放的等级,该等级由相关专业标准技术委员会确定,但是对于低压共用供电系统供电的设备,不能低于等级2。 |
| 偶次谐波试验等级 | ||||
| h | 等级1 | 等级2 | 等级3 | 等级X |
| 试验水平U1% | 试验水平U1% | 试验水平U1% | 试验水平U1% | |
| 2 | 3 | 3 | 3 | 开放 |
| 4 | 1.5 | 1.5 | 2 | 开放 |
| 6 | 不试验 | 不试验 | 1.5 | 开放 |
| 8 | 不试验 | 不试验 | 1.5 | 开放 |
| 10 | 不试验 | 不试验 | 1.5 | 开放 |
| 12~40 | 不试验 | 不试验 | 1.5 | 开放 |
|
注: 1)x是开放的等级,该等级由相关专业标准技术委员会确定,但是对于低压共用供电系统供电的设备,不能低于等级2。 |
在2f1~40 f1频率范围内将上表幅值单个正弦波电压施加到基波电压U1上,每个频率施加时间(Dwell Time)为5s,间隔(Pause Time)1s再施加下一个频率。大于或等于3%等级的谐波电压(直到9次谐波)时,在基波0和180相位应分别施加试验等级,小于3%的试验等级的谐波电压没有相位要求。试验波形如下:

2)谐间波谐间波试验等级见下表:
| 谐波频率之间的频率试验等级(50Hz) | ||||
| 频率范围 | 等级1 | 等级2 | 等级3 | 等级X |
| Hz | 试验水平U1% | 试验水平U1% | 试验水平U1% | 试验水平U1% |
| 16~100 | 不试验 | 2.5 | 4 | 开放 |
| 100~500 | 不试验 | 5 | 9 | 开放 |
| 500~750 | 不试验 | 3.5 | 5 | 开放 |
| 750~1000 | 不试验 | 2 | 3 | 开放 |
| 1000~2000 | 不试验 | 1.5 | 2 | 开放 |
| 注:x是开放的等级,该等级由相关专业标准技术委员会确定。 |
| 谐波频率之间的频率试验等级(60Hz) | ||||
| 频率范围 | 等级1 | 等级2 | 等级3 | 等级X |
| Hz | 试验水平U1% | 试验水平U1% | 试验水平U1% | 试验水平U1% |
| 20~120 | 不试验 | 2.5 | 4 | 开放 |
| 120~600 | 不试验 | 5 | 7.5 | 开放 |
| 600~900 | 不试验 | 3.5 | 5 | 开放 |
| 900~1200 | 不试验 | 2 | 3 | 开放 |
| 1200~2400 | 不试验 | 1.5 | 2 | 开放 |
| 注:x是开放的等级,该等级由相关专业标准技术委员会确定。 |
谐间波试验每频率步长施加时间(Dwell Time)为5s,间隔(Pause Time)1s再施加下一个频率。谐间波的频率步长见下表:
| 频率范围 f | 频率步长Δf |
| 0.33f1~ 2f1 | 0.1f1 |
| 2f1~ 10f1 | 0.2f1 |
| 10f1~ 20f1 | 0.2f1 |
| 20f1~ 40f1 | 0.5f1 |
谐间波测量波形如下:

4.4Meister曲线试验等级和要求Meister曲线试验等级如下:
|
频率范围 f Hz |
频率步长Δf Hz |
等级1 | 等级2 | 等级3 | 等级x |
| 试验水平U1% | 试验水平U1% | 试验水平U1% | 试验水平U1% | ||
| 16.5 ~ 100 | 5 | 不试验 | 3 | 4 | 开放的 |
| 100 ~ 500 | 10 | 不试验 | 9 | 10 | 开放的 |
| 500 ~ 1000 | 10 | 不试验 | 4500/f | 4500/f | 开放的 |
| 1000 ~ 2400 | 25 | 不试验 | 4500/f | 4500/f | 开放的 |
| 注:2400Hz是60Hz系统最高频率,50Hz系统最高频率为2000Hz。 |
Meister曲线试验适用于等级2的产品。试验时,频率扫描的速率不少于每10倍频程5分钟。Meister曲线波形如下:

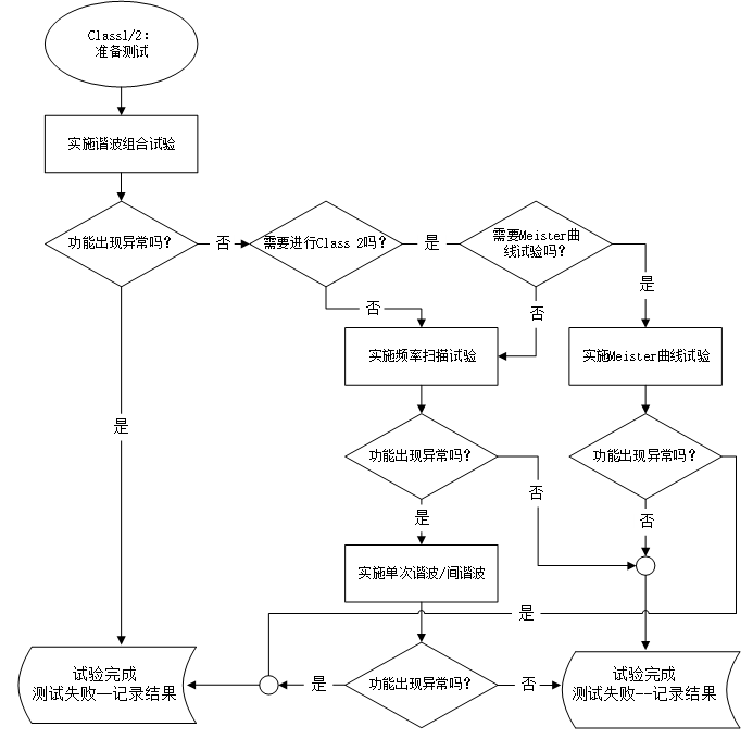
5谐波、谐间波及电网信号抗扰度试验流程为了简化试验,依照试验等级,谐波、谐间波及电网信号抗扰度测试可分为两个试验流程图:Class 1/Class 2试验流程图、Class 3试验流程图。

Class 1和Class 2试验流程图

Class 3试验流程图6测试布置单相EUT试验布置示意图:

三相EUT试验布置示意图:

审核编辑 :李倩
上一篇:深度解析一座光伏电站的构成