时间:2018-05-30 09:32
人气:
作者:admin
近期,中国科学院合肥物质科学研究院固体物理研究所物质计算科学研究室研究员曾雉课题组在薄膜太阳能电池材料的研究方面取得新进展。通过模拟计算,从理论上筛选出了Cu2ZnSnS4(CZTS)中阻碍电池效率的本征缺陷类型并提出了调控方法。相关结果在线发表在Solar Energy Materials and Solar Cells 180, 118-122(2018)杂志上。
组成CZTS的所有元素在地球中储量丰富且无毒,是公认的环境友好的低成本高效率电池候选材料。然而,目前基于CZTS的太阳能电池的最高效率约为12.7%,远低于它的同类化合物Cu(In,Ga)Se2的最高效率(20.3%),其中一个重要原因就是CZTS中存在许多阻碍载流子自由输运的电荷局域型缺陷。目前的实验技术还不能从原子尺度判断缺陷的类型,而理论上可以通过研究缺陷的形成能和电荷转移能级精确判断主要的电荷局域型缺陷的类型。
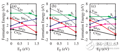
曾雉课题组基于杂化泛函理论的研究发现CuSn和CuZn是CZTS中主要的电荷局域型缺陷,且它们对载流子的影响不尽相同。CuSn在带隙中形成一个深杂质能级,电子空穴对通过该深能级复合,因此CuSn是一个深能级复合中心。CuZn杂质能级位置相对低,容易电离、贡献载流子,但是电离后的CuZn-倾向于与ZnCu+形成电荷互相补偿的受主-施主缺陷对,其中电性相反的CuZn-与ZnCu+互相吸引在材料中引入大的势波动,该波动能够捕获载流子,因此降低了材料中载流子浓度。而且课题组通过进一步研究,提出了抑制这两种电荷局域型缺陷的办法:(1)富Sn生长环境抑制CuSn,因为CZTS中Sn的化学式变化范围非常大,通过营造富Sn的生长环境,可抑制CuSn;(2)Cd掺杂抑制CuZn,因为掺杂的Cd会占据Zn的位置,降低CuZn形成的可能。两种方案都已获得实验支持。
上述工作得到国家“973”项目以及国家自然科学基金的支持,计算工作在中科院超算中心合肥分中心完成。

图1. 六种电荷局域型缺陷在化学势稳定区间的不同点的形成能随费米能级的变化关系。形成能小于1.5eV的主要是CuZn和CuSn。

图2. CZTS化学势稳定区间,即多边形围起来的区域。

图3. Cd掺杂引入的杂质的形成能随(a)费米能级(b)化学势的变化关系。CdZn形成能最低,说明Cd杂质倾向于占据Zn的位置,抑制CuZn形成。