时间:2023-09-28 15:33
人气:
作者:admin
一.基本概念
传输线是用以从一处至另一处传输高频或微波能量的装置,可定义为传输电流的有信号回流的信号线,由两条一定长度导线组成,一条是信号路径,另一条是参考路径/回流路径。
信号从发射端产生,经过信号路径到达负载,再从负载沿着参考路径回到发射端,构成一个回路。
传统的信号传播模型,被看作是一个集总参数模型,这个模型认为传输电缆上各个位置的信号是相同的。
而在传输线中,信号的传播模型是分布式参数模型,即传输电缆上各个位置的信号是不同的,下面是集总参数模型和分布式参数模型示意图。

在PCB走线中,一般把一个完整的平面用于参考路径,习惯称之为参考平面,对信号要求高的场合下,信号会有上下两个参考平面,甚至左右也有伴随地孔。
这些参考平面构成良好的传输线模型,可以控制阻抗,避免反射,提高信号传输效率,同时也起到良好的屏蔽作用。
对传输线的基本要求是损耗小、传输功率大、工作频带宽、尺寸小。传输线可以用来构成各种微波电路元件,例如谐振器、滤波器、阻抗匹配器、定向耦合器等。电路板上的走线、同轴电缆、双绞线等有信号回流的信号传输路径都可以看作传输线。
二.传输线电路模型
传输线是微波电路的基础,实际上,只不过是考虑了寄生参数的交流电路。和直流不同,在高频情况下,即使不考虑辐射,如下图一段理想的导线,两端的电流也不同,主要原因是两线之间的寄生电容引起的充放电,从而引起电流的变化;同时介质损耗引起的漏电流是另一个原因。
同理,即使是理想导体,两端的电压也不同,主要是线上寄生的串联电感引起的充放电导致的;导体损耗也引起部分压降。总之,压降来自串联部分的寄生参数,而电流变化来自两导体间的并联寄生参数。

对直流来说,通常研究的是稳态情况,瞬态的充放电不用考虑。而对于交流,因为电流本身是变化的,瞬态充放电对电流变化的影响就必须考虑;可以想见,频率越高、电流变化越快,则瞬态的充放电影响就越大。
频率更高时,不仅这种充放电的影响扩大,信号本身的变化导致的辐射进一步影响信号的变化,这种寄生的影响将更明显。这就是把电分为直流、交流、微波电路和场的依据。如果再考虑导线的损耗电阻、以及导线之间的漏电流,就得到如图的等效电路:

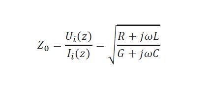
由电源向负载方向传播的波称为入射波,由负载向电源方向传播的波称为反射波。传输线上某个点的瞬时入射电压与入射电流或者反射电压与反射电流的比值为特性阻抗Z₀,在无耗情况下,R=G=0,Z₀为纯电阻。

其中,R为导体损耗,G为介质损耗。
特性阻抗,是衡量PCB上传输线的最重要指标。PCB传输线的特性阻抗不是直流电阻,它属于长线传输中的概念。
和传输阻抗的概念并不一致:传输阻抗是某个端口上总的电压和电流的比值。只有在整个传输路径上阻抗完全匹配且没有反射存在的情况下,特性阻抗才等于传输阻抗。
三.传输线的分类
在电路板上,传输线一般分为两种类型,如下图所示,左图是带状线,右图是微带线。

微带线的概念是只有一个参考平面的传输线,带状线是有两个参考平面,而表层走线时只有第二层一个参考平面,满足微带线的概念;而内层走线,由于层叠结构特点,信号线可以有上下两个参考平面,满足带状线的概念。
在电路板上,走线的传输线的电气特性取决于走线的物理结构,例如线宽、叠层、离参考平面距离、材料的介电常数、导体电导率、导体平面光滑度等。二维场模型经常用RLGC电路和特性阻抗表示。
也就是说如果走线的物理结构定了,那么走线的RLGC、特性阻抗和传播速度就已经决定了。信号完整性要研究的是在这样的传输线模型参数下所传播的电气信号的表现。
微带线的电场穿透两种不同的电介质,相对较难控制阻抗。空气的介电常数较PCB低,所以整体微带线的等效介电常数较低(约为2-3),信号在微带线上的传输速率较快。因为微带线分布在PCB的表面,所以可以节省层数进行高密度布线,但是较容易受到干扰。
带状线是指处于PCB板内层的线路。带状线的电场只在PCB的范围内,相对较易控制阻抗。带状线周围介质的介电常数较高(约为4.4),信号传输速度相对较慢,因为在PCB的里面,所以不容易受干扰。
现在做信号完整性分析的工具都可以根据填入的物理结构去计算特性阻抗的功能。我们需要了解的是这些参数对特性阻抗影响的趋势,以便在进行阻抗控制时知道怎样调整这些参数。
微带线或带状线都有如下特征:阻抗与走线宽度和走线厚度呈反函数关系;阻抗与叠层板高度呈正函数关系;阻抗与叠层板的介电常数呈反函数关系。所以研发设计PCB或工厂生产PCB时通过控制走线的宽度、厚度、叠层高度,以及使用不同的PCB板材,就可以控制PCB传输线的特性阻抗。