时间:2023-09-18 16:43
人气:
作者:admin
当两个输入端同时输入理想的共模信号时,即相当于将Vi1和Vi2短接并同时接到输入电压V s ,其re模型小信号交流等效电路如下图所示:

图9-02.07
下面我们分析这个差分放大电路对共模信号的响应:
由于差分放大电路完全对称,当Vi1和Vi2输入相同的信号(即共模信号)时,我们在图中一致用Vi表示,其输入电流Ib1和Ib2也是完全相同的,故在图中我们一致用Ib表示;且其在输出端产生的输出信号Vo1和Vo2也是完全相同的,故我们在图中一致用Vo表示。
输入电流Ib的计算式为:

上式的左右两端都有I b ,我们将其整理一下,将含Ib的项都归并到等式左边,可得:

输出电压Vo为:

因此,共模放大系数Ac为:

在上式中,通常re远小于R E ,且我们视 β ≈ β +1,故上式可近似为:

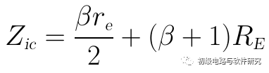
共模输入阻抗定义为:共模输入电压除以共模输入电流,其计算式为:

将上面算得的Ib的表达式代入,可得:

共模输出阻抗的计算方式和上面差模输出阻抗的计算方式相同,我们将差分放大电路看作一个整体,画出其和输出端子的关系,如下图所示:

图9-02.08
如果只使用其一个输出端子作为共模输出,容易看出其共模输出阻抗为:

** 3. 使用恒流源偏置**
一个好的差分放大电路,其差模放大系数Ad最好远大于共模放大系数A c ,根据我们前面算得的差模放大系数和共模放大系数的表达式:

由于re一般固定,要增大差模放大系数,只能靠增大R C ;而增大RC后,又会使得共模放大系数增大,为使共模放大系数减小,我们需要增大分母R E ,最好RE为无穷大。对于这种既需要有一定的直流电流通过、又希望交流等效电路中电阻为无穷大的情况,一般可以使用恒流源来实现。理想的的恒流源,其交流阻抗为无穷大;但是实际的恒流源都会带有一定的交流阻抗,表现为在理想恒流源旁边并联一个很大的电阻R o 。
使用实际恒流源偏置的差分放大电路如下图所示:

图9-02.09
其中,恒流源用来提供直流偏置电流。对于交流通路,恒流源的理想部分表现为断路,小信号交流电流全部都从Ro通过,这个Ro就相当于原来的交流等效电路中的R E 。由于Ro的阻值非常大,根据上面的共模放大系数的计算公式,可以使其共模放大系数非常小。
这种使用恒流源来改善电路性能的技巧经常用于IC芯片的设计中,而在分立元器件电路中使用这种技巧并不是很方便。因为每个BJT晶体管的参数会随器件品质而波动,因此每个电路你都要用可调电阻去把偏置电流调整到设计值,批量生产时,这个工作量会非常大。