时间:2023-09-19 16:58
人气:
作者:admin
s域
滤波器的响应可以用s域传递函数表示;变量s来自拉普拉斯变换,代表复杂的频率。例如:

该传递函数是一阶低通滤波器频域特性的数学描述。s域表达式有效地传达了一般特征,如果我们想要计算特定的振幅和相位信息,我们所要做的就是用jω代替s,然后在给定的角频率下评估表达式。因为从未见过具有以K和ωO表示的元件值的电路图,所以你可能想知道其中K和ωO来自哪里。这里的想法是K和ωO就像一个模板的部分,并在接下来的部分,我们将看看模板和电路图之间的关系。
s域电路分析
RC低通滤波器是与频率相关的分压器。 在s域分析中,电阻器的阻抗为R,电容器的阻抗为 1/sC。

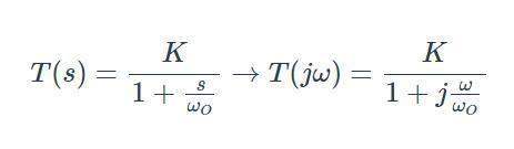
如果比较这个表达式与标准化传递函数,可以看出K = 1且ωO= 1/RC。 一旦你知道K和ωO代表什么,使用标准化形式的便利就变得清晰了:K是电路在DC上的增益,ωO是截止频率。 因此,通过比较电路的传递函数与标准化传递函数,可以立即为一阶低通滤波器的两个定义特征表达式,即DC增益和截止频率。另一种标准形式的一阶低通传递函数如下:

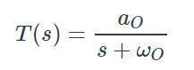
如果我们将分子和分母除以RC,我们可以将电路的传递函数拟合到这个模板中:

因此,aO = 1/RC和ωO= 1/RC。这种形式并没有直接给DC增益,但如果我们评估s = 0的标准化表达式,我们就有了:

这意味着我们的RC滤波器的DC增益为(1/RC)/(1/RC)= 1,DC的单位增益正是我们对无源低通滤波器的期望。
理解截止频率
我们已经看到ωO在标准传递函数表示截止频率,但这一事实的数学基础是什么?首先,让我们将标准的s域传递函数转换为等效的jω传递函数。

现在让我们以截止频率评估表达式。

分母是一个复数,因此振幅很大。

由于K是DC增益,幅度为1V的极低频输入信号将导致幅度为KV的输出信号。 如果输入频率增加到每秒ωO弧度,输出幅度将为K/√2。 K/√2对应于-3 dB,你可能知道,截止频率的另一个名称是-3 dB频率。

一阶无源低通滤波器的振幅响应图,当它被绘制为以dB为单位的振幅与对数频率的关系。
这种直接的传递函数分析清楚地证明了截止频率只是滤波器振幅响应相对于极低频振幅响应降低3dB的频率。
截止频率和相移
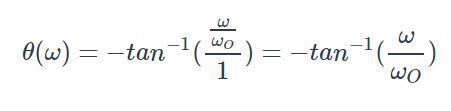
低通滤波器的截止频率对于电路的相位响应也具有特殊意义。如果我们以x + jy的形式写出一个复数,我们按如下方式计算相位:

因此,我们的RC低通滤波器的整体相位响应是

如果我们在ω = ωO处评估这个表达式,相移是

当相移相对于对数频率时一阶无源低通滤波器的相位响应图。
由一阶低通滤波器产生的最大相移为90°,因此该分析告诉我们截止频率是电路相位响应的“中心”,换句话说,它是滤波器的频率产生一半的最大相移。