时间:2023-09-22 11:06
人气:
作者:admin
7.1
介电常数
导体之间的绝缘材料会增加它们之间的电容量,引起电容增大的这一材料特性称为相对介电常数,通常用ε_r来表示。
另外,也使用缩写Dk表示材料的介电常数。它是相对于空气介电常数(其值设为1)的倍数。作为一个比值,它没有单位。通常都会省略“相对”这个词,简称为介电常数。
介电常数是绝缘材料的固有特性,一小块环氧树脂和一大块环氧树脂的介电常数是相同的。绝缘材料介电常数的度量方法是:比较一对导体被空气包围时的电容量C_0和被绝缘材料包围时的电容量C,定义如下:

介电常数越大,导体之间的电容量的增加就越大。如果在导体周围的空间中均匀填充绝缘材料,那么介电常数使得导体之间的电容量增大,这与导体的形状(无论其形状像平行板、 双圆杆,还是邻近宽平面的一条线)完全无关。
FR4的介电常数的具体值与环氧树脂和玻璃的相对含量有关。介电常数有时随频率而变化,例如从1kHz到10MHz, FR4的介电常数就从4.8变化到4.4,然而从1GHz到10GHz, FR4的介电常数就非常稳定。为了消除不确定因素,有必要指明测量介电常数时的频率。

7.2
等效介电常数
导体之间绝缘材料的存在,使其电容量比导体之间没有介质材料时增大了。若导体之间及导体周围的绝缘材料是均匀分布的,如带状线,则材料使电容量增大的系数等于该材料的介电常数。
但是,在微带线中,一些电力线穿过空气,另一些穿过叠层介质,空气和部分填充介质的组合就产生了“有效介电常数”。与填充材料后的电容量与以空气为介质时电容量的比值类似,等效介电常数也是导体之间填充材料(无论材料如何分布)后的电容量与导体之间及其周围仅有空气时电容量的比值。
使用二维场求解器可准确地计算出这两种情况下的电容,这一工具也是准确计算传输线等效介电常数的唯一方法。等效介电常数是非常重要的性能参数,因为它直接决定了传输线中的信号速度。
叠层材料的固有介电常数是不会变化的,只是当导体之间的场穿过不同比例的空气和介质时,才会造成电容的变化。因此,表层走线“感受”到的介电常数必然是空气和介质的某种平均。
7.3
复介电常数
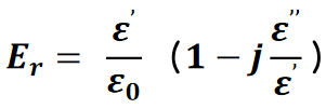
介质极化反映的也是介质的一种电特性,因此可以在介电常数中反映出极化的影响。复相对介电常数可表示为:

其中ε_r=ε’/ε_0 即为相对介电常数,ε’’/ε‘ 称为损耗因子,用角度δ的正切tan(δ)形式表示,角度δ称为损耗角。复介电常数虚部和实部的比值刚好是δ的正切,极化损耗越大,损耗角正切越大。
工程中常常把 ε’/ε_0 用符号Dk表示,而把tan(δ) = ε’’/ε‘ 用符号Df 表示,这样复相对介电常数表示为:
E_r= Dk (1 - j • Df)
Dk反映了介质固有的影响电容的特性,Df反映了介质由于极化产生损耗的特性。加工PCB的板材特性一般都是以Dk和Df方式给出,Dk值越大,同样横截面的传输线单位长度电容也就越大,要控制阻抗就必须使用更厚的层叠,Df越大,介质损耗就越大,意味着信号会有更大的衰减。